맨위로가기

트리스포르산

"오늘의AI위키"는 AI 기술로 일관성 있고 체계적인 최신 지식을 제공하는 혁신 플랫폼입니다.
"오늘의AI위키"의 AI를 통해 더욱 풍부하고 폭넓은 지식 경험을 누리세요.

1. 개요

트리스포르산은 1964년 곰팡이인 블락슬레아 트리스포라에서 카로틴 생산을 증가시키는 대사 산물로 처음 발견되었으며, 이후 무코르 미세도에서 접합자 생산을 유발하는 호르몬으로 밝혀졌다. 트리스포르산은 접합균류의 성적 파트너 인식에 관여하며, 트리스포로이드 유도체와 함께 접합자병의 부풀어 오름을 유도하여 서로를 향한 성장을 촉진한다. 또한, 준성적생식 과정에서 기생충과 숙주 간의 인식을 매개하는 데 사용되기도 한다.

2. 역사

트리스포르산은 1964년 ''블락슬레아 트리스포라''에서 카로틴 생산을 증가시키는 대사 산물로 발견되었다. 이후 ''무코르 미세도''에서 접합자 생산을 유발하는 호르몬임이 밝혀졌다.[2] 미국의 진균학자이자 유전학자인 앨버트 프랜시스 블레이크슬리는 일부 ''무코르''속 종이 자가 불임(이형배우체성)이며, 성적 활동을 시작하기 위해서는 (+)와 (-)로 지정된 두 균주의 상호 작용이 필요하다는 것을 발견했다. 이 상호 작용은 괴팅겐 대학교의 한스 부르게프에 의해 기질과 대기 중으로 확산되는 저분자량 물질의 교환에 의한 것임이 밝혀졌다. 이 연구는 어떤 균류에서든 성 호르몬 활성의 첫 번째 증거를 제시했다. 무코르류의 성적 상호 작용에 대한 호르몬 조절의 규명은 60년 이상에 걸쳐 이루어졌으며, 독일, 이탈리아, 네덜란드, 영국 및 미국의 진균학자와 생화학자들이 참여했다.[2]

2. 1. 블락슬레아 트리스포라에서의 발견

트리스포르산은 1964년 블락슬레아 트리스포라에서 카로틴 생산을 증가시키는 대사 산물로 처음 발견되었다.[2] 이후 무코르 미세도에서 접합자 생산을 유발하는 호르몬임이 밝혀졌다.[2] 미국의 진균학자이자 유전학자인 앨버트 프랜시스 블레이크슬리는 일부 ''무코르''속 종이 자가 불임(이형배우체성)이며, 성적 활동을 시작하기 위해서는 (+)와 (-)로 지정된 두 균주의 상호 작용이 필요하다는 것을 발견했다.[2] 이 상호 작용은 괴팅겐 대학교의 한스 부르게프에 의해 기질과 대기 중으로 확산되는 저분자량 물질의 교환에 의한 것임이 밝혀졌다.[2] 이 연구는 어떤 균류에서든 성 호르몬 활성의 첫 번째 증거를 제시했다.[2] 무코르류의 성적 상호 작용에 대한 호르몬 조절의 규명은 60년 이상에 걸쳐 이루어졌으며, 독일, 이탈리아, 네덜란드, 영국 및 미국의 진균학자와 생화학자들이 참여했다.[2]

2. 2. 무코르 미세도에서의 기능 규명

트리스포르산은 1964년 ''블락슬레아 트리스포라''에서 카로틴 생산을 증가시키는 대사 산물로 발견되었다. 이후 ''무코르 미세도''에서 접합자(접합포자) 생산을 유발하는 호르몬임이 밝혀졌다.[2] 미국의 진균학자이자 유전학자인 앨버트 프랜시스 블레이크슬리는 일부 ''무코르''속 종이 자가 불임(이형배우체성)이며, 성적 활동을 시작하기 위해서는 (+)와 (-)로 지정된 두 균주의 상호 작용이 필요하다는 것을 발견했다. 이 상호 작용은 괴팅겐 대학교의 한스 부르게프에 의해 기질과 대기 중으로 확산되는 저분자량 물질의 교환에 의한 것임이 밝혀졌다. 이 연구는 어떤 균류에서든 성 호르몬 활성의 첫 번째 증거를 제시했다. 무코르류의 성적 상호 작용에 대한 호르몬 조절의 규명은 60년 이상에 걸쳐 이루어졌으며, 독일, 이탈리아, 네덜란드, 영국 및 미국의 진균학자와 생화학자들이 참여했다.[2]

2. 3. 초기 연구자들

앨버트 프랜시스 블레이크슬리는 일부 ''무코르''속 종이 자가 불임성(이형배우체성)이며, 성적 활동을 시작하기 위해서는 (+)와 (-)로 지정된 두 균주의 상호 작용이 필요하다는 것을 발견했다.[2] 이 상호 작용은 괴팅겐 대학교의 한스 부르게프에 의해 기질과 대기 중으로 확산되는 저분자량 물질의 교환에 의한 것임이 밝혀졌다.[2] 이 연구는 어떤 균류에서든 성 호르몬 활성의 첫 번째 증거를 제시했다. 무코르류의 성적 상호 작용에 대한 호르몬 조절의 규명은 60년 이상에 걸쳐 이루어졌으며, 독일, 이탈리아, 네덜란드, 영국 및 미국의 진균학자와 생화학자들이 참여했다.[2] 트리스포르산은 1964년 ''블락슬레아 트리스포라''에서 카로틴 생산을 증가시키는 대사 산물로 발견되었고, 이후 ''무코르 미세도''에서 접합자 생산을 유발하는 호르몬임이 밝혀졌다.[2]

3. 무코르균류에서의 기능

접합균류에서 호환 가능한 성적 파트너의 인식은 트리스포르산의 협력적인 생합성 경로를 기반으로 한다. 초기 트리스포로이드 유도체와 트리스포르산은 두 개의 잠재적인 균사, 즉 접합자병이라고 불리는 부분의 부풀어 오름을 유도하며, 이러한 유도 분자의 화학적 기울기는 서로를 향한 성장을 초래한다. 이러한 전배우자낭은 서로 접촉하여 강력한 연결을 구축한다. 다음 단계에서 격막이 형성되어 발달 중인 접합자낭포자를 영양 균사체로부터 제한하며, 이러한 방식으로 접합자병은 지지 균사가 되고 배우자낭이 형성된다. 융합 벽이 용해된 후, 두 배우자낭에서 나온 세포질과 다수의 핵이 혼합된다. 선택적 과정(연구되지 않음)은 핵의 감소를 초래하고 감수 분열이 일어난다(오늘날까지 연구되지 않음). 여러 세포벽 변형과 함께 포로폴레닌(포자의 어두운 색)이 통합되어 성숙한 접합자낭포자가 생성된다.

이 인식 경로의 최종 산물인 트리스포르산은 호환 가능한 두 파트너가 모두 존재할 때만 생성될 수 있으며, 이들은 효소적으로 트리스포로이드 전구체를 생성하여 잠재적인 성적 파트너가 추가로 활용할 수 있도록 한다. 이러한 반응의 종 특이성은 무엇보다도 공간적 분리, 유도체의 물리화학적 특징(휘발성 및 광 감수성), 트리스포로이드의 화학적 변형 및 전사/전사 후 조절에 의해 얻어진다.

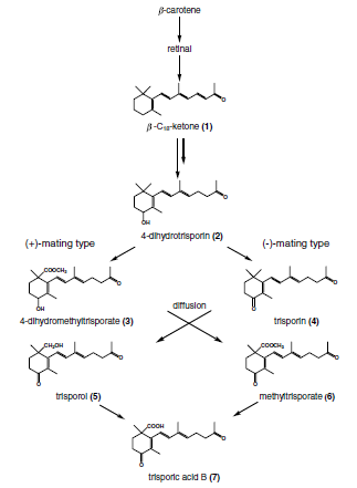
4. 생합성

트리스포르산 B의 생합성 추정


트리스포르산은 생합성 과정을 거쳐 만들어진다.

5. 준성적생식

트리스포로이드는 기생충과 숙주 간의 인식을 매개하는 데 사용된다.[3] 접합균류의 임의적 진균 기생충인 ''Parasitella parasitica''와 ''Absidia glauca'' 사이에서 관찰되는 준성적생식 특성의 숙주-기생충 상호 작용이 그 예이다. 이 상호 작용은 유전 정보가 숙주로 전달되기 때문에 생물 영양 융합 기생의 한 예이다.[3] 접합자 형성과의 비교에서 많은 형태학적 유사성이 보이지만, 성숙한 포자는 시키오포어라고 불리며 기생적이다.[3] 이 과정에서 숙주 ''Absidia glauca''에 의해 담즙과 같은 구조가 생성된다.[3] 이는 트리스포로이드가 엄격하게 종 특이적이지 않으며 무코르균류의 교배 인식을 위한 일반적인 원리를 나타낸다는 추론으로 이어졌다.[3]

6. 한국에서의 연구 및 활용

참조

[1] 논문 The discovery of fungal sex hormones: III. Trisporic acid and its precursors 1997-08
[2] 논문 Sexuality and parasitism share common regulatory pathways in the fungus Parasitella parasitica 2005-03
[3] 논문 Sexual reactions in Mortierellales are mediated by the trisporic acid system 2003-06
[4] 논문 The discovery of fungal sex hormones: III. Trisporic acid and its precursors 1997-08



본 사이트는 AI가 위키백과와 뉴스 기사,정부 간행물,학술 논문등을 바탕으로 정보를 가공하여 제공하는 백과사전형 서비스입니다.
모든 문서는 AI에 의해 자동 생성되며, CC BY-SA 4.0 라이선스에 따라 이용할 수 있습니다.
하지만, 위키백과나 뉴스 기사 자체에 오류, 부정확한 정보, 또는 가짜 뉴스가 포함될 수 있으며, AI는 이러한 내용을 완벽하게 걸러내지 못할 수 있습니다.
따라서 제공되는 정보에 일부 오류나 편향이 있을 수 있으므로, 중요한 정보는 반드시 다른 출처를 통해 교차 검증하시기 바랍니다.

문의하기 : help@durumis.com