맨위로가기

친핵성 방향족 치환

"오늘의AI위키"는 AI 기술로 일관성 있고 체계적인 최신 지식을 제공하는 혁신 플랫폼입니다.
"오늘의AI위키"의 AI를 통해 더욱 풍부하고 폭넓은 지식 경험을 누리세요.

1. 개요

친핵성 방향족 치환 반응은 방향족 고리에 친핵체가 치환되는 반응으로, 유기 화학에서 중요한 위치를 차지한다. 이 반응은 다양한 메커니즘을 통해 진행되며, SNAr, SN1, SRN1, 벤자인 메커니즘 등이 대표적이다. SNAr 메커니즘은 가장 일반적인 방식으로, 전자 끌기 그룹이 고리를 활성화하여 친핵성 공격을 용이하게 한다. SN1 메커니즘은 다이아조늄염에서, SRN1 메커니즘은 환원성이 높은 친핵체를 사용했을 때 나타나며, 벤자인 메커니즘은 강염기 조건에서 벤자인 중간체를 거쳐 반응이 진행된다. 친핵성 방향족 치환 반응은 의약품, 염료, 농약 등의 합성에 광범위하게 활용되며, 키랄 분자의 비대칭 합성에도 사용될 수 있다.

더 읽어볼만한 페이지

  • 반응 메커니즘 - 양성자화
    양성자화는 화학종이 양성자를 얻는 반응으로, 일반적으로 빠르고 가역적으로 진행되며, 효소 반응의 촉매 메커니즘에 관여한다.
  • 반응 메커니즘 - 탈양성자화
  • 치환 반응 - 탈카복실화
    탈카복실화는 유기화학 및 생화학에서 카복실산으로부터 이산화 탄소가 제거되는 반응으로, 유기화학에서는 수소 원자로 치환되며, 생화학에서는 아민 생합성 등 다양한 생체 반응에 관여한다.
  • 치환 반응 - 친전자성 방향족 치환
    친전자성 방향족 치환은 방향족 고리의 수소 원자가 친전자체로 치환되는 유기 반응으로, 아레니움 이온 중간체를 거쳐 진행되며, 벤젠 고리의 치환기는 반응 속도와 치환 위치에 영향을 미쳐 다양한 화학 제품 생산에 활용된다.
  • 유기 반응 - 열분해
    열분해는 고온에서 물질을 분해하는 과정으로, 다양한 산업과 에너지 분야에 활용되지만 안전 및 환경 문제도 고려해야 하며, 관련 분석 및 연구가 활발히 진행되고 있다.
  • 유기 반응 - 메틸화
    메틸화는 메틸기를 분자에 첨가하는 과정으로, 생물학에서 유전자 발현 조절 등 생명현상에 관여하고 유기화학에서 유기 합성에 활용되며, 다양한 생물종에 존재하는 중요한 생리적 과정이다.
친핵성 방향족 치환
반응 메커니즘
일반적인 친핵성 방향족 치환 반응
일반적인 친핵성 방향족 치환 반응
일반 정보
정의방향족 고리에서 친핵체에 의한 치환 반응
반응물방향족 화합물
친핵체
생성물치환된 방향족 화합물
관련 반응친전자성 방향족 치환 반응
친핵성 지방족 치환 반응
메커니즘
SNAr 메커니즘첨가-제거 메커니즘 (복합체 형성)
메커니즘 설명친핵체가 방향족 고리에 첨가되어 음이온성 중간체를 형성하고, 이어서 이탈기가 제거됨
SRN1 메커니즘라디칼-사슬 메커니즘 (단분자성 라디칼 친핵성 치환)
메커니즘 설명 (SRN1)1. 개시: 방향족 할라이드가 용매, 광 또는 금속에 의해 환원되어 음이온 라디칼이 됨.
2. 전파: 음이온 라디칼이 친핵체와 반응하여 새로운 라디칼 음이온과 라디칼이 생성됨.
3. 종료: 라디칼이 다른 라디칼과 결합하여 반응이 종료됨.
비케르스탁트 메커니즘이탈기가 고리에서 이탈한 후, 새로운 그룹이 다른 위치에서 첨가됨
아릴다이아조늄염 메커니즘SN1 유사 메커니즘으로 진행됨
반응 조건
활성화강한 친핵체 필요
전자 끄는 그룹 (EWG)이 고리에 존재해야 함
위치전자 끄는 그룹에 대해 오르토- 및 파라- 위치에서 반응이 더 잘 일어남
이탈기할로겐 (F, Cl, Br, I) 등이 좋은 이탈기임
촉매구리 염 (울만 반응) 등이 사용될 수 있음
영향 요인
친핵체 세기강한 친핵체일수록 반응 속도가 빠름
전자 끄는 그룹 (EWG)EWG가 많을수록 반응 속도가 빠름
이탈기 능력이탈기 능력이 좋을수록 반응 속도가 빠름 (F > Cl > Br > I)
용매극성 비양성자성 용매가 반응에 유리함
기타
역사친핵성 방향족 치환 반응은 19세기 후반부터 연구되어 옴
응용의약품, 농약, 염료 등 다양한 유기 화합물 합성에 사용됨

2. 역사

친핵성 방향족 치환 반응은 오랫동안 알려져 왔으며, 유기 화학에서 중요한 위치를 차지하고 있다. 1914년, 알렉세이 치치바빈은 피리딘과 소듐 아미드의 반응을 통해 2-아미노피리딘을 합성하는 치치바빈 반응을 발견했다.[6] 밤베르거 전위, 스마일스 전위, 샌드마이어 반응 등 다양한 종류의 친핵성 방향족 치환 반응이 알려져 있다.

3. 반응 메커니즘

방향족 고리는 여러 경로를 통해 친핵성 치환 반응을 겪는다. 대표적인 메커니즘은 다음과 같다.


  • '''SNAr''' (첨가-제거) 메커니즘
  • 방향족 SN1 메커니즘 (다이아조늄염과 관련)
  • 벤자인 메커니즘 (E1cB-AdN)
  • SRN1 메커니즘
  • ANRORC 메커니즘
  • 대리 친핵성 치환 반응


이들 중 SNAr 메커니즘이 가장 중요하다. 각 메커니즘에 대한 자세한 설명은 해당 하위 섹션을 참고한다.

ANRORC 메커니즘 외에 대리 친핵성 치환 반응(Vicarious Nucleophilic Substitution, VNS)도 알려져 있다. 신대치 친핵성 치환 반응(VNS)은 탄소 중심에 염소 등의 이탈기와 전자 끌개기를 갖는 카바니온(Cl-CH--EWG)이 방향족 니트로 화합물의 수소와 치환될 수 있는 메커니즘이다. 니트로기의 오르토 위치에 카바니온이 부가된 시그마 착체로부터 입소 수소와 이탈기가 이탈하고, 다시 방향족화하여 치환 생성물을 생성한다. 형식적으로는 친핵체 상의 이탈기가 신대가 되어 이탈함으로써 방향환상의 수소 음이온을 치환할 수 있게 된다[12].

몇 가지 전형적인 방향족 화합물 치환 반응의 예는 다음과 같다.

  • 밤베르거 전위 반응에서 N-페닐히드록실아민은 물을 친핵체로 하여 4-아미노페놀로 전위 반응을 한다.
  • 스마일스 전위는 이 반응 유형의 분자 내 반응이다.


친핵성 방향족 치환 반응은 방향족 화합물뿐만 아니라 헤테로고리 화합물과도 쉽게 반응한다. 특히 피리딘은 방향족 오르토 위치 또는 방향족 파라 위치에 치환될 때 반응성이 높은데, 이는 음전하가 질소 위치에서 효과적으로 비편재화되기 때문이다. 치치바빈 반응(알렉세이 치치바빈, 1914)은 피리딘이 소듐 아미드와 같은 알칼리 금속 아미드와 반응하여 2-아미노피리딘을 형성하는 대표적인 예이다.[6]

메틸 3-니트로피리딘-4-카르복실레이트 화합물에서 ''메타'' 니트로기는 플루오린에 의해 치환될 수 있으며, 이는 120 °C에서 DMSO에서 세슘 플루오라이드와 반응하여 일어난다.[7]

피리딘에서의 친핵성 방향족 치환

3. 1. SNAr (첨가-제거) 메커니즘

SNAr 메커니즘은 친핵성 방향족 치환 반응에서 가장 중요한 메커니즘이다. 전자 끌기 그룹은 친핵성 공격에 대해 방향족 고리를 활성화시킨다. 예를 들어, 니트로기가 할로젠화물 이탈 그룹에 오르토 또는 파라 위치에 있는 경우, SNAr 메커니즘이 선호된다.[2]

친핵성 방향족 치환


위의 그림은 2,4-다이니트로클로로벤젠의 염기성 수용액에서의 친핵성 방향족 치환 반응 메커니즘을 나타낸다.

니트로기는 친핵성 치환에 대한 활성화기이며 메타 배향기이므로, 방향족 화합물이 수산화물 친핵체에 의해 공격받을 때 추가적인 전자 밀도를 (공명을 통해) 안정화시킬 수 있다. 생성된 중간체는 마이젠하이머 착체('''2a''')라고 하며, ''입소'' 탄소는 일시적으로 하이드록실기와 결합한다. 이 마이젠하이머 착체는 추가적인 전자 끌기 니트로기('''2b''')에 의해 추가적으로 안정화된다.

더 낮은 에너지 상태로 돌아가기 위해, 하이드록실기가 떨어져 나가거나 염화물이 떨어진다. 용액에서 두 과정 모두 발생한다. 중간체의 작은 비율은 염화물을 잃어 생성물(2,4-다이니트로페놀, '''3''')이 되고, 나머지는 반응물('''1''')로 되돌아간다. 2,4-다이니트로페놀이 더 낮은 에너지 상태에 있으므로 반응물을 형성하기 위해 되돌아가지 않으므로, 시간이 지나면 반응은 2,4-다이니트로페놀을 선호하는 화학 평형에 도달하며, 이 물질은 염기성 용액에 의해 탈양성자화된다('''4''').

공명 구조로 안정화된 마이젠하이머 착체의 형성은 친핵성 공격으로 인한 방향족성 손실이 더 높은 에너지 상태를 초래하므로 느리다. 마찬가지로, 염화물 또는 수산화물의 손실은 고리가 방향족성을 되찾기 때문에 빠르다. 최근 연구에 따르면, 때로는 마이젠하이머 착체가 항상 진정한 중간체가 아니라 전자 끌기 그룹에 의한 안정화가 그다지 강하지 않은 경우 특히 '전면 SN2' 과정의 전이 상태일 수 있다.[2] 2019년 리뷰에서는 이러한 '협동적 SNAr' 반응이 이전에 추정했던 것보다 더 널리 퍼져 있다고 주장한다.[3]

아릴 할라이드는 전형적인 '후면' SN2 반응을 겪을 수 없다. 탄소 원자가 삼각 평면 기하학을 가지기 때문에 탄소-할로겐 결합은 고리의 평면에 있다. 후면 공격이 차단되므로 이 반응은 불가능하다.[4] SN1 반응은 가능하지만 매우 불리하다. 이것은 이탈기의 도움 없는 손실과 아릴 양이온의 형성을 포함할 것이다.[1] 니트로기는 가장 흔하게 나타나는 활성화기이며, 다른 그룹은 시아노아실 그룹이다.[5] 이탈기는 할로겐 또는 황화물일 수 있다. 전기음성도가 증가함에 따라 친핵성 공격에 대한 반응 속도가 증가한다.[5] 이는 SNAr 반응의 속도 결정 단계가 친핵체의 공격과 그에 따른 방향족 시스템의 파괴이기 때문이다. 더 빠른 과정은 이탈기 손실 후 방향족 시스템의 유리한 재형성이다. 따라서 SNAr에 대한 할로겐 이탈기의 능력과 관련하여 다음과 같은 패턴이 관찰된다: F > Cl ≈ Br > I (즉, SN2 반응에 예상되는 것과 반대 순서). SN2 반응의 관점에서 보면, C-F 결합이 유기 화학에서 가장 강한 결합 중 하나임에도 불구하고 플루오라이드가 C-F 결합의 극심한 극성 때문에 SNAr에 이상적인 이탈기이기 때문에 직관적이지 않은 것처럼 보일 것이다. 친핵체는 아민, 알콕사이드, 황화물 및 안정화된 카바니온일 수 있다.[5]

SNAr 메커니즘은 니트로기 등 전자 끌개를 갖는 방향족 할로겐화물이나 피리미딘 등 전자 결핍형 헤테로방향족 고리 할로겐화물에서 볼 수 있는 반응 메커니즘이다.

SNAr 메커니즘


SNAr 반응 메커니즘은 다음과 같다.

1. 할로겐이 결합된 탄소(입소 탄소)에 친핵체가 공격하여 부가체를 생성한다. 이 부가체를 "σ 착체"라고 부른다. 넓은 의미로는 "마이젠하이머 착체"라고도 부른다.

2. σ 착체에서 할로겐화물 이온이 탈리되어 치환 생성물을 생성한다.

기질이 갖는 전자 끌개는 중간체인 σ 착체의 전하를 비편재화하여 안정화시키는 역할을 한다. 할로겐의 반응성은 속도 결정 단계에 따라 다르다. 친핵체의 부가가 속도 결정 단계인 경우 F > Cl > Br, I 순으로 입체 장애가 작은 기질이 유리하며, 할로겐화물 이온의 탈리가 속도 결정 단계인 경우에는 I > Br > Cl > F 순으로 탄소-할로겐 결합이 약한 기질이 유리하다.

SNAr 반응은 부가-탈리라는 단계적인 메커니즘으로 진행된다고 생각되었지만, 전형적인 SNAr 반응은 단계적이 아니라 협동적으로 진행된다는 것이 속도론적 동위원소 효과와 계산을 통해 제시되었다.[10][11]

3. 2. SN1 (단분자 친핵성 치환) 메커니즘

SN1 메커니즘은 지방족 기질에서는 흔하지만, 방향족의 경우에는 다이아조늄염에만 국한된 메커니즘이다. 기질에서 질소가 이탈하여 아릴 양이온이 생성되고, 친핵체가 포획하여 치환 생성물을 제공한다.

SN1 메커니즘


이 메커니즘이 드문 이유는, sp2 탄소 상의 양이온이 sp3 탄소 상의 것보다 불안정하여 생성되기 어렵기 때문이다.

디아조늄 화합물을 기질로 하는 인명 반응 중, 시이만 반응의 메커니즘은 SN1 메커니즘에 가깝다. 잔트마이어 반응은 아릴 라디칼 또는 그 구리 착체를 경유하는 것으로 생각된다.

3. 3. SRN1 (라디칼-친핵성 방향족 치환) 메커니즘

SRN1 반응은 티올레이트(RS⁻) 등 환원성이 높은 친핵체를 사용했을 때 나타나는 연쇄 반응 메커니즘이다.[8] 각 단계는 다음과 같다.

# Ar-X + Nu⁻ → [Ar-X]⁻• + Nu•

# [Ar-X]⁻• → [Ar•] + X⁻

# [Ar•] + Nu⁻ → [Ar-Nu]⁻•

# [Ar-Nu]⁻• + Ar-X → Ar-Nu + [Ar-X]⁻•

우선 친핵체가 환원제 역할을 하여 기질에 전자를 전달해 라디칼 음이온을 형성한다. 이 과정에서 친핵체는 라디칼이 되어 떨어져 나간다.[8] 그 후, 라디칼 음이온에서 할로젠화물 이온이 떨어져 나가 아릴 라디칼을 생성한다. 아릴 라디칼은 다른 친핵체와 결합하여 새로운 라디칼 음이온을 형성하고, 이 라디칼 음이온은 다른 기질에 전자를 전달하여 생성물을 형성한다. 전자를 받은 기질은 다시 라디칼 음이온이 되어 (2. → 3. → 4. → 2. → ...) 반응 사이클을 형성한다.[8]

SRN1 반응에서 할로젠의 반응성은 I > Br >> Cl 순이며, 플루오린 화합물은 거의 반응하지 않는다.[8]

3. 4. 벤자인 (Benzyne) 메커니즘

벤자인 메커니즘은 강한 염기 조건에서 할로겐화 방향족 화합물이 반응할 때 나타난다. 이 메커니즘은 강염기에 의해 할로겐화 아릴에서 할로겐화 수소가 제거되어 벤자인 중간체를 형성하는 단계와, 벤자인에 친핵체가 첨가되는 단계로 이루어진다. 벤자인은 반응성이 매우 높은 중간체이다. 플루오로벤젠이나 클로로벤젠 등 위 반응 메커니즘에서 불활성인 기질에 강염기를 작용시키면 벤자인이 발생한다. 여기에 친핵체가 부가되면 할로겐이 치환된 생성물을 얻을 수 있다.

클로로벤젠에서 벤자인을 거쳐 아닐린으로


예를 들어 액체 암모니아 중에서 클로로벤젠에 금속 아미드를 작용시키면 아닐린으로 변한다. 이때 아미노기가 결합한 탄소는 원래 염소가 결합했던 탄소 또는 그 옆(오르토 위치)의 탄소가 된다.

3. 5. 기타 메커니즘

ANRORC 메커니즘과 대리 친핵성 치환 반응(Vicarious Nucleophilic Substitution, VNS)이 있다.

신대치 친핵성 치환 반응(VNS)은 탄소 중심에 염소 등의 이탈기와 전자 끌개기를 갖는 카바니온(Cl-CH--EWG)이 방향족 니트로 화합물의 수소와 치환될 수 있는 메커니즘이다. 니트로기의 오르토 위치에 카바니온이 부가된 시그마 착체로부터 입소 수소와 이탈기가 이탈하고, 다시 방향족화하여 치환 생성물을 생성한다. 형식적으로는 친핵체 상의 이탈기가 신대가 되어 이탈함으로써 방향환상의 수소 음이온을 치환할 수 있게 된다[12].

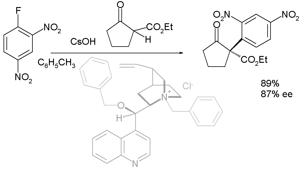
4. 반응의 활용

탄소 친핵체(예: 1,3-다이카보닐 화합물)를 이용한 친핵성 방향족 치환 반응은 키랄 분자의 비대칭 합성 방법으로 입증되었다.[9] 2005년에 처음 보고된 이 유기 촉매는 상 이동 촉매 역할도 겸하며, 신코니딘(벤질로 N과 O가 치환됨)에서 파생된다.

비대칭 친핵성 방향족 치환

참조

[1] 서적 Organic Chemistry https://global.oup.c[...] Oxford University Press 2012-03-15
[2] 논문 Concerted nucleophilic aromatic substitution with (19)F(-) and (18)F(-) 2016-06
[3] 논문 Concerted Nucleophilic Aromatic Substitution Reactions 2019-11
[4] 서적 Organic Chemistry Oxford University Press
[5] 논문 Nucleophilic Aromatic Substitution Addition and Identification of an Amine. 2017-09
[6] 서적 Advanced Organic Chemistry, Reactions, Mechanisms and Structure
[7] 논문 A simple synthetic route to methyl 3-fluoropyridine-4-carboxylate by nucleophilic aromatic substitution 2006-02
[8] 논문 The Mechanism of the Sandmeyer and Meerwein Reactions
[9] 논문 Organocatalytic regio- and asymmetric C-selective S(N)Ar reactions-stereoselective synthesis of optically active spiro-pyrrolidone-3,3'-oxoindoles 2005-03
[10] 논문 Concerted nucleophilic aromatic substitution with 19F− and 18F−
[11] 논문 Concerted nucleophilic aromatic substitutions
[12] 간행물 March's Advanced Organic Chemistry WILEY



본 사이트는 AI가 위키백과와 뉴스 기사,정부 간행물,학술 논문등을 바탕으로 정보를 가공하여 제공하는 백과사전형 서비스입니다.
모든 문서는 AI에 의해 자동 생성되며, CC BY-SA 4.0 라이선스에 따라 이용할 수 있습니다.
하지만, 위키백과나 뉴스 기사 자체에 오류, 부정확한 정보, 또는 가짜 뉴스가 포함될 수 있으며, AI는 이러한 내용을 완벽하게 걸러내지 못할 수 있습니다.
따라서 제공되는 정보에 일부 오류나 편향이 있을 수 있으므로, 중요한 정보는 반드시 다른 출처를 통해 교차 검증하시기 바랍니다.

문의하기 : help@durumis.com