맨위로가기

소만 (화학무기)

"오늘의AI위키"는 AI 기술로 일관성 있고 체계적인 최신 지식을 제공하는 혁신 플랫폼입니다.
"오늘의AI위키"의 AI를 통해 더욱 풍부하고 폭넓은 지식 경험을 누리세요.

1. 개요

소만은 1944년 독일에서 개발된 캄포 냄새가 나는 무색 액체로, 타분과 사린보다 독성이 훨씬 강한 신경 작용제이다. 제2차 세계 대전 중 소량 생산되었으나 사용되지는 않았다. 1993년 화학 무기 금지 협약에 의해 생산 및 비축이 금지되었으며, 전 세계 비축량은 2018년까지 파괴되었다. 소만은 아세틸콜린에스테라아제를 억제하여 신경 전달을 방해하며, 노출 시 축동, 구토, 근육통 등의 증상을 유발하고, 장기적으로 심리적 영향도 미칠 수 있다.

더 읽어볼만한 페이지

  • 유기 인 화합물 - 사린
    사린은 맹독성 신경 작용제인 무색, 무취의 액체 유기 인 화합물로, 아세틸콜린에스터레이스의 작용을 억제하여 신경계에 치명적인 영향을 미치며, 테러에 사용되어 인명 피해를 초래했고, 화학 무기 금지 협약에 의해 금지되었지만 국제적인 안보 위협으로 남아있다.
  • 아세틸콜린에스터레이스 억제제 - 다이아지논
    다이아지논은 1952년 스위스에서 개발된 살충제로, 아세틸콜린에스터레이스 억제제로 작용하며 척추동물에 독성이 있어 주거용 사용이 금지되었다.
  • 아세틸콜린에스터레이스 억제제 - 도네페질
    도네페질은 알츠하이머 치매 증상 진행 억제제로 사용되며 인지 기능 개선 효과가 있고, 루이체 치매 치료제로 승인받았으며 기능성 소화 불량에도 사용될 수 있다.
  • 화학 무기 - 최루제
    최루제는 점막을 자극하여 눈물, 재채기, 기침, 호흡곤란 등을 유발하는 화학 물질로, 폭동 진압 등에 사용되지만 심각한 부상이나 사망을 야기할 수 있으며 윤리적 논쟁이 있다.
  • 화학 무기 - 백린
    백린은 네 개의 인 원자가 정사면체 구조로 결합된 불안정한 분자로, 자연 발화성과 독성을 지니며, 인산 전구체 등으로 사용되지만 백린탄의 성분으로 논란이 된다.
소만 (화학무기) - [화학 물질]에 관한 문서
일반 정보
소만 3D 공-막대 모델
소만 3D 공-막대 모델
소만 2D 구조
소만 2D 구조
IUPAC 명칭'P-메틸포스포노플루오르산-1,2,2-트리메틸프로필'
기타 명칭GD
포스폰산플루오르산, 메틸-, 1, 2, 2-트리메틸프로필 에스터
2-(플루오르메틸포스포닐)옥시-3,3-디메틸부탄
피나콜릴 메틸포스포노플루오리데이트
1,2,2-트리메틸프로필 메틸포스포노플루오리데이트
메틸피나콜릴옥시플루오로포스핀 산화물
피나콜릴옥시메틸포스포닐 플루오라이드
피나콜릴 메탄플루오로포스포네이트
메틸플루오로피나콜릴포스포네이트
플루오로메틸피나콜릴옥시포스핀 산화물
메틸피나콜릴옥시포스포닐 플루오라이드
피나콜릴 메틸플루오로포스포네이트
1,2,2-트리메틸프로폭시플루오로메틸포스핀 산화물
분자식C₇H₁₆FO₂P
몰 질량182.17 g/mol
CAS 등록번호96-64-0
UNII3OF3WXB67Q
PubChem CID7305
ChemSpider ID7032
ChEMBL15910
RTECS 번호(정보 없음)
성질
외관순수할 때 무색 액체, 썩은 과일과 유사한 냄새. 불순물이 있을 때 호박색 또는 짙은 갈색, 장뇌 오일 냄새.
냄새무취 (상온 상압), 과일 냄새, 장뇌 냄새 (불순물 혼합 시)
밀도1.022 g/cm³
용해도보통
녹는점-42 °C
끓는점198 °C
pKa(정보 없음)
증기압0.40 mmHg (53 Pa)
위험성
주요 위험매우 유독함
인화점(정보 없음)
자연 발화점(정보 없음)
NFPA 704건강: 4
화재: 1
반응성: 1
기타: (정보 없음)
R-구(정보 없음)
S-구(정보 없음)
구조
분자 모양(정보 없음)
쌍극자 모멘트(정보 없음)
기타 정보
소만미국 질병통제예방센터 (CDC) - 소만 정보

2. 역사

제1차 세계 대전 이후, 겨자 가스와 포스젠이 화학 무기로 사용되었고, 1925년 제네바 의정서를 통해 화학전을 금지하려는 시도가 있었으나, 화학 무기 연구와 사용은 계속되었다. 1936년 독일 IG 파르벤의 게르하르트 슈레이더는 새로운 살충제를 개발하던 중 최초의 신경 작용제인 타분(미국에서는 GA)을 분리하였고, 1938년에는 사린(미국에서는 GB)을 분리하였다.

제2차 세계 대전 동안 미국과 독일에서 신경 작용제 연구가 계속되었고, 1944년 여름 독일은 타분과 사린보다 독성이 강한 소만(미국에서는 GD)을 개발했다. 리하르트 쿠ーン은 콘라트 헨켈과 함께 소만을 발견했다.[4] 소만은 루드비히스하펜에 있는 IG 파르벤 공장에서 소량 생산되었으나, 제2차 세계 대전에서는 사용되지 않았다.[5]

1993년 화학 무기 금지 협약으로 소만의 생산 및 비축이 금지되었고, 협약 발효 당시 당사국들은 전 세계적으로 9,057톤의 소만 비축량을 신고했으며, 2018년까지 모두 파괴되었다.[6]

1999년 밀라드 등은 X선 결정학으로 아세틸콜린에스테라아제와 복합된 소만의 결정 구조를 결정했다. 1som. 소만이 결합된 다른 아세틸콜린에스테라아제 구조는 2wfz, 2wg02wg1을 포함한다.

2. 1. 제2차 세계 대전 중 개발

제1차 세계 대전 이후, 겨자 가스와 포스젠이 화학 무기로 사용된 가운데, 1925년 제네바 의정서가 화학전을 금지하려는 시도로 서명되었다. 그럼에도 불구하고, 화학 무기 연구와 그 사용은 계속되었다. 1936년 독일 IG 파르벤의 게르하르트 슈레이더는 새로운 살충제를 개발하던 중 최초의 신경 작용제인 타분(미국에서는 GA, German Agent A로 명명)을 분리하면서 더 위험한 새로운 화학 작용제가 발견되었다. 이 발견에 이어 1938년 슈레이더에 의해 사린(미국에서는 GB로 지정)이 분리되었다.

제2차 세계 대전 동안, 미국과 독일에서는 신경 작용제 연구가 계속되었다. 1944년 여름, 독일인들은 캄포 냄새가 나는 무색 액체인 소만(미국에서는 GD로 지정)을 개발했다. 소만은 타분과 사린보다 훨씬 더 독성이 강한 것으로 밝혀졌다. 노벨상 수상자 리하르트 쿠ーン은 콘라트 헨켈과 함께 하이델베르크의 카이저 빌헬름 의학 연구소에서 타분과 사린의 약리학 연구를 하던 중 소만을 발견했다.[4] 이 연구는 독일 육군이 의뢰했다. 소만은 루드비히스하펜에 있는 IG 파르벤 공장의 파일럿 플랜트에서 소량 생산되었다. 제2차 세계 대전에서는 사용되지 않았다.[5]

2. 2. 냉전 시대

1944년 여름, 독일은 캄포 냄새가 나는 무색 액체인 소만(미국에서는 GD로 지정)을 개발했다. 소만은 타분과 사린보다 훨씬 더 독성이 강한 것으로 밝혀졌다. 노벨상 수상자 리하르트 쿠ーン은 콘라트 헨켈과 함께 하이델베르크의 카이저 빌헬름 의학 연구소에서 타분과 사린의 약리학을 연구하던 중 소만을 발견했다.[4] 이 연구는 독일 육군이 의뢰한 것이었다. 소만은 루드비히스하펜에 있는 IG 파르벤 공장의 파일럿 플랜트에서 소량 생산되었으나, 제2차 세계 대전에서는 사용되지 않았다.[5]

소만의 생산 또는 비축은 1993년 화학 무기 금지 협약에 의해 금지되었다. 협약이 발효되었을 때, 당사국들은 전 세계적으로 9,057톤의 소만 비축량을 신고했으며, 이 비축량은 2018년까지 모두 파괴되었다.[6]

2. 3. 화학 무기 금지 협약

1993년 화학 무기 금지 협약에 의해 소만의 생산 또는 비축이 금지되었다. 협약 발효 당시 당사국들은 전 세계적으로 9,057톤의 소만 비축량을 신고했으며, 이 비축량은 2018년까지 모두 파괴되었다.[6]

3. 화학적 특성

소만의 입체 이성질체


소만(C(±)P(±)-소만)은 4개의 입체 이성질체를 가지며, 각기 다른 독성을 보이지만 대체로 유사하다. 입체 이성질체는 C(+)P(+)-소만, C(+)P(−)-소만, C(−)P(−)-소만 및 C(−)P(+)-소만이다.[7][8]

소만은 플루오라이드와 (큰) 탄화수소가 공유 결합된 포스포닐기를 가지고 있다. 따라서 구조는 더 작은 탄화수소기(아이소프로필)만 부착된 사린과 유사하다. 화학 구조의 유사성으로 인해 두 화합물의 반응성은 거의 동일하다. 소만과 사린은 모두 인산산소기를 사용하여 반응하며, 이 인산산소기는 세린과 같은 아미노산에 결합할 수 있다.

소만 제조 과정은 사린 제조 과정과 매우 유사하며, 아이소프로판올 대신 피나콜릴 알코올을 사용한다.

GD의 합성


소만은 피나콜릴 알코올과 메틸포스포닐 다이플루오라이드를 반응시켜 합성한다. "약간 과일 향이 나는 무색 액체"로 묘사되는 소만은 낮은 증기압으로 인해 휘발성 가스 형태를 생성한다. 플루오린과 양성자 제거로 생성되는 플루오린화 수소는 물과 반응하여 플루오린산을 생성하여 간접적으로 위험하다.[5]

3. 1. 구조 및 반응성

소만(C(±)P(±)-소만)은 4개의 입체 이성질체를 가지며, 각기 다른 독성을 보이지만 대체로 유사하다. 입체 이성질체는 C(+)P(+)-소만, C(+)P(−)-소만, C(−)P(−)-소만 및 C(−)P(+)-소만이다.[7][8]

소만은 플루오라이드와 (큰) 탄화수소가 공유 결합된 포스포닐기를 가지고 있다. 따라서 구조는 더 작은 탄화수소기(아이소프로필)만 부착된 사린과 유사하다. 화학 구조의 유사성으로 인해 두 화합물의 반응성은 거의 동일하다. 소만과 사린은 모두 인산산소기를 사용하여 반응하며, 이 인산산소기는 세린과 같은 아미노산에 결합할 수 있다.

3. 2. 합성

소만 제조 과정은 사린 제조 과정과 매우 유사하다. 차이점은 사린 공정에서 사용되는 아이소프로판올이 피나콜릴 알코올로 대체된다는 것이다.

소만은 피나콜릴 알코올과 메틸포스포닐 다이플루오라이드를 반응시켜 합성한다. 이 반응의 결과로 소만이 형성되며, 이는 "약간 과일 향이 나는 무색 액체"로 묘사된다. 소만의 낮은 증기압은 소만의 휘발성 가스 형태를 생성한다. 또한, 플루오린과 양성자의 제거로 인해 산인 플루오린화 수소가 생성된다. 이 산은 인간에게 간접적으로 위험하다. 플루오린화 수소와의 피부 접촉은 물과 즉각적인 반응을 일으켜 플루오린산을 생성한다.[5]

4. 작용 기전 및 대사

소만은 체내에서 아세틸콜린에스터레이스(AChE)를 억제하는 동시에, 다른 에스터레이스들과 반응하여 해독되기도 한다. 소만의 대사 과정에서 독성화 반응은 알려져 있지 않다.[9][10]

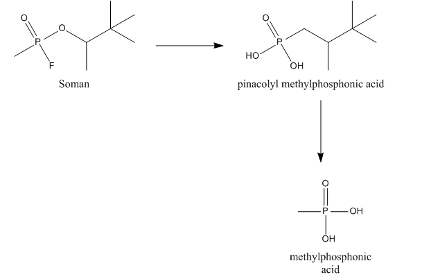
소만은 A-에스터레이스 (디이소프로필플루오로포스파타제, 소마나제)에 의해 가수분해될 수 있다. 소마나제는 인과 불소 사이의 결합을 끊어 불소를 제거하고, 메틸기를 가수분해하여 덜 강력한 AChE 억제제인 피나콜릴 메틸포스폰산(PMPA)을 생성한다.[9][10]

또한 소만은 에스터레이스인 AChE, 콜린에스터레이스(ChE), 카르복실에스터레이스(CarbE)와 결합한다. 이 과정에서 불소를 잃고, AChE나 ChE와 결합하면 포스포릴기를 잃어 메틸포스폰산(MPA)을 생성한다. CarbE와의 결합은 혈중 소만 농도를 낮추고 PMPA로 가수분해하여 해독 작용을 한다.[9][10]

Fonnum과 Sterri (1981)의 실험에 따르면, 쥐에서 AChE를 억제하는 소만의 중간 치사량(LD50)은 5%에 불과하며, 나머지 95%는 대사 반응을 통해 해독된다.[11]

소만의 대사

4. 1. 작용 기전

소만은 타분과 유사한 작용 기전을 가진 유기인 신경 작용제이다. 신경 작용제는 효소의 세린 잔기를 통해 아세틸콜린 에스테라아제(AChE)와 부가물을 형성하여 AChE를 억제한다. 이러한 부가물은 가수분해되거나, 예를 들어 일부 옥심의 작용에 의해 분해되어 효소를 재생시킬 수 있다. 두 번째 반응 유형은 효소-유기인산염(OP) 복합체가 후속 반응을 겪는 것으로, 일반적으로 "에이징"으로 묘사된다. 효소-OP 복합체가 에이징되면 일반적인 옥심 재활성제에 의해 더 이상 재생되지 않는다. 이 과정의 속도는 OP에 따라 달라진다. 소만은 에이징 속도를 가장 빠르게 자극하는 OP로, 반감기를 단 몇 분으로 감소시킨다.[5]

AChE는 신경 전달에 관여하는 효소이다. 이 효소의 반감기가 심각하게 감소하기 때문에 신경 전달은 수 분 만에 중단된다.[5]

4. 2. 대사

신체 내에 흡수된 소만은 AChE를 억제할 뿐만 아니라 다른 에스터레이스의 기질이기도 하다. 소만이 이러한 에스터레이스와 반응하면 화합물의 해독이 가능하다. 소만의 대사 독성화 반응은 알려진 바가 없다.

소만은 이른바 A-에스터레이스, 보다 구체적으로는 디이소프로필플루오로포스파타제에 의해 가수분해될 수 있다. 또한 소마나제라고도 불리는 이 에스터레이스는 인과 불소 사이의 무수물 결합과 반응하여 불소의 가수분해를 설명한다. 소마나제는 또한 소만의 메틸기를 가수분해하여 덜 강력한 AChE 억제제인 피나콜릴 메틸포스폰산(PMPA)을 생성한다.[9][10]

소만은 에스터레이스AChE, 콜린에스터레이스 (ChE), 카르복실에스터레이스 (CarbE)에도 결합할 수 있다. 이 결합에서 소만은 불소를 잃는다. AChE 또는 ChE에 결합한 후 소만은 포스포릴기를 잃어 메틸포스폰산 (MPA)이 생성된다. CarbE에 결합하면 혈액 내 소만의 총 농도가 감소하여 독성이 낮아진다. 또한 CarbE는 소만을 PMPA로 가수분해하여 해독에 관여한다. 따라서 CarbE는 두 가지 방식으로 소만의 해독을 설명한다.[9][10]

소만 노출 후 해독의 중요성은 Fonnum과 Sterri (1981)의 실험에서 입증되었다. 그들은 쥐에서 AChE를 억제하는 LD50이 5%에 불과하여 급성 독성 효과를 나타냈다고 보고했다. 이는 대사 반응이 투여량의 나머지 95%의 해독을 설명한다는 것을 보여준다.[11]

5. 증상 및 독성

소만은 사린과 같이 화학 무기로 사용되는 화합물과 관련이 깊어 중독 증상이 유사하다. 초기에는 축동이 나타나며, 이후 구토, 근육통, 말초 신경계 문제 등이 노출 후 10분 이내에 발생하여 며칠간 지속될 수 있다.[12]

소만은 신경계에 직접적인 독성을 일으키며, 소량 노출로도 심각한 영향을 줄 수 있다. 장기적으로는 심리적인 영향이 주로 나타나는데, 치료 후에도 우울증, 반사회적 사고, 위축, 침울함, 불면증, 악몽 등이 6개월까지 지속되기도 하지만 영구적인 손상은 없다.[13] 소만의 공기 중 LC50은 70 mg·min/m3로, 쥐(954.3 mg·min/m3)보다 인간에게 훨씬 낮은 농도에서 치명적이다. 축동은 LC50의 1% 미만에서도 나타날 수 있는 초기 증상이다.[14]

5. 1. 증상

소만 중독의 징후는 사린과 같은 화합물과 밀접하게 관련되어 있어 비교적 유사하다. 소만 중독의 초기 징후 중 하나는 축동이다. 그 외의 후기 징후로는 구토, 심한 근육통, 말초 신경계 문제 등이 있다. 이러한 증상은 노출 후 10분 이내에 나타나 며칠 동안 지속될 수 있다.[12]

소만은 신경계에 직접적인 독성 효과를 일으키는 것 외에도, 노출된 사람에게 장기적인 영향을 미칠 수 있는데, 대부분 심리적인 영향이다. 소량의 소만에 노출되어도 심각한 독성 효과를 겪을 수 있다. 치료 후에도 우울증, 반사회적 사고, 위축, 침울함, 불면증, 악몽 등의 증상이 나타나는 경우가 많다. 이러한 증상은 노출 후 6개월까지 지속되기도 하지만, 영구적인 손상 없이 사라진다.[13]

5. 2. 독성

소만(soman)의 공기 중 LC50은 70 mg·min/m3로 추정된다. 쥐의 LC50 값과 비교했을 때, 인간의 치사 농도는 훨씬 낮다(954.3 mg·min/m3 대 70 mg·min/m3). 무기로도 사용될 수 있는 소만과 같은 화합물의 경우, 종종 LC50 용량의 일부에서 첫 번째 효과가 나타난다. 축동은 소만 중독의 첫 번째 증상 중 하나이며 LC50의 1% 미만의 용량에서도 나타날 수 있다.[14]

6. 동물에 대한 영향

실험을 통해 랫(rat)에게 소만을 노출시켜, 낮은 용량에서도 랫의 행동 변화가 나타나는지 확인하였다. 랫에게 LD50의 3% 미만 용량의 소만을 노출시키자 행동 변화가 발생했다. 노출된 랫은 능동적 회피 행동(양방향 셔틀 박스 실험)이 감소했으며, 운동 조절 능력(허들 밟기 과제), 개방된 공간에서의 행동, 능동적 및 수동적 회피 행동에도 영향을 미쳤다. 소만에 노출된 랫은 운동 활동뿐만 아니라 중추신경계(CNS)의 고차 구조 기능을 요구하는 과제에서 덜 성공적으로 수행했다는 결론을 내릴 수 있다. 이와 관련하여 소만은 주로 중추적인 영향을 미친다.[15]

소만 및 기타 콜린 에스터라아제 억제제의 낮은 용량이 랫에게 미치는 영향에 대한 지식은 농업 조종사에게서 실수로 인한 비행기 사고 발생률이 비교적 높은 것을 설명하는 데 사용될 수 있다. 만약 이 지식을 인간에게 적용할 수 있다면, 살충제 노출로 인한 콜린 에스터라아제 활성 저하로 이러한 높은 사고 발생률을 설명할 수 있을 것이다. 하지만 랫에서의 결과를 인간에게 그대로 적용할 수 있는지는 아직 알려져 있지 않다.[15]

참조

[1] 웹사이트 Material Safety Data Sheet -- Lethal Nerve Agents Somain (GD and Thickened GD) http://www.gulfweb.o[...] 1994-05-25
[2] 논문 Crystal structures of aged phosphonylated acetylcholinesterase: nerve agent reaction products at the atomic level 1999-06
[3] 웹사이트 CDC {{!}} Facts About Soman https://emergency.cd[...] Centers for Disease Control and Prevention 2018-03-20
[4] 논문 Neurosciences and research on chemical weapons of mass destruction in Nazi Germany 2006-09
[5] 서적 Chemical Warfare Agents: Chemistry, Pharmacology, Toxicology, and Therapeutics CRC Press
[6] 웹사이트 Report of the OPCW on the Implementation of the Convention on the Prohibition of the Development, Production, Stockpiling and Use of Chemical Weapons and on their Destruction in 2017 https://www.opcw.org[...] Organisation for the Prohibition of Chemical Weapons 2024-02-09
[7] 논문 Inhalation Toxicokinetics of Soman Stereoisomers in the Atropinized Guinea Pig with Nose-Only Exposure to Soman Vapor 1998-07-01
[8] 논문 Hydrolysis of the four stereoisomers of soman catalyzed by liver homogenate and plasma from rat, guinea pig and marmoset, and by human plasma 1988-08-01
[9] 논문 Biotransformation of organophosphorus compounds 2001-09-25
[10] 논문 Current understanding of the mechanisms involved in metabolic detoxification of warfare nerve agents 2009-07-10
[11] 논문 Factors modifying the toxicity of organophosphorus compounds including soman and sarin
[12] 논문 Soman and Sarin: Clinical Manifestations and Treatment of Accident of Accidental Poisoning by Organophosphates
[13] 논문 Soman and sarin: clinical manifestations and treatment of accidental poisoning by organophosphates 1974
[14] 간행물 Clinical environmental health and toxic exposures Lippincott Williams & Williams, Philadelphia 2001
[15] 논문 Behavioral Changes in the Rat after Low Doses of Cholinesterase Inhibitors 1984-04-01
[16] 웹사이트 公益財団法人 日本中毒情報センター 化学テロ・化学災害対応体制(概要) P5 http://www.j-poison-[...]
[17] 웹사이트 神経剤 (Nerve Agents) 国立医薬品食品衛生研究所 http://www.nihs.go.j[...]
[18] 웹사이트 破防法弁明●証拠の要旨の告知(2) https://web.archive.[...]



본 사이트는 AI가 위키백과와 뉴스 기사,정부 간행물,학술 논문등을 바탕으로 정보를 가공하여 제공하는 백과사전형 서비스입니다.
모든 문서는 AI에 의해 자동 생성되며, CC BY-SA 4.0 라이선스에 따라 이용할 수 있습니다.
하지만, 위키백과나 뉴스 기사 자체에 오류, 부정확한 정보, 또는 가짜 뉴스가 포함될 수 있으며, AI는 이러한 내용을 완벽하게 걸러내지 못할 수 있습니다.
따라서 제공되는 정보에 일부 오류나 편향이 있을 수 있으므로, 중요한 정보는 반드시 다른 출처를 통해 교차 검증하시기 바랍니다.

문의하기 : help@durumis.com