메틴기
"오늘의AI위키"의 AI를 통해 더욱 풍부하고 폭넓은 지식 경험을 누리세요.
1. 개요
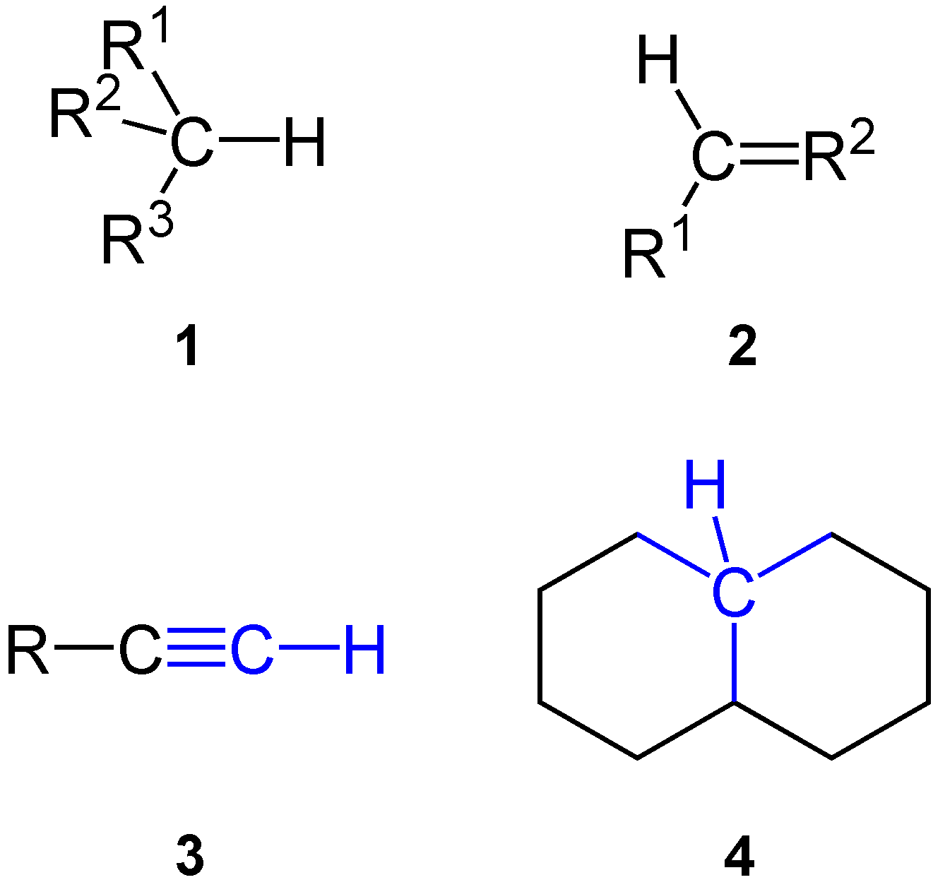
메틴기는 탄소 원자에 수소 원자 하나가 결합된 작용기이며, >CH-, =CH-, 또는 ≡CH 형태로 표시된다. 두 개 이상의 메틴기가 겹쳐 단일 결합과 이중 결합이 번갈아 연결된 탄소 원자 사슬이나 고리를 형성할 수 있으며, 이러한 구조는 공액계를 형성하여 방향족 특성을 부여하기도 한다. 메틴기가 2개 이상의 전자 끌개에 결합된 경우 메틴 탄소상의 수소 산성도가 높아지며, 이러한 화합물을 활성 메틴 화합물이라고 한다.
더 읽어볼만한 페이지
| 메틴기 | |
|---|---|
| 화학 정보 | |
| 화학식 | CH |
| 분자량 | 13.0186 ± 0.0024 g/mol |
| IUPAC명 | 메틸리딘 |
| 다른 이름 | 메틸리딘 라디칼 |
| SMILES | [CH] |
| CAS 등록 번호 | 7624-05-7 |
2. 구조
메틴기는 >CH-, =CH-, 또는 ≡CH 형태로 표시된다. 각각 결합된 원자가 3개, 2개, 1개인 경우이다. ≡CH 형태는 '''메티리딘기'''(methylidyne group)라고 불리기도 한다.
두 개 이상의 메틴 가교가 겹쳐져 단일 결합과 이중 결합이 번갈아 연결된 탄소 원자 사슬이나 고리를 형성할 수 있는데, 이는 파이페릴렌과 같다.
활성 메틸렌 화합물처럼 메틴기가 2개 이상의 전자 끌개에 결합된 경우 메틴 탄소상의 수소 산성도가 높아진다. 이러한 화합물을 "활성 메틴 화합물"이라고 부른다.[1]
[1]
웹사이트
Methanylylidene group''
http://www.ebi.ac.uk[...]
2007

두 개 이상의 메틴 가교가 겹쳐져 단일 결합과 이중 결합이 번갈아 연결된 탄소 원자 사슬이나 고리를 형성할 수 있는데, 이는 파이페릴렌piperylene|파이페릴렌영어 또는 다음 화합물과 같다.
이 분자의 모든 탄소 원자는 메틴 탄소 원자이지만, 3개는 예외이다. 두 개의 질소 원자에 연결되고 수소 원자에 연결되지 않은 두 개와, 두 개의 수소 원자에 연결된 질소 원자에 연결된 탄소(가장 오른쪽)가 그것이다. 이 분자 중앙에는 5개의 탄소 원자로 이루어진 폴리메틴 사슬이 있다.
단일 결합과 이중 결합이 번갈아 가며 연결된 사슬은 종종 공액계를 형성한다. 벤젠처럼 닫혀있을 경우, 이들은 종종 화합물에 방향족 특성을 부여한다.
3. 겹치는 메틴기
위 그림의 분자에서 모든 탄소 원자는 메틴 탄소 원자이지만, 3개는 예외이다. 두 개의 질소 원자에 연결되고 수소 원자에 연결되지 않은 두 개와, 두 개의 수소 원자에 연결된 질소 원자에 연결된 탄소(가장 오른쪽)가 그것이다. 이 분자 중앙에는 5개의 탄소 원자로 이루어진 폴리메틴 사슬이 있다.
단일 결합과 이중 결합이 번갈아 가며 연결된 사슬은 종종 공액계를 형성한다. 벤젠처럼 닫혀있을 경우, 이들은 종종 화합물에 방향족 특성을 부여한다.
4. 활성 메틴 화합물
참조
[2]
간행물
Methanetriyl group
http://www.ebi.ac.uk[...]
Chemical Entities of Biological Interest (ChEBI) database
2007
[3]
간행물
Methanylylidene group
http://www.ebi.ac.uk[...]
Chemical Entities of Biological Interest (ChEBI) database
2007
본 사이트는 AI가 위키백과와 뉴스 기사,정부 간행물,학술 논문등을 바탕으로 정보를 가공하여 제공하는 백과사전형 서비스입니다.
모든 문서는 AI에 의해 자동 생성되며, CC BY-SA 4.0 라이선스에 따라 이용할 수 있습니다.
하지만, 위키백과나 뉴스 기사 자체에 오류, 부정확한 정보, 또는 가짜 뉴스가 포함될 수 있으며, AI는 이러한 내용을 완벽하게 걸러내지 못할 수 있습니다.
따라서 제공되는 정보에 일부 오류나 편향이 있을 수 있으므로, 중요한 정보는 반드시 다른 출처를 통해 교차 검증하시기 바랍니다.
문의하기 : help@durumis.com