맨위로가기

중심성

"오늘의AI위키"는 AI 기술로 일관성 있고 체계적인 최신 지식을 제공하는 혁신 플랫폼입니다.
"오늘의AI위키"의 AI를 통해 더욱 풍부하고 폭넓은 지식 경험을 누리세요.

1. 개요

중심성은 그래프 이론에서 "어떤 정점이 중요한가?"에 대한 답을 제시하기 위해 사용되는 지표로, 네트워크 내 노드의 중요성을 평가하는 데 활용된다. 중요성은 네트워크 흐름의 유형, 응집력 기여도 등에 따라 다양하게 해석되며, 이에 따라 차수 중심성, 근접 중심성, 매개 중심성, 고유 벡터 중심성 등 다양한 중심성 지표가 개발되었다. 중심성 지표는 네트워크 흐름, 워크 구조, 반경-볼륨 척도, 게임 이론적 관점 등 다양한 특징에 따라 분류될 수 있으며, 노드의 상대적 중요성을 나타내지만 일반적인 노드의 영향력을 측정하는 데는 한계가 있다. 주요 중심성 지표로는 차수 중심성, 근접 중심성, 조화 중심성, 매개 중심성, 고유벡터 중심성, 카츠 중심성, 페이지랭크, 침투 중심성, 교차 클리크 중심성, 프리먼 집중도 등이 있으며, 수송망 분석에도 활용된다.

더 읽어볼만한 페이지

  • 대수적 그래프 이론 - 거리 정규 그래프
    거리 정규 그래프는 지름이 d일 때 특정 조건을 만족하며 교차 배열로 특징지어지는 그래프로, 완전 그래프, 순환 그래프, 홀수 그래프 등이 그 예시이다.
  • 대수적 그래프 이론 - 대칭 그래프
    대칭 그래프는 그래프 이론에서 그래프의 구조적 규칙성을 나타내는 개념으로, 정점과 간선의 연결 관계가 균일하며 사이클 그래프, 완전 그래프, 하이퍼큐브 그래프 등의 예시가 있고, 네트워크 분석, 암호학, 화학 등 다양한 분야에 응용된다.
  • 네트워크 이론 - 사회 연결망
    사회 연결망 분석은 개인이나 집단 간의 관계를 분석하여 사회적 구조와 행동을 이해하는 학제 간 연구 방법론으로, 다양한 이론적 틀을 활용하여 네트워크 내 위치와 정보 접근의 중요성을 분석하며 여러 분야에서 활용된다.
  • 네트워크 이론 - 멩거의 정리
    멩거의 정리는 그래프의 연결도가 k일 필요충분조건이 임의의 두 정점 사이를 지나는 서로소인 경로가 k개 이상 존재하는 것임을 나타내는 정리로, 정점 및 변 연결도 버전이 있으며 유향/무향 그래프와 무한 그래프에도 적용 가능하고 네트워크 설계 등에 응용되며 최대 유량 최소 컷 정리 등과 관련이 있다.
  • 그래프 알고리즘 - 페이지랭크
    페이지랭크는 래리 페이지와 세르게이 브린이 개발한 알고리즘으로, 하이퍼링크로 연결된 문서 집합에서 웹 페이지의 상대적 중요도를 측정하며, 링크를 투표로 간주하여 페이지 순위를 재귀적으로 결정하고, 구글 검색 엔진의 초기 핵심 알고리즘으로 활용되었으며, 다양한 분야에서 활용된다.
  • 그래프 알고리즘 - 너비 우선 탐색
    너비 우선 탐색은 그래프 탐색 알고리즘으로, 큐 자료구조를 사용하여 시작 노드에서 인접한 노드들을 우선적으로 탐색하며, 가중치가 없는 그래프에서 최단 경로를 찾는 데 유용하고 다양한 분야에 활용된다.
중심성
그래프 중심성
유형그래프 이론
설명그래프 내에서 정점의 상대적 중요성을 나타내는 측정 방법
중심성 측정 종류
연결 중심성 (Degree Centrality)정점에 연결된 모서리의 수
근접 중심성 (Closeness Centrality)그래프의 다른 모든 정점까지의 평균 거리의 역수
매개 중심성 (Betweenness Centrality)다른 두 정점 사이의 최단 경로에 놓이는 횟수
고유 벡터 중심성 (Eigenvector Centrality)연결된 정점의 중심성에 비례하는 값
응용 분야
소셜 네트워크 분석소셜 네트워크에서 영향력 있는 사람 식별
네트워크 과학네트워크의 구조적 특성 이해
생물학단백질 상호 작용 네트워크에서 중요한 단백질 식별
뇌 과학뇌 네트워크에서 중요한 뇌 영역 식별

2. 중심성 지표의 정의 및 특징

중심성 지표는 네트워크에서 어떤 정점이 중요한지를 나타내는 척도이다. "중요성"의 의미는 다양하게 해석될 수 있기 때문에, 여러 종류의 중심성 지표가 존재한다.[4][5][6]

중요성은 네트워크를 통한 흐름 유형이나 네트워크 응집성에 대한 기여도 등 다양한 관점에서 정의될 수 있다.[5][7] 이에 따라 중심성은 여러 범주로 나뉜다.

대부분의 중심성 지표는 주어진 정점을 통과하는 특정 유형의 경로 수를 계산한다. 어떤 경로를 어떻게 계산하느냐에 따라 차수 중심성, 고유 벡터 중심성 등 다양한 중심성 지표가 만들어진다.[4][8] 매개 중심성과 같이 네트워크 연결에 중요한 역할을 하는 정점에 초점을 맞추는 중심성 지표도 있다.

2. 1. 네트워크 흐름에 따른 특징

네트워크는 정보, 자원, 영향력 등이 흘러가는 경로로 볼 수 있다. 중심성은 이러한 흐름의 유형과 경로의 특징에 따라 분류할 수 있다.[5]

흐름의 유형은 다음과 같이 나눌 수 있다.

  • 전송: 분리 불가능한 항목이 한 노드에서 다른 노드로 이동하는 경우이다. 택배 배달이 대표적인 예시이다.
  • 직렬 복제: 항목이 복제되어 소스와 대상 모두 해당 항목을 가지게 되는 경우이다. 소문처럼 정보가 전파되는 경우가 이에 해당한다.
  • 병렬 복제: 항목이 동시에 여러 링크에 복제되는 경우이다. 라디오 방송처럼 여러 청취자에게 동시에 동일한 정보를 제공하는 것이 예시이다.[5]


경로의 유형은 다음과 같이 나눌 수 있다.

  • 측지선: 최단 경로를 의미한다.
  • 경로: 한 정점을 두 번 이상 방문하지 않는 경로이다.
  • 트레일: 정점을 여러 번 방문할 수 있지만, 한 번 지난 가장자리는 다시 지나지 않는 경로이다.
  • 워크: 정점과 가장자리를 여러 번 방문/통과할 수 있는 경로이다.[5]


이처럼 흐름과 경로의 유형에 따라 다양한 중심성 지표가 존재하며, 어떤 유형을 고려하느냐에 따라 적합한 중심성 지표가 달라진다.[5]

2. 2. 워크 구조에 따른 특징

중심성은 계산 방식에 따라 분류할 수 있다. 주어진 정점에서 시작하거나 끝나는 워크(walk)를 계산하는 반경(radial) 중심성과 주어진 정점을 통과하는 워크를 계산하는 중심(medial) 중심성으로 나눌 수 있다. 또한, 워크의 총 개수(volume)를 측정하는지, 아니면 주어진 정점에서 다른 정점까지의 거리(length)를 측정하는지에 따라서도 분류할 수 있다.[7]

구분정의예시
반경 중심성 (Radial Centrality)주어진 정점에서 시작하거나 끝나는 워크를 계산차수 중심성(길이가 1인 워크 수 계산), 고유값 중심성(무한대 길이의 워크 수 계산)
중심 중심성 (Medial Centrality)주어진 정점을 통과하는 워크를 계산프리먼의 중간 중심성(주어진 정점을 통과하는 최단 경로의 수 계산)[7]
볼륨 중심성 (Volume Centrality)주어진 유형의 워크의 총 수를 계산
길이 중심성 (Length Centrality)주어진 정점에서 그래프의 나머지 정점까지의 거리를 측정근접 중심성(주어진 정점에서 다른 모든 정점까지의 총 측지 거리)[7]


2. 3. 반경-볼륨 중심성의 스펙트럼

많은 중심성 지표는 반경-볼륨 척도(radial-volume measure)로 표현될 수 있다. 이러한 중심성 지표는 특정 정점의 중심성이 그 정점과 연결된 다른 정점들의 중심성의 함수라는 아이디어를 바탕으로 한다. 연결 강도를 어떻게 정의하느냐에 따라 다양한 중심성 지표가 도출될 수 있는데, 그 예는 다음과 같다.

  • 차수 중심성: 길이가 1인 걸음(walk)을 계산한다.[4]
  • 고유벡터 중심성: 길이가 무한대인 걸음(walk)을 계산한다.[4]
  • 알파 중심성: 정점이 외부 영향의 원천을 가질 수 있도록 한다.
  • 부분 그래프 중심성: 닫힌 경로(삼각형, 사각형 등)만 계산한다.


이러한 척도의 핵심은 그래프의 인접행렬의 거듭제곱이 해당 거듭제곱으로 주어진 길이의 걸음의 수를 제공한다는 것이다. 행렬 지수도 주어진 길이의 걸음의 수와 밀접하게 관련되어 있다. 인접 행렬의 초기 변환은 계산되는 걸음 유형의 다른 정의를 가능하게 한다. 두 가지 접근 방식 모두에서, 정점의 중심성은 무한 합으로 표현될 수 있다.

:\sum_{k=0}^\infty A_{R}^{k} \beta^k (행렬 거듭제곱의 경우)

또는

:\sum_{k=0}^\infty \frac{(A_R \beta)^k}{k!} (행렬 지수의 경우)

여기서

  • k는 걸음 길이,
  • A_R는 변환된 인접 행렬,
  • \beta는 합의 수렴을 보장하는 할인 매개변수이다.


보나칙의 척도군은 인접 행렬을 변환하지 않는다. 알파 중심성은 인접 행렬을 해당 해결 공식으로 대체한다. 하위 그래프 중심성은 인접 행렬을 해당 대각합으로 대체한다. \beta가 0에 가까워지면, 지수는 차수 중심성으로 수렴하고, \beta가 최대값에 가까워지면, 지수는 고유벡터 중심성으로 수렴한다.[8]

2. 4. 게임 이론적 중심성

대부분의 기존 중심성 척도는 개별 노드의 역할에만 집중하여 노드의 중요성을 평가한다. 그러나 많은 응용 분야에서 노드들이 그룹으로 작용할 때 발생하는 시너지 효과 때문에 이러한 접근 방식은 부적절할 수 있다.

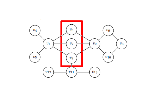
게임 이론적 중심성의 예


예를 들어, 전염병 확산을 막는 문제를 생각해 보자. 네트워크 이미지에서 어떤 노드에 백신을 접종해야 할까? 기존 중심성 척도에 따르면 질병 확산에 가장 중요한 노드를 파악하고자 할 것이다. 하지만 개별 노드의 특징에만 집중하는 중심성 기반 접근 방식은 좋은 방법이 아닐 수 있다. 빨간색 사각형 안의 노드들은 개별적으로는 질병 확산을 막을 수 없지만, 그룹으로 고려하면 v_1, v_4, v_5 노드에서 질병이 시작된 경우 확산을 막을 수 있다.

게임 이론적 중심성은 게임 이론의 도구를 사용하여 이러한 문제와 기회를 해결한다. [9]에서 제안된 접근 방식은 샤플리 값을 사용한다. 샤플리 값 계산의 시간 복잡성 문제 때문에, 이 분야의 대부분의 노력은 네트워크의 특이한 토폴로지나 문제의 특별한 특성에 의존하는 새로운 알고리즘과 방법을 구현하는 데 집중되어 있다. 이러한 접근 방식은 시간 복잡성을 지수에서 다항식으로 줄일 수 있다.

마찬가지로, 권위 분배[10]의 솔루션 개념은 샤플리-슈빅 파워 지수를 샤플리 값 대신 사용하여 플레이어 간의 양자 직접적인 영향을 측정한다. 이 분배는 실제로 일종의 고유 벡터 중심성이다. 이는 Hu (2020)[11]에서 미국의 대학 순위 매기기와 같이 빅 데이터 객체를 정렬하는 데 사용된다.

3. 중심성 지표의 한계

중심성 지표는 특정 응용 분야에 최적화된 경우가 많아 다른 분야에서는 적합하지 않을 수 있다. 예를 들어, 크라크하르트 연 그래프에서는 세 가지 다른 중심성 개념에 따라 가장 중심적인 정점이 다르게 선택된다.[12]

또한, 중심성 지표는 주로 가장 중요한 노드를 식별하는 데 초점을 맞추기 때문에, 네트워크 전체 노드의 영향력을 측정하는 데는 한계가 있다. 중심성 지수는 정점의 상대적 중요도를 나타내도록 설계되었지만,[4][5] 일반적인 노드의 영향력을 측정하도록 설계되지는 않았다. 최근에는 이러한 문제를 해결하기 위해 노드 영향력 지표가 개발되고 있다.

중심성 지수의 한계는 다음과 같이 두 가지로 요약할 수 있다.


  • 순위의 한계: 중심성 순위는 정점을 중요도별로 정렬하지만, 순위 간 중요도 차이를 정량화하지는 않는다. 프리먼 집중도를 통해 어느 정도 완화할 수 있다.[34]
  • 일반화의 어려움: 특정 네트워크에서 가장 중요한 정점을 식별하는 기능이 나머지 정점에 반드시 일반화되지는 않는다.[17][13][14][15] 예를 들어, 구글 이미지 검색 결과는 페이지랭크의 불안정성 때문에 순위가 자주 바뀐다.[16]


복잡한 네트워크는 이질적인 토폴로지를 가지기 때문에, 가장 중요한 정점에 최적인 중심성 지표가 네트워크의 나머지 부분에는 최적이 아닐 수 있다.[17]

4. 주요 중심성 지표

A) 매개 중심성, B) 근접 중심성, C) 고유 벡터 중심성, D) 차수 중심성, E) 조화 중심성 및 F) Katz 중심성의 동일한 임의 기하 그래프의 예.


240px


주요 중심성 지표는 다음과 같다.

  • 차수 중심성: 한 노드에 직접 연결된 링크 수로 정의된다.[18]
  • 근접 중심성: 한 노드와 그래프 내 다른 모든 노드 간 최단 경로의 평균 길이의 역수이다.[19][20]
  • 조화 중심성: 근접 중심성과 유사하지만, 연결되지 않은 노드 쌍의 거리를 0으로 처리하여 계산한다.[22]
  • 매개 중심성: 한 노드가 다른 두 노드 사이의 최단 경로 역할을 하는 횟수를 나타낸다.[25]
  • 고유벡터 중심성: 연결된 노드의 중요도를 함께 고려하여 네트워크에서 노드의 영향력을 측정한다.[27][6]
  • 카츠 중심성: 직접적인 이웃뿐만 아니라 경로를 통해 연결될 수 있는 모든 노드의 수를 측정하며, 멀리 떨어진 노드의 영향은 감소시킨다.[29]
  • 페이지랭크: 고유벡터 중심성과 유사하지만, 스케일링 팩터와 왼쪽 고유 벡터를 사용한다는 차이점이 있다.[31]
  • 침투 중심성: 네트워크를 통한 전염 과정에서 노드의 중요성을 측정하며, 해당 노드를 통과하는 '침투 경로'의 비율을 계산한다.[32]
  • 교차 클리크 중심성: 한 노드가 서로 다른 클리크에 얼마나 연결되어 있는지를 나타낸다.[33]

4. 1. 차수 중심성 (Degree Centrality)

차수 중심성은 한 노드(node)에 직접 연결된 엣지(edge, 연결)의 개수를 나타내는 중심성 지표이다. Degree Centrality영어는 가장 단순하면서도 널리 사용되는 중심성 지표 중 하나이다.[18]

방향성 네트워크(directed network)에서는 들어오는 연결(내차수, in-degree)과 나가는 연결(외차수, out-degree)을 구분하여 계산한다. 예를 들어, 연결이 우정이나 협력을 나타내는 경우, 내차수는 인기의 척도로, 외차수는 사교성의 척도로 해석될 수 있다.

어떤 노드가 네트워크를 통해 흐르는 것(예: 바이러스, 정보)에 즉시 감염될 위험은 차수 중심성과 관련하여 해석할 수 있다. 그래프 G:=(V,E)에서 |V|개의 정점과 |E|개의 모서리가 있는 주어진 정점 v의 차수 중심성은 다음과 같이 정의된다.

:C_D(v)= \deg(v)

그래프의 모든 노드에 대한 차수 중심성을 계산하는 것은 그래프의 밀집 인접 행렬 표현에서 \Theta(V^2)가 소요되며, 모서리의 경우 희소 행렬 표현에서 \Theta(E)가 소요된다.

노드 수준의 중심성 정의는 전체 그래프로 확장될 수 있다. v*G에서 가장 높은 차수 중심성을 가진 노드로 정의하고, X:=(Y,Z)를 다음 수량을 최대화하는 |Y| 노드 연결 그래프로 정의한다. (y*X에서 가장 높은 차수 중심성을 가진 노드)

:H= \sum^

_{j=1} [C_D(y*)-C_D(y_j)]

이에 따라 그래프 G의 차수 집중화는 다음과 같다.

:C_D(G)= \frac{\sum^

_{i=1} [C_D(v*)-C_D(v_i)]}{H}

그래프 X가 모든 다른 노드가 연결된 하나의 중심 노드(별 그래프)를 포함할 때 H의 값이 최대화되며, 이 경우

:H=(n-1)\cdot((n-1)-1)=n^2-3n+2.

따라서 모든 그래프 G:=(V,E),에 대해

:C_D(G)= \frac{\sum^

_{i=1} [C_D(v*)-C_D(v_i)] }{|V|^2-3|V|+2}

허브를 만들려는 경향(TMH)이라는 새로운 광범위한 차수 중심성 측정은 다음과 같이 정의된다.[2]

:\text{TMH} = \frac{\sum^

_{i=1} \deg(v)^2 }{\sum^

_{i=1} \deg(v) }

여기서 TMH는 네트워크에서 차수 중심성이 나타남에 따라 증가한다.

4. 2. 근접 중심성 (Closeness Centrality)

연결된 그래프에서, 어떤 노드의 정규화된 '''근접 중심성''' (또는 '''근접성''')은 그 노드와 그래프의 다른 모든 노드 사이의 최단 경로의 평균 길이이다. 따라서 한 노드가 중심에 가까울수록 다른 모든 노드에 더 가깝다.[19][20]

근접성은 알렉스 바벨라스 (1950)가 '''원거리'''의 역수로 정의했으며, C_B(v)= (\sum_u d(u,v))^{-1}으로 표현된다. 여기서 d(u,v)는 정점 ''u''와 ''v'' 사이의 거리이다. 그러나 근접 중심성을 이야기할 때는 보통 이전 공식에 N-1을 곱하여 구한 정규화된 형태를 사용하는데, 여기서 N은 그래프의 노드 수이다.

:C(v)= \frac{N-1}{\sum_u d(u,v)} .

이 정규화를 통해 서로 다른 크기의 그래프 노드들을 비교할 수 있다. 많은 그래프에서 근접성의 역수와 차수의 로그 사이에는 강한 상관관계가 있으며,[21](C(v))^{-1} \approx -\alpha \ln(k_v) + \beta 여기서 k_v는 정점 ''v''의 차수이고, α와 β는 각 네트워크에 대한 상수이다.

무방향 그래프에서는 모든 다른 노드 ''로부터'' 또는 ''로''의 거리를 계산하는 것이 큰 의미가 없지만, 방향 그래프에서는 완전히 다른 결과를 낳을 수 있다. 예를 들어, 웹사이트는 나가는 링크에서 높은 근접 중심성을 가질 수 있지만, 들어오는 링크에서는 낮은 근접 중심성을 가질 수 있다.

4. 3. 조화 중심성 (Harmonic Centrality)

마르키오리와 라토라가 2000년에 처음 제안한 조화 중심성은 그래프에서 근접 중심성을 계산하는 방법의 변형이다.[22] 연결되지 않은 그래프에서도 사용할 수 있도록, 합과 역수 연산을 반전시켜 다음과 같이 정의한다.

:H(v)= \sum_{u | u \neq v} \frac{1}{d(u,v)}

여기서 ''u''에서 ''v''까지의 경로가 없으면 1 / d(u,v) = 0으로 처리한다. 즉, 연결되지 않은 노드 쌍의 거리는 무한대가 아닌 0으로 처리한다.

조화 중심성은 데커(2005)에 의해 "가치 중심성"이라는 이름으로,[23] 그리고 로샤(2009)에 의해 독립적으로 제안되기도 했다.[24] 필요에 따라 그래프의 노드 수 ''N''으로 나누어 정규화할 수 있다.

4. 4. 매개 중심성 (Betweenness Centrality)



'''매개 중심성'''(Betweenness Centrality)은 그래프 내의 정점에 대한 중심성 척도이다. 매개 중심성은 한 노드가 다른 두 노드 사이의 최단 경로 역할을 하는 횟수를 나타낸다. 린턴 프리먼은 사회 네트워크에서 다른 사람들 간의 의사소통에 대한 인간의 통제력을 정량화하는 척도로 매개 중심성을 도입하였다.[25] 그의 개념에 따르면, 임의로 선택된 두 정점 사이의 임의로 선택된 최단 경로에 나타날 확률이 높은 정점은 매개 중심성이 높다.

V개의 정점을 가진 그래프 G:=(V,E)에서 정점 v의 매개 중심성은 다음과 같이 계산된다.

# 각 정점 쌍(''s'',''t'')에 대해, 그들 사이의 최단 경로를 계산한다.

# 각 정점 쌍(''s'',''t'')에 대해, 문제의 정점(여기서는 정점 ''v'')을 통과하는 최단 경로의 비율을 결정한다.

# 모든 정점 쌍(''s'',''t'')에 대해 이 비율을 더한다.

더 간결하게 매개 중심성은 다음과 같이 표현할 수 있다.[26]

:C_B(v)= \sum_{s \neq v \neq t \in V}\frac{\sigma_{st}(v)}{\sigma_{st}}

여기서 \sigma_{st}는 노드 s에서 노드 t까지의 최단 경로의 총 개수이고, \sigma_{st}(v)v를 통과하는 경로의 개수이다. 매개 중심성은 유향 그래프의 경우 (n-1)(n-2), 무향 그래프의 경우 (n-1)(n-2)/2인 ''v''를 포함하지 않는 정점 쌍의 수로 나누어 정규화할 수 있다. 예를 들어, 무향 별 그래프에서 중심 정점(모든 가능한 최단 경로에 포함됨)은 (n-1)(n-2)/2 (정규화된 경우 1)의 매개 중심성을 갖는 반면, 잎(어떤 최단 경로에도 포함되지 않음)은 0의 매개 중심성을 갖는다.

계산 측면에서 그래프의 모든 정점의 매개 중심성을 계산하는 것은 그래프의 모든 정점 쌍 사이의 최단 경로를 계산하는 것을 포함하며, 이는 O(V^3) 시간의 플로이드-워셜 알고리즘이 필요하다. 그러나 희소 그래프에서는 존슨 알고리즘이 더 효율적일 수 있으며, O( 시간이 걸린다. 가중치가 없는 그래프의 경우, 계산은 브란데스 알고리즘[26]으로 수행할 수 있으며, 이는 O( 시간이 걸린다.

4. 5. 고유벡터 중심성 (Eigenvector Centrality)

'''고유벡터 중심성'''(eigenvector centrality)은 네트워크에서 노드의 영향력을 측정하는 지표이다. 연결된 노드의 중요성을 함께 고려하여, 중요한 노드와 많이 연결될수록 해당 노드의 고유벡터 중심성이 높아진다. 구글페이지랭크(PageRank)는 고유벡터 중심성을 활용한 알고리즘의 예시이다.[27][6]

주어진 그래프 G:=(V,E)에서 |V|를 정점의 개수, A = (a_{v,t})를 인접 행렬이라고 하자. 정점 v가 정점 t와 연결되어 있으면 a_{v,t} = 1, 그렇지 않으면 a_{v,t} = 0이다. 이때 정점 v의 상대적인 중심성 점수 x_v는 다음 방정식을 만족하는 음이 아닌 해로 정의할 수 있다. (단, M(v)v의 이웃 집합, \lambda는 상수)[27]

:x_v = \frac{1}{\lambda} \sum_{t \in M(v)}x_t = \frac{1}{\lambda} \sum_{t \in G} a_{v,t}x_t

위 식을 고유 벡터 방정식으로 표현하면 다음과 같다.

:\mathbf{Ax} = {\lambda}\mathbf{x}

일반적으로 이 방정식은 여러 개의 고유값 \lambda에 대해 해를 가진다. 페론-프로베니우스 정리에 따르면, 인접 행렬의 항목이 음수가 아닐 때 가장 큰 고유값이 존재하며, 이 고유값은 실수이고 양수이다. 이 가장 큰 고유값에 해당하는 고유 벡터의 v^{th} 구성 요소가 정점 v의 상대적인 중심성 점수가 된다. 고유 벡터는 정규화를 통해 절대적인 점수로 정의할 수 있다. 멱승법은 이 고유 벡터를 찾는 고유값 알고리즘 중 하나이다.[28]

4. 6. 카츠 중심성 (Katz Centrality)

'''카츠 중심성'''[29]은 [도수 중심성]의 일반화된 형태이다. 도수 중심성은 직접적인 이웃의 수만을 고려하지만, 카츠 중심성은 경로를 통해 연결될 수 있는 모든 노드의 수를 측정하며, 멀리 떨어진 노드의 영향력은 감소시킨다. 수학적으로 다음과 같이 정의된다.

:x_i = \sum_{k=1}^{\infin}\sum_{j=1}^N \alpha^k (A^k)_{ji}

여기서 \alpha(0,1) 범위의 감쇠 인자이다.

카츠 중심성은 [고유 벡터 중심성]의 변형으로 볼 수 있다. 카츠 중심성의 또 다른 형태는 다음과 같다.

:x_i = \alpha \sum_{j =1}^N a_{ij}(x_j+1).

고유 벡터 중심성의 표현식과 비교하면, x_jx_j+1.로 대체된다.

\alpha\tfrac{1}{\lambda}보다 작은 값으로 접근할 때 (인접 행렬인 A의 가장 큰 고유값과 관련된) 주 고유 벡터는 카츠 중심성의 극한값이다.[30]

4. 7. 페이지랭크 (PageRank)

페이지랭크는 다음 방정식을 만족한다.

:x_i = \alpha \sum_{j } a_{ji}\frac{x_j}{L(j)} + \frac{1-\alpha}{N},

여기서

:L(j) = \sum_{i} a_{ji}

는 노드 j의 이웃 수(또는 방향 그래프에서 발신 링크 수)이다. 고유벡터 중심성 및 카츠 중심성과 비교했을 때, 한 가지 주요 차이점은 스케일링 팩터 L(j)이다. 페이지랭크와 고유 벡터 중심성의 또 다른 차이점은 페이지랭크 벡터가 왼쪽 고유 벡터라는 것이다(요소 a_{ji}의 인덱스가 반전되어 있음에 유의).[31]

4. 8. 침투 중심성 (Percolation Centrality)

침투 중심성은 네트워크를 통한 전염 과정에서 특정 노드의 중요성을 측정하는 지표이다. 이 지표는 주어진 노드를 통과하는 '침투 경로'의 비율을 계산하여, 네트워크 전체의 전염에 얼마나 기여하는지를 나타낸다.[32] 여기서 '침투 경로'는 노드 쌍 간의 최단 경로이며, 소스 노드(전염의 시작점)는 전염된 상태이고, 대상 노드(전염의 도착점)는 전염되었거나, 전염되지 않았거나, 부분적으로 전염된 상태일 수 있다.

침투 중심성은 다음 수식으로 계산된다.

:PC^t(v)= \frac{1}{N-2}\sum_{s \neq v \neq r}\frac{\sigma_{sr}(v)}{\sigma_{sr}}\frac{{x^t}_s}{{\sum {[{x^t}_i}]}-{x^t}_v}

위 식에서 \sigma_{sr}는 노드 s에서 노드 r까지의 총 최단 경로 수이고, \sigma_{sr}(v)는 그 경로 중 노드 v를 통과하는 경로 수이다. {x^t}_i는 시간 t에서 노드 i의 침투(전염) 상태를 나타내며, {x^t}_i=0이면 비침투 상태, {x^t}_i=1이면 완전 침투 상태를 의미한다. 그 사이의 값은 부분 침투 상태를 나타낸다.

침투 경로에 부여되는 가중치는 소스 노드의 침투 수준에 따라 결정된다. 즉, 소스 노드의 침투 수준이 높을수록 해당 노드에서 시작하는 경로가 더 중요하다고 간주한다. 따라서 침투 수준이 높은 노드에서 시작하는 최단 경로 상에 있는 노드들은 네트워크 전염에 더 큰 영향을 미칠 가능성이 높다.

침투 중심성 계산은 Brandes의 빠른 알고리즘을 사용하여 효율적으로 수행할 수 있으며, O(NM) 시간이 소요된다. 대상 노드의 가중치까지 고려해야 하는 경우에는 계산 복잡도가 O(N^3)까지 증가할 수 있다.

4. 9. 교차 클리크 중심성 (Cross-clique Centrality)

'''교차 클리크 중심성'''은 복잡한 그래프에서 한 노드가 서로 다른 클리크에 얼마나 연결되어 있는지를 나타낸다. 교차 클리크 연결성이 높은 노드는 그래프에서 정보나 질병 확산에 중요한 역할을 한다.[33] 클리크는 하위 그래프의 한 종류로, 클리크 내의 모든 노드는 서로 연결되어 있다. |V|개의 정점과 |E|개의 간선을 가진 그래프 G:=(V,E)에서 노드 v의 교차 클리크 연결성은 X(v)로 나타낼 수 있다. 이 때 X(v)는 정점 v가 속한 클리크의 개수를 의미한다. 이 개념은 2013년 Faghani가 사용했지만[33], 1998년 Everett와 Borgatti가 처음 제안했으며, 그들은 이것을 클리크 중첩 중심성이라고 불렀다.

4. 10. 프리먼 집중도 (Freeman Centralization)

네트워크의 '''집중도'''는 가장 중심적인 노드가 다른 모든 노드와 비교하여 얼마나 중심적인지를 측정하는 지표이다.[34] 집중도 측정은 네트워크에서 가장 중심적인 노드와 다른 모든 노드 간의 중심성 차이의 합을 계산하고, 이 값을 동일한 크기의 모든 네트워크에서 이론적으로 가장 큰 차이의 합으로 나눈다.[34] 따라서 모든 중심성 측정은 자체적인 집중도 측정을 가질 수 있다. 린턴 프리먼이 이 개념을 제시했다.

공식적으로 정의하면, C_x(p_i)가 점 i의 임의의 중심성 측정이고, C_x(p_*)가 네트워크에서 가장 큰 측정값이며, 다음 식이 성립할 때:

:\max \sum_{i=1}^{N} (C_x(p_*)-C_x(p_i))

이는 동일한 노드 수를 가진 그래프에서 점 중심성 C_x의 가장 큰 차이의 합이므로, 네트워크의 집중도는 다음과 같다:[34]

:C_x=\frac{\sum_{i=1}^{N} (C_x(p_*)-C_x(p_i))}{\max \sum_{i=1}^{N} (C_x(p_*)-C_x(p_i))}.

그림으로 표현된 네트워크에서 녹색 노드와 빨간색 노드는 서로 이웃을 공유하지 않기 때문에 가장 유사하지 않다. 따라서 녹색 노드는 회색 노드보다 빨간색 노드의 중심성에 더 크게 기여한다. 빨간색 노드는 녹색 노드를 통해서만 파란색 노드에 접근할 수 있고, 회색 노드는 중간 노드 없이 각 회색 노드에 직접 접근할 수 있으므로 빨간색 노드에 대해 중복되기 때문이다.


주어진 네트워크의 노드 순위에서 더 나은 결과를 얻기 위해, [35]에서는 복잡한 네트워크의 중심성 측정을 풍부하게 하기 위해 분류데이터 마이닝 이론에 특정한 비유사성 측정값을 사용한다. 이는 고유값 문제를 해결하여 각 노드의 중심성을 계산하는 고유 벡터 중심성을 통해 설명된다.

:W\mathbf{c}=\lambda \mathbf{c}

여기서 W_{ij}=A_{ij}D_{ij} (좌표 간 곱)이고 D_{ij}는 비유사성 측정값을 통해 정의된 임의의 비유사성 행렬이다. 예를 들어, 다음과 같은 자카드 비유사성이 있다.

:D_{ij}=1-\dfrac



이 측정값은 각 노드가 주어진 노드의 중심성에 기여하는 정도(따라서 기여 중심성이라고 함)를 정량화할 수 있게 해준다. 비유사성이 클수록 가중치/관련성이 커지는데, 이는 주어진 노드가 직접 접근할 수 없는 노드에 접근할 수 있도록 해주기 때문이다.

WAD가 음이 아닌 행렬이므로 음이 아닌 값임을 주목할 필요가 있다. 따라서 위의 문제에 대해 '''c'''가 음이 아닌 경우 ''λ'' = ''λmax''에 대한 고유한 해가 있음을 보장하기 위해 페론-프로베니우스 정리를 사용할 수 있으며, 이를 통해 네트워크의 각 노드의 중심성을 추론할 수 있다. 따라서 i번째 노드의 중심성은 다음과 같다.

:c_i=\dfrac{1}{n}\sum_{j=1}^{n}W_{ij}c_{j}, \,\,\,\,\,\, i=1,\cdots,n

여기서 n은 네트워크의 노드 수이다. [36]에서 여러 비유사성 측정값과 네트워크를 테스트하여 연구된 경우에 개선된 결과를 얻었다.

5. 수송망에서의 중심성

수송망(교통망) 분석에는 일반적인 중심성 지표 외에도 수송 중심성(transport centrality영어)과 같이 특화된 중심성 지표가 활용된다.[37] 수송 중심성은 특정 노드를 통과하는 모든 경로의 비율을 고려하여, 네트워크 내 이동 흐름에 대한 노드의 중요성을 평가한다.

수송 중심성은 고려 대상 노드를 통과하는 네트워크 내 노드 쌍 간의 경로 비율 합계를 측정한다는 점에서 매개 중심성과 유사하다. 그러나 최단 경로만 고려하는 매개 중심성과 달리 수송 중심성은 노드 쌍 간의 모든 가능한 경로를 고려한다. 따라서 수송 중심성은 매개 중심성의 일반적인 버전이며, 특정 조건에서는 실제로 매개 중심성으로 축소된다.[37]

참조

[1] 논문 Network hubs in the human brain 2013-12
[2] 논문 Topological impact of negative links on the stability of resting-state brain network 2021-01
[3] 서적 Networks: An Introduction. Oxford University Press 2010
[4] 논문 Power and Centrality: A Family of Measures
[5] 논문 Centrality and Network Flow
[6] 논문 Eigenvector centrality for characterization of protein allosteric pathways
[7] 논문 A Graph-Theoretic Perspective on Centrality
[8] 논문 A matrix analysis of different centrality measures
[9] ArXiv
[10] 논문 On Authority Distributions in Organizations
[11] 논문 Sorting big data by revealed preference with application to college ranking
[12] 논문 Assessing the Political Landscape: Structure, Cognition, and Power in Organizations 1990-06
[13] 논문 Predicting epidemic outbreak from individual features of the spreaders
[14] 논문 Identifying influential spreaders and efficiently estimating infection numbers in epidemic models: A walk counting approach
[15] 논문 Epidemic centrality -- is there an underestimated epidemic impact of network peripheral nodes?
[16] 논문 Ranking stability and super-stable nodes in complex networks.
[17] 논문 Understanding the spreading power of all nodes in a network: a continuous-time perspective
[18] 문서 Centrality in social networks conceptual clarification. 1979
[19] 문서 Communication patterns in task-oriented groups. 1950
[20] 논문 The centrality index of a graph
[21] 논문 Linking the network centrality measures closeness and degree 2022
[22] 논문 Harmony in the small-world
[23] 논문 Conceptual Distance in Social Network Analysis http://www.cmu.edu/j[...] 2017-02-18
[24] 간행물 Closeness centrality extended to unconnected graphs: The harmonic centrality index http://infoscience.e[...] 2017-02-19
[25] 논문 A set of measures of centrality based upon betweenness
[26] 논문 A faster algorithm for betweenness centrality http://citeseer.ist.[...] 2011-10-11
[27] 백과사전 The mathematics of networks http://www-personal.[...] Springer 2006-11-09
[28] 웹사이트 How Google Finds Your Needle in the Web's Haystack http://www.ams.org/s[...] American Mathematical Society 2006-12
[29] 문서 A New Status Index Derived from Sociometric Index. 1953
[30] 논문 Simultaneous group and individual centralities
[31] 웹사이트 How does Google rank webpages? http://scenic.prince[...] 2012-01-31
[32] 논문 Percolation Centrality: Quantifying Graph-Theoretic Impact of Nodes during Percolation in Networks
[33] 논문 A Study of XSS Worm Propagation and Detection Mechanisms in Online Social Networks
[34] 논문 centrality in social networks: Conceptual clarification http://leonidzhukov.[...] 2014-07-31
[35] 논문 Eigencentrality based on dissimilarity measures reveals central nodes in complex networks 2015-11-25
[36] 웹사이트 Supplementary Information for Eigencentrality based on dissimilarity measures reveals central nodes in complex networks http://www.nature.co[...] Nature Publishing Group 2015-12-29
[37] 간행물 Transportation Centrality: Quantifying the Relative Importance of Nodes in Transportation Networks Based on Traffic Modeling 2023



본 사이트는 AI가 위키백과와 뉴스 기사,정부 간행물,학술 논문등을 바탕으로 정보를 가공하여 제공하는 백과사전형 서비스입니다.
모든 문서는 AI에 의해 자동 생성되며, CC BY-SA 4.0 라이선스에 따라 이용할 수 있습니다.
하지만, 위키백과나 뉴스 기사 자체에 오류, 부정확한 정보, 또는 가짜 뉴스가 포함될 수 있으며, AI는 이러한 내용을 완벽하게 걸러내지 못할 수 있습니다.
따라서 제공되는 정보에 일부 오류나 편향이 있을 수 있으므로, 중요한 정보는 반드시 다른 출처를 통해 교차 검증하시기 바랍니다.

문의하기 : help@durumis.com