큐베인
"오늘의AI위키"의 AI를 통해 더욱 풍부하고 폭넓은 지식 경험을 누리세요.
1. 개요
큐베인은 탄소 원자 8개가 정육면체의 각 꼭짓점에 위치하고, 각 탄소 원자에 수소 원자 하나가 결합된 구조를 가진 유기 화합물이다. 1964년 필립 이튼 연구팀에 의해 최초로 합성되었으며, 매우 불안정하여 합성이 어려울 것으로 여겨졌으나, 2-사이클로펜텐온을 이용한 다단계 반응을 통해 성공했다. 큐베인은 높은 변형 에너지와 밀도를 가지며, 옥타니트로큐베인과 같은 유도체는 고에너지 물질로, 큐베인 폴리머는 튼튼한 섬유로 활용될 수 있다. 또한 규소, 게르마늄, 주석과 같은 탄소족 원소로 이루어진 큐베인 유사체도 합성되었다.
더 읽어볼만한 페이지
- 여러 고리 비방향족 탄화수소 - 도데카헤드레인
도데카헤드레인은 20개의 탄소 원자가 정십이면체를 이루는 화학 물질로, sp3 혼성 오비탈을 가진 탄소 원자들이 108°의 C-C 결합 각도를 가지며, 다양한 유도체 형성과 내부 공간에 원자 내포가 가능하다. - 다섯고리 화합물 - 레지스토마이신
- 사이클로뷰테인 - 베타-피넨
베타-피넨은 큐민, 홉, 지중해소나무 등 다양한 식물에서 발견되는 천연 유기 화합물로, 가열을 통해 미르센으로 변환되거나 포름알데히드와 반응하여 방향족 화합물 생산에 활용된다. - 사이클로뷰테인 - 카보플라틴
카보플라틴은 DNA 결합을 통해 암세포 성장을 억제하는 항암제로, 난소암, 폐암 등 다양한 암 치료에 사용되며 시스플라틴과 유사하나 부작용이 적은 편으로 골수 억제, 메스꺼움 등의 부작용이 있을 수 있다.
큐베인 - [화학 물질]에 관한 문서 | |
---|---|
기본 정보 | |
![]() | |
![]() | |
IUPAC 명칭 | 큐베인 |
계통명 | 펜타사이클로[4.2.0.0^2,5.0^3,8.0^4,7]옥테인 |
식별 정보 | |
CAS 등록번호 | 277-10-1 |
ChEBI | 33014 |
ChemSpider ID | 119867 |
PubChem CID | 136090 |
UNII | Z5HM0Q7DK1 |
SMILES | C12C3C4C1C5C2C3C45 |
InChI | 1S/C8H8/c1-2-5-3(1)7-4(1)6(2)8(5)7/h1-8H |
InChIKey | TXWRERCHRDBNLG-UHFFFAOYAL |
특성 | |
분자식 | C₈H₈ |
몰 질량 | 104.15 g/mol |
밀도 | 1.29 g/cm³ |
외관 | 투명한 결정성 고체 |
녹는점 | 133.5 °C |
끓는점 | 161.6 °C |
관련 화합물 | |
기타 탄화수소 | 큐네안 도데카헤드레인 테트라헤드레인 프리즈메인 프리즈메인 C8 |
관련 화합물 | 옥타플루오로큐베인 옥타니트로큐베인 옥타아자큐베인 옥타실라큐베인 |
2. 역사
큐베인은 탄소 원자 간의 결합각이 90°에 가깝고, sp3 탄소의 이상적인 109.5°에서 크게 벗어나기 때문에 변형 에너지가 크다. 따라서 매우 불안정한 화합물로 여겨져 합성이 불가능하다고 생각되었으나, 1964년에 시카고 대학교의 필립 이튼(Philip Eaton)에 의해 최초로 합성이 달성되었다.[24]
1964년, 시카고 대학교의 필립 이튼(Philip Eaton) 연구팀은 2-사이클로펜텐온에서 시작하는 다단계 반응을 통해 큐베인을 최초로 합성하는 데 성공하였으며, 이 합성은 유기화학 역사에 중요한 이정표로 기록되었다.
최초 합성 이후, 큐베인 및 그 유도체를 합성하기 위한 다양한 합성법이 개발되었다.
2. 1. 합성 이전
큐베인은 탄소 원자 간의 결합각이 90°에 가깝고, sp3 탄소의 이상적인 109.5°에서 크게 벗어나기 때문에 변형 에너지가 크다. 따라서 매우 불안정한 화합물로 여겨져 합성이 불가능하다고 생각되었으나, 1964년에 시카고 대학교의 교수 필립 이튼(Philip Eaton)에 의해 최초로 합성이 달성되었다.[24]2. 2. 최초 합성 (1964)
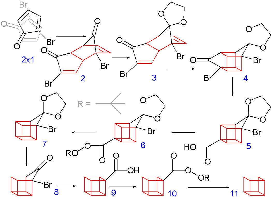
1964년, 시카고 대학교의 필립 이튼(Philip Eaton) 연구팀은 2-사이클로펜텐온에서 시작하는 다단계 반응을 통해 큐베인을 최초로 합성하는 데 성공하였다. 이 합성은 유기화학 역사에 중요한 이정표로 기록되었다. 이튼의 합성법은 2-브로모사이클로펜타디에논의 Diels-Alder 이합체화, 광화학적 [2+2] 고리화 첨가 반응, Favorskii 전위 반응 등을 포함하는 복잡한 과정이다.
8개의 탄소로 이루어진 큐베인 골격은 2-브로모사이클로펜타디에논이 자발적인 Diels-Alder 이합체화를 거치면서 시작된다. 엔도 이성질체 중 한개의 케탈은 그 후 수성 염산으로 선택적으로 탈보호 된다.
다음 단계에서, ''엔도'' 이성질체 (두 개의 알켄 그룹이 근접해 있음)은 광화학적(photochemical) [2+2] 고리 첨가 반응을 통해 케이지 형태의 이성질체를 형성한다. 할로케톤(bromoketone) 그룹은 수산화 칼륨으로 Favorskii 전위 반응을 통해 고리 축소 카르복실산으로 변환된다. 다음으로, 열적 탈카르복실화는 염화 티오닐을 이용한 산 염화물과 tert-부틸(''tert''-butyl) 과산 에스터를 거쳐 진행되며, 그 후 아세탈은 다시 제거된다. 두 번째 파보르스키 전위 반응으로 생성되고, 최종적으로 또 다른 탈카르복실화 반응을 통해 큐베인이 생성된다.
좀 더 접근하기 쉬운 큐베인 합성법은 사이클로펜탄온(cyclopentanone)의 에틸렌 케탈의 브롬화 반응을 통해 트리브로모사이클로펜탄온 유도체를 얻는 방법이 있다. 후속 단계는 탈수소브롬화, Diels-Alder 이량체화 등을 포함한다.[6][7]
결과적으로 생성된 큐베인-1,4-다이카르복실산은 다른 치환된 큐베인을 합성하는 데 사용된다. 큐베인 자체는 티오하이드록사메이트 에스터(바턴 탈카르복실화)의 광화학적 탈카르복실화 반응으로 거의 정량적으로 얻을 수 있다.[8]
2. 3. 다양한 합성법 개발
최초 합성 이후, 큐베인 및 그 유도체를 합성하기 위한 다양한 합성법이 개발되었다. 특히, 사이클로펜탄온 유도체를 이용한 보다 간편한 합성법이 개발되어 큐베인 연구를 가속화했다.[6][7]결과적으로 생성된 큐베인-1,4-다이카르복실산은 다른 치환된 큐베인을 합성하는 데 사용된다. 큐베인 자체는 티오하이드록사메이트 에스터(바턴 탈카르복실화)의 광화학적 탈카르복실화 반응으로 거의 정량적으로 얻을 수 있다.[8]
3. 구조 및 성질
무색 투명한 결정으로, 녹는점은 130°C~131°C이며, 220°C 이상에서 분해된다. 큐베인은 Platonic_hydrocarbons|플라톤 입체 탄화수소영어의 하나로, 프리즈만류의 일원이다.[22] 탄소 외에도 탄소족 원소인 규소, 게르마늄, 주석 등에서도 큐베인과 같은 입방체 분자가 합성되고 있다. 다만, 이러한 원소 간의 결합은 산소 등과 반응하기 쉬우므로, 주위를 큰 치환기로 덮음으로써 비로소 안정하게 추출하는 것이 가능해졌다. 예로 옥타테킬옥타실라큐베인(Si8(Me2CHCMe2)8)이 있다.[23]
3. 1. 독특한 구조
큐베인은 8개의 탄소 원자가 정육면체 꼭짓점에 위치하고, 각 탄소 원자에 수소 원자가 하나씩 결합된 구조를 갖는다. 탄소 원자 간 결합각은 이상적인 sp³ 혼성 탄소의 결합각(109.5°)에서 크게 벗어난 약 90°를 이룬다. 변형 에너지는 166kcal/mol[22]로 꽤 변형된 골격 때문에, 큰 에너지를 내포하고 있다.3. 2. 높은 변형 에너지
큐베인은 변형 에너지가 166 kcal/mol[22]로 매우 커서 큰 에너지를 가지고 있다. 탄화수소 중에서도 밀도가 가장 높아, 고밀도, 고에너지 연료로서의 유용성이 연구되고 있다.3. 3. 안정성
무색 투명한 결정으로, 녹는점은 130–131 ℃이며 220 ℃ 이상에서 분해된다. 큐베인은 프리즈만류의 일원이자 Platonic_hydrocarbons|플라톤 입체 탄화수소영어 중 하나이다. 변형 에너지가 166kcal/mol[22]로 꽤 변형된 골격 때문에, 큰 에너지를 내포하고 있다.3. 4. 물리적 성질
무색 투명한 결정으로, 녹는점은 130°C~131°C이며, 220°C 이상에서 분해된다. 큐베인은 Platonic_hydrocarbons|플라톤 입체 탄화수소영어의 하나로, 프리즈만류의 일원이다. 변형 에너지가 166 kcal/mol[22]로 꽤 변형된 골격 때문에, 큰 에너지를 내포하고 있다. 탄화수소 중에서도 밀도가 최대이므로, 고밀도, 고에너지 연료로서의 유용성이 모색되고 있다.4. 유도체
1962년 프리드먼은 테트라페닐사이클로부타디엔 니켈 브로마이드로부터 옥타페닐 유도체를 합성하였는데, 이는 큐베인보다 먼저 합성된 것이다. 이 유도체는 425–427 °C에서 녹는, 약간 용해되는 무색 화합물이다. 2014년 간행물에서는 하이퍼큐브와 유사한 구조를 가진 하이퍼큐베인의 존재가 예측되었다.[9][10]
큐벤의 두 가지 이성질체가 합성되었으며, 세 번째 이성질체는 계산적으로 분석되었다. ''ortho''-큐베인의 알켄은 피라미드화된 기하학으로 인해 예외적으로 반응성이 높다. 합성 당시, 이것은 만들어진 알켄 중 가장 피라미드화된 알켄이었다.[11] ''meta''-큐베인 이성질체는 훨씬 덜 안정하며, ''para''-큐베인 이성질체는 실제 대각선 결합보다는 라디칼로만 존재할 가능성이 높다.[12]
4. 1. 옥타니트로큐베인
큐베인의 8개 수소 원자를 모두 니트로기(-NO₂)로 치환한 옥타니트로큐베인은 이론상 가장 강력한 폭약 중 하나로 알려져 있다.[25] 하지만 합성 비용이 매우 비싸고, 합성이 어려워 실용화에는 어려움이 있다.4. 2. 옥타플루오로큐베인
2022년 헵타플루오로큐베인과 옥타플루오로큐베인이 합성되었다.[13] 옥타플루오로큐베인은 특이한 전자 구조를 가져 이론적인 관심을 받았으며,[14] 이는 큐브 내부에 갇힌 자유 전자를 가진 감지 가능한 음이온 로 환원될 수 있다는 점에서, 사실상 세계에서 가장 작은 상자가 된다는 것을 의미한다.[15]4. 3. 기타 유도체
1962년 프리드먼은 테트라페닐사이클로부타디엔 니켈 브로마이드로부터 옥타페닐 유도체를 합성하였는데, 이는 큐베인보다 먼저 합성된 것이다. 이 유도체는 425–427 °C에서 녹는, 약간 용해되는 무색 화합물이다.큐벤의 두 가지 이성질체가 합성되었으며, 세 번째 이성질체는 계산적으로 분석되었다. ''ortho''-큐베인의 알켄은 피라미드화된 기하학으로 인해 예외적으로 반응성이 높다. 합성 당시, 이것은 만들어진 알켄 중 가장 피라미드화된 알켄이었다.[11] ''meta''-큐베인 이성질체는 훨씬 덜 안정하며, ''para''-큐베인 이성질체는 실제 대각선 결합보다는 라디칼로만 존재할 가능성이 높다.[12]
2022년에는 헵타플루오로큐베인과 옥타플루오로큐베인이 모두 합성되었다.[13] 옥타플루오로큐베인은 특이한 전자 구조로 인해 이론적인 관심의 대상이 되었으며,[14] 이는 큐브 내부에 갇힌 자유 전자를 가진 감지 가능한 음이온로의 환원에 대한 감수성으로 나타나, 사실상 세계에서 가장 작은 상자가 된다는 것을 의미한다.[15]
큐베인(1,2-데히드로큐베인)과 1,4-큐베인다이일(1,4-데히드로큐베인)은 모두 매우 큰 변형을 가진 화합물이며, 둘 다 매우 빠르게 친핵성 첨가 반응을 겪기 때문에, 화학자들은 큐빌큐베인을 합성할 수 있었다. X선 회절 구조 해법은 중심 큐빌큐베인 결합이 매우 짧다(1.458 Å)는 것을 보여주며, 이는 전형적인 C-C 단일 결합(1.578 Å)보다 훨씬 짧다. 이것은 큐베인의 외부 고리 궤도가 s가 풍부하고 핵에 가깝다는 사실에 기인한다.[16]
시카고 대학교의 화학자들은 일련의 [n]큐빌큐베인 올리고머를 제조할 수 있도록 시퀀스를 확장하고 수정했다.[17] [n]큐빌큐베인은 특별한 UV 투과성을 가진 액정을 만들 수 있다는 점에서 유망한 강성 분자 막대이다. 연결된 큐베인 단위 수가 증가함에 따라 [n]큐빌큐베인의 용해도가 급격히 감소한다. 그 결과, 제한된 사슬 길이(최대 40 단위)만이 용액에서 합성되었다. [n]큐빌큐베인의 골격은 여전히 엄청나게 변형된 탄소 큐브로 구성되어 있어 안정성을 제한한다. 반대로, 펜실베이니아 주립 대학교의 연구원들은 고체상 반응으로 합성된 폴리큐베인이 100% sp3 탄소로 결합되어 있으며 사면체 각도(109.5°)를 가지고 있으며 뛰어난 광학적 특성(높은 굴절률)을 나타낸다는 것을 보여주었다.[18]
5. 반응
큐베인은 높은 변형 에너지 때문에 다양한 반응을 일으킬 수 있다. 금속 이온 촉매를 이용한 σ 결합 재배열 반응을 통해 큐난을 생성할 수 있다.
로듐 촉매 하에서 ''syn''-트리시클로옥타디엔을 거쳐 사이클로옥타테트라엔으로 변환될 수 있다.[19]
6. 응용
- 의약품: 큐베인은 벤젠의 생물학적 등가체로 활용될 수 있다.[25]
- 재료 과학: 큐베인을 다수 연결한 폴리머는 매우 튼튼한 섬유로 활용될 수 있다.[25] 큐베인 유도체는 특이한 광학적, 전기적 성질을 가지는데, [n]큐빌큐베인은 특별한 UV 투과성을 가진 액정을 만들 수 있다는 점에서 유망한 강성 분자 막대이다. 펜실베이니아 주립 대학교의 연구원들은 고체상 반응으로 합성된 폴리큐베인이 100% sp3 탄소로 결합되어 있으며 사면체 각도(109.5°)를 가지고 있으며 뛰어난 광학적 특성(높은 굴절률)을 나타낸다는 것을 보여주었다.[18]
6. 1. 고에너지 물질
옥타니트로큐베인은 이론상 가장 강력한 폭약으로 여겨지지만, 현재 합성 비용과 노력이 많이 소요되어 실용적이지 않다.[25]6. 2. 의약품
큐베인은 벤젠의 생물학적 등가체로 활용될 수 있다고 여겨진다.[25]6. 3. 재료 과학
큐베인은 다수 연결한 폴리머는 매우 튼튼한 섬유로 활용될 수 있다.[25] 큐베인 유도체는 특이한 광학적, 전기적 성질을 가지는데, [n]큐빌큐베인은 특별한 UV 투과성을 가진 액정을 만들 수 있다는 점에서 유망한 강성 분자 막대이다. 펜실베이니아 주립 대학교의 연구원들은 고체상 반응으로 합성된 폴리큐베인이 100% sp3 탄소로 결합되어 있으며 사면체 각도(109.5°)를 가지고 있으며 뛰어난 광학적 특성(높은 굴절률)을 나타낸다는 것을 보여주었다.[18]큐베인의 8개 수소 원자를 모두 니트로화한 옥타니트로큐베인은 현재 이론상 가장 강력한 폭약으로 여겨지지만, 현 단계에서는 합성하는 데 상당한 비용과 노력이 소요되어 실용적이지 않다.
7. 비탄소 큐베인 유사체
탄소 외에도 탄소족 원소인 규소, 게르마늄, 주석 등에서도 큐베인과 같은 입방체 분자가 합성되고 있다. 다만, 이러한 원소 간의 결합은 산소 등과 반응하기 쉬우므로, 주위를 큰 치환기로 덮음으로써 비로소 안정하게 추출하는 것이 가능해졌다. 예로 옥타테킬옥타실라큐베인(octathexyloctasilacubane, Si8(Me2CHCMe2)8)이 있다.[23]
참조
[1]
서적
Nomenclature of Organic Chemistry : IUPAC Recommendations and Preferred Names 2013 (Blue Book)
The Royal Society of Chemistry
2014
[2]
웹사이트
Start
https://www.ch.ic.ac[...]
[3]
서적
Approach to Chemistry: Lectures and Workshop Reports of the ... Summer School for Chemistry Teachers
https://books.google[...]
The University
1963
[4]
서적
Chemistry: The Molecular Science
https://books.google[...]
Harcourt College Publishers
2002
[5]
저널
General access to cubanes as benzene bioisosteres
https://www.nature.c[...]
2023-06
[6]
저널
Dimethyl Cubane-1,4-dicarboxylate: A Practical Laboratory Scale Synthesis
[7]
웹사이트
Cubane Derivatives for Propellant Applications
https://apps.dtic.mi[...]
1989-07
[8]
저널
Cubane: Ausgangsverbindungen für die Chemie der neunziger Jahre und des nächsten Jahrhunderts
https://onlinelibrar[...]
1992
[9]
저널
Hypercubane: DFT-based prediction of an ''Oh''-symmetric double-shell hydrocarbon
2014
[10]
웹사이트
Hypercubane: DFT-based prediction of an Oh-symmetric double-shell hydrocarbon
http://www.compchemh[...]
[11]
저널
Cubene (1,2-dehydrocubane)
[12]
서적
Strained Hydrocarbons
https://archive.org/[...]
Wiley
[13]
저널
Electron in a cube: Synthesis and characterization of perfluorocubane as an electron acceptor
2022-08
[14]
저널
Substituent effects in cubane and hypercubane: a DFT and QTAIM study
2017
[15]
저널
Perfluorocubane-a tiny electron guzzler
https://hal.science/[...]
2022-08
[16]
저널
X-ray structures of cubylcubane and 2-tert-butylcubylcubane: short cage-cage bonds
1988-10-01
[17]
저널
Cubanes: Starting Materials for the Chemistry of the 1990s and the New Century
1992
[18]
저널
Nanoarchitecture through Strained Molecules: Cubane-Derived Scaffolds and the Smallest Carbon Nanothreads
2020-01-21
[19]
저널
Catalysis of symmetry-restricted reactions by transition metal compounds. Valence isomerization of cubane
https://pubs.acs.org[...]
1970
[20]
서적
Nomenclature of Organic Chemistry : IUPAC Recommendations and Preferred Names 2013 (Blue Book)
The Royal Society of Chemistry
2014
[21]
저널
Cubane: 50 years later
[22]
서적
ボルハルト・ショアー現代有機化学(第8版)
化学同人
[23]
저널
オクタシラキュバンの化学
有機合成化学協会
2004
[24]
저널
Cubane
[25]
웹사이트
サイコロを作ろう!
https://www.chem-sta[...]
Chem-Station
2021-11-28
[26]
서적
Nomenclature of Organic Chemistry : IUPAC Recommendations and Preferred Names 2013 (Blue Book)
The Royal Society of Chemistry
2014
[27]
저널
Cubane: 50 years later
[28]
웹인용
2004 IUPAC 안내서
http://www.iupac.org[...]
2008-05-30
[29]
웹인용
MSDS
http://msds.chem.ox.[...]
2010-11-03
본 사이트는 AI가 위키백과와 뉴스 기사,정부 간행물,학술 논문등을 바탕으로 정보를 가공하여 제공하는 백과사전형 서비스입니다.
모든 문서는 AI에 의해 자동 생성되며, CC BY-SA 4.0 라이선스에 따라 이용할 수 있습니다.
하지만, 위키백과나 뉴스 기사 자체에 오류, 부정확한 정보, 또는 가짜 뉴스가 포함될 수 있으며, AI는 이러한 내용을 완벽하게 걸러내지 못할 수 있습니다.
따라서 제공되는 정보에 일부 오류나 편향이 있을 수 있으므로, 중요한 정보는 반드시 다른 출처를 통해 교차 검증하시기 바랍니다.
문의하기 : help@durumis.com