송라산
"오늘의AI위키"의 AI를 통해 더욱 풍부하고 폭넓은 지식 경험을 누리세요.
1. 개요
송라산은 지의류에서 발견되는 이차 대사 산물로, 햇빛 노출로부터 지의류를 보호하고 초식 동물의 접근을 막는 역할을 하는 것으로 여겨진다. 폴리케타이드의 일종으로 생합성되며, 간독성을 유발할 수 있어 주의가 필요하다. 아드레날린 활성을 가지는 것으로 나타났으며, 지의류 추출물의 우스닌산 함량은 분석을 통해 측정할 수 있다.
더 읽어볼만한 페이지
- 폴리케타이드 - 니스타틴
니스타틴은 곰팡이 감염 치료에 사용되는 항진균제로, 곰팡이 세포막에 결합하여 세포 사멸을 유도하며, 피부, 질, 구강, 식도의 칸디다증 치료에 효과적이다. - 폴리케타이드 - 아버멕틴
아버멕틴은 방선균이 생산하는 물질로 기생충과 곤충에 저항하는 효과가 있으며, 기생충의 신경계에 작용하여 마비를 유발, 동물 종의 감염증 치료에 사용된다. - 레조르시놀 - 칸나비디올
칸나비디올(CBD)은 대마초에서 추출되는 칸나비노이드의 일종으로 정신 활성 효과는 없지만 항염증, 항경련, 항산화 효능이 있으며 특정 간질 질환 치료제로 승인되었으나, 효능과 안전성에 대한 추가 연구와 품질 관리가 필요하며 국가별 법적 규제가 상이하여 의료용 및 오락용 사용에 대한 논의가 진행 중인 물질이다. - 레조르시놀 - 나린제닌
나린제닌은 플라바논의 일종으로, 나린진으로부터 생성되며 CYP1A2 억제제로 작용하고 C형 간염 바이러스 생성을 감소시킬 수 있으며 자몽 등 다양한 식물에 함유되어 있다.
송라산 - [화학 물질]에 관한 문서 | |
---|---|
Usnic acid | |
![]() | |
IUPAC 이름 | 2,6-Diacetyl-7,9-dihydroxy-8,9b-dimethyldibenzo[b,d]furan-1,3(2H,9bH)-dione |
다른 이름 | Usneine Usninic acid Usniacin |
식별자 | |
CAS 번호 | 125-46-2 |
CAS 번호 주석 | 라세미체 |
CAS 번호 1 | 7562-61-0 |
CAS 번호 1 주석 | (R)-(+) |
CAS 번호 2 | 6159-66-6 |
CAS 번호 2 주석 | (S)-(–) |
ChEMBL | 242022 |
ChEBI | 38319 |
SMILES | CC1=C(C(=C2C(=C1O)C3(C(=CC(=O)C(C3=O)C(=O)C)O2)C)C(=O)C)O |
PubChem | 5646 |
ChemSpider ID | 5444 |
UNII | 0W584PFJ77 |
UNII 1 | 663456969I |
UNII 1 주석 | (R)-(+) |
UNII 2 | 5HYW08F205 |
UNII 2 주석 | (S)-(–) |
InChI | 1/C18H16O7/c1-6-14(22)12(8(3)20)16-13(15(6)23)18(4)10(25-16)5-9(21)11(7(2)19)17(18)24/h5,11,22-23H,1-4H3 |
InChIKey | CUCUKLJLRRAKFN-UHFFFAOYAS |
StdInChI | 1S/C18H16O7/c1-6-14(22)12(8(3)20)16-13(15(6)23)18(4)10(25-16)5-9(21)11(7(2)19)17(18)24/h5,11,22-23H,1-4H3 |
StdInChIKey | CUCUKLJLRRAKFN-UHFFFAOYSA-N |
속성 | |
분자식 | C18H16O7 |
녹는점 | 204 °C |
용해도 | 0.001 g/L 미만 (25°C) |
용매 1 | 아세톤 |
용해도 1 | 0.077 g/L |
용매 2 | 에틸 아세테이트 |
용해도 2 | 0.088 g/L |
용매 3 | 푸르푸랄 |
용해도 3 | 0.732 g/L |
용매 4 | 푸르푸릴 알코올 |
용해도 4 | 0.121 g/L |
2. 생물학적 역할
우스닌산은 지의류에서 발견되는 이차 대사 산물로, 햇빛의 유해한 영향으로부터 지의류를 보호하고 초식 동물이 접근하지 못하도록 하는 역할을 하는 것으로 알려져 있다.[1]
2. 1. 지의류에서의 역할
우스닌산은 지의류에서 발견되는 이차 대사 산물로, 그 역할은 아직 완전히 밝혀지지 않았다. 우스닌산은 지의류를 햇빛 노출의 유해한 영향으로부터 보호하고, 쓴맛으로 인해 초식 동물의 접근을 막는 역할을 하는 것으로 여겨진다.[1]3. 생합성
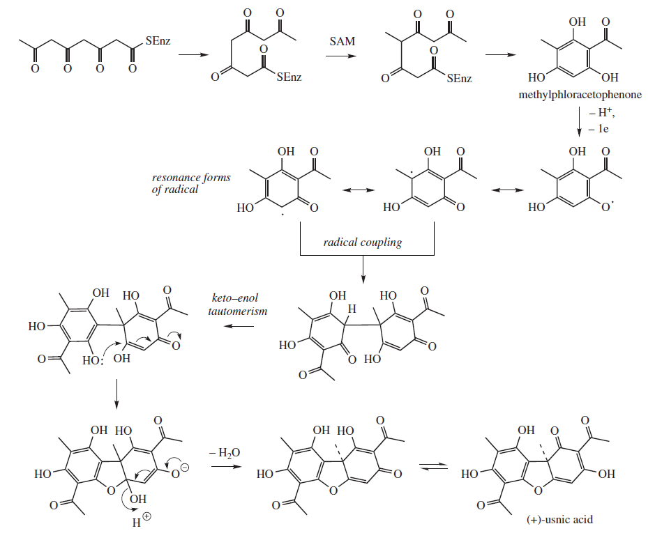
우스닌산은 중간체로 메틸플로로아세토페논을 거쳐 생합성되는 폴리케타이드이다.[7]
4. 안전성
우스닌산과 그 염은 심각한 간독성 및 간부전과 관련이 있는 것으로 알려져 있다.[8][9] 수 주 동안 매일 300~1350mg을 경구 섭취하면 많은 사람들에게 심각한 간독성을 유발할 수 있다.[10][11]
4. 1. 리포키네틱스와의 관련성
우스닌산나트륨은 대사율 증가를 통해 체중 감소를 유도한다고 알려진 "리포키네틱스"(Lipokinetix)라는 제품의 한 성분이었다.[8][9] 리포키네틱스는 간독성 가능성 때문에 미국에서 FDA 경고를 받았지만, 어떤 성분이 이러한 독성을 유발하는지는 아직 밝혀지지 않았다. 리포키네틱스에는 노르에페드린, 카페인, 요힘빈, 3,5-디아이오도티로닌도 포함되어 있었다.5. 약리 작용
우스닌산은 예비 연구에서 개구리와 지렁이 신경 접합 모델 모두에서 아드레날린 활성을 갖는 것으로 밝혀졌다.[13]
6. 분석
송라산 추출물의 우스닌산 함량은 역극성 모세관 전기영동 또는 고성능 액체 크로마토그래피 분석을 사용하여 측정할 수 있다.[14]
참조
[1]
서적
The Merck index: an encyclopedia of chemicals, drugs, and biologicals
Merck
2001
[2]
논문
Chemisch-physiologische Untersuchung uber die Flechten
https://zenodo.org/r[...]
[3]
논문
' 277. Usnic acid. Part III. Usnetol, usnetic acid, and pyrousnic acid'
[4]
논문
A review on usnic acid, an interesting natural compound
[5]
논문
Characterization of the tea fungus metabolites
[6]
서적
Handbook of preservatives
https://books.google[...]
Synapse Info Resources
2010-08-05
[7]
논문
Biosynthesis of Natural Products. VI. Biosynthesis of Usnic Acid in Lichens. (1). A General Scheme of Biosynthesis of Usnic Acid
[8]
논문
Hepatotoxic slimming aids and other herbal hepatotoxins
[9]
논문
Acute liver failure caused by 'fat burners' and dietary supplements: a case report and literature review
[10]
논문
'Fat burner' herb, usnic acid, induced acute hepatitis in a family
2005-07
[11]
논문
Severe Hepatotoxicity Associated with Use of a Dietary Supplement Containing Usnic Acid
[12]
웹사이트
Safety Alerts for Human Medical Products > Lipokinetix
https://www.fda.gov/[...]
U.S. Food and Drug Administration
2001-11-20
[13]
문서
Harris N. J. (1961), Honors Thesis, Clark University, Worcester, Massachusetts
[14]
논문
Reversed-polarity capillary zone electrophoretic analysis of usnic acid
[15]
논문
Chemisch-physiologische Untersuchung uber die Flechten
https://zenodo.org/r[...]
[16]
논문
' 277. Usnic acid. Part III. Usnetol, usnetic acid, and pyrousnic acid'
null
[17]
논문
A review on usnic acid, an interesting natural compound
[18]
논문
Characterization of the tea fungus metabolites
[19]
서적
Handbook of preservatives
https://books.google[...]
Synapse Info Resources
2010-08-05
[20]
논문
Hepatotoxic slimming aids and other herbal hepatotoxins
[21]
논문
Acute liver failure caused by 'fat burners' and dietary supplements: a case report and literature review
null
[22]
논문
'Fat burner' herb, usnic acid, induced acute hepatitis in a family
null
2005-07
[23]
논문
Severe Hepatotoxicity Associated with Use of a Dietary Supplement Containing Usnic Acid
본 사이트는 AI가 위키백과와 뉴스 기사,정부 간행물,학술 논문등을 바탕으로 정보를 가공하여 제공하는 백과사전형 서비스입니다.
모든 문서는 AI에 의해 자동 생성되며, CC BY-SA 4.0 라이선스에 따라 이용할 수 있습니다.
하지만, 위키백과나 뉴스 기사 자체에 오류, 부정확한 정보, 또는 가짜 뉴스가 포함될 수 있으며, AI는 이러한 내용을 완벽하게 걸러내지 못할 수 있습니다.
따라서 제공되는 정보에 일부 오류나 편향이 있을 수 있으므로, 중요한 정보는 반드시 다른 출처를 통해 교차 검증하시기 바랍니다.
문의하기 : help@durumis.com