조광기
"오늘의AI위키"의 AI를 통해 더욱 풍부하고 폭넓은 지식 경험을 누리세요.
1. 개요
조광기는 조명의 밝기를 조절하는 장치이다. 초기에는 수동으로 조작되는 대형 패널을 사용했지만, 1896년 Granville Woods가 "안전 조광기"를 특허 내면서 에너지 낭비를 줄이는 기술이 개발되었다. 1959년에는 Joel Spira가 사이리스터를 기반으로 한 조광기를 발명하여 소형화 및 에너지 절약을 이루었고, 이후 TRIAC을 사용한 소켓 어댑터, 0-10V 제어 시스템 등 다양한 기술이 등장했다. 최근에는 DMX512, DALI, Art-Net과 같은 디지털 제어 프로토콜을 통해 여러 조광기를 단일 케이블로 제어하는 방식이 사용된다. 조광기는 가변 저항, 코일 회전 변압기, 오토트랜스포머, 전자식 조광기 등 다양한 종류가 있으며, 아날로그 및 디지털 제어 방식을 통해 제어된다. 조광 곡선, 예열 기능, 소프트 패치, 상승 시간 등은 조광기의 성능과 관련하여 중요한 요소로 작용한다.
더 읽어볼만한 페이지
- 무대 조명 - 3점 조명
3점 조명은 키 라이트, 보조광, 백라이트로 이루어져 피사체를 입체적으로 보이게 하는 기본 조명 기법이며, 필요에 따라 배경 조명을 추가한 4점 조명도 활용된다. - 무대 조명 - 후면광
- 조명 - 발광 다이오드
발광 다이오드(LED)는 전기에너지를 빛으로 변환하는 반도체 소자이며, 낮은 소비전력과 긴 수명을 바탕으로 조명, 디스플레이 등 다양한 분야에서 활용된다. - 조명 - 고래기름
고래기름은 고래 지방을 끓여 추출한 기름으로, 과거 산업 사회에서 연료, 비누, 윤활유 등으로 널리 사용되었으나, 석유와 식물성 기름의 등장 및 포경 금지로 인해 현재는 생산과 사용이 크게 감소하여 일부 원주민 공동체에서만 제한적으로 사용된다. - 19세기 발명품 - 기관총
기관총은 자동 사격이 가능하며, 19세기 개틀링 건에서 시작되어 맥심 기관총을 거쳐 발전했고, 제1차 세계 대전을 거치면서 참호전의 주요 무기가 되었으며, 냉각 방식, 사용 탄약, 작동 방식에 따라 종류가 나뉘어 제압 사격, 지역 거부 등의 목적으로 사용된다. - 19세기 발명품 - 자동차
자동차는 18세기 증기 자동차에서 시작하여 내연기관 발명으로 발전했으며, 크기, 용도, 연료 등에 따라 분류되고, 자율 주행 및 친환경 기술 개발을 통해 안전과 환경 문제 해결을 모색한다.
| 조광기 | |
|---|---|
| 조광기 | |
![]() | |
| 기본 정보 | |
| 종류 | 전기 장치 |
| 기능 | 광원의 밝기를 조절 |
| 사용 | 조명 난방 기타 |
| 작동 원리 | |
| 전압 조절 | 공급 전압을 변경하여 밝기 조절 |
| 펄스 폭 변조 (PWM) | 빠르게 켜고 끄는 비율을 조절하여 밝기 조절 |
| 가변 저항 | 저항값을 변경하여 밝기 조절 (구형 방식) |
| 종류 | |
| 슬라이드 조광기 | 슬라이더를 움직여 밝기 조절 |
| 로터리 조광기 | 노브를 돌려 밝기 조절 |
| 푸시 버튼 조광기 | 버튼을 눌러 밝기 조절 |
| 디지털 조광기 | 전자 회로를 통해 밝기 조절 |
| 장점 | |
| 에너지 절약 | 밝기를 낮춰 전력 소비 감소 |
| 분위기 연출 | 조명 밝기를 조절하여 다양한 분위기 연출 |
| 램프 수명 연장 | 낮은 밝기에서 램프 수명 증가 |
| 단점 | |
| 초기 비용 | 일반 스위치보다 가격이 비쌈 |
| 호환성 문제 | 특정 램프와 호환되지 않을 수 있음 |
| 소음 발생 | 일부 구형 조광기에서 소음 발생 가능 |
| 응용 분야 | |
| 가정용 조명 | 거실, 침실 등의 조명 밝기 조절 |
| 무대 조명 | 연극, 콘서트 등의 무대 조명 연출 |
| 산업용 조명 | 공장, 사무실 등의 조명 밝기 조절 |
2. 역사
초기 조광기는 대형 조광기 패널을 수동으로 조작해야 했다. 이러한 방식은 모든 전력이 조명 제어 위치를 통과해야 했기 때문에, 무대 조명과 같이 크거나 고전력 시스템에서는 불편하고 비효율적이며 잠재적으로 위험할 수 있었다.
1896년, Granville Woods는 "안전 조광기"를 특허받았다. 이 조광기는 불필요한 에너지를 소모하는 대신 필요한 만큼만 에너지를 생성하여 에너지 낭비를 크게 줄였다.[1]
1959년, Joel S. Spira는 사이리스터(SCR)를 기반으로 한 조광기를 발명했고, 1961년에 Lutron Electronics Company를 설립했다. 이 장치는 크기가 작아 표준 전기 벽 상자에 설치할 수 있었고, 에너지 절약에도 기여했다.[2][3]
1966년, Eugene Alessio는 트라이액을 사용하여 단일 전구의 밝기를 조절하는 전구 소켓 어댑터를 특허받았다. 그는 이 장치를 2인치 둥근 장치로 만들어 한쪽 끝은 전구 소켓에, 다른 쪽 끝은 전구를 끼울 수 있도록 했다.[4]
고체 조광기가 사용되면서 0-10 V 조명 제어 시스템과 같은 아날로그 원격 제어 시스템이 가능해졌다. 이 시스템은 낮은 전류와 낮은 위험을 가진 작은 전선을 사용했기 때문에 각 조광기마다 자체 제어 전선이 필요했고, 조명 제어 위치에는 많은 전선이 필요했다.
DMX512, DALI, Art-Net, ETCnet, sACN, Pathport, ShowNet, KiNET과 같은 디지털 제어 프로토콜[5]은 단일 케이블로 많은 조광기와 무대 장비를 제어할 수 있게 해주었다.
2. 1. 초기 조광기
초기 조광기는 대형 조광기 패널을 수동으로 조작하여 직접 제어하는 방식이었다. 이 방식은 모든 전력이 조명 제어 위치를 통과해야 했기 때문에, 무대 조명과 같이 크거나 고전력 시스템에서는 불편하고 비효율적이며 잠재적으로 위험할 수도 있었다.1896년, Granville Woods는 "안전 조광기"를 특허받았다. 이 조광기는 불필요한 에너지를 소모하는 대신, 필요한 만큼만 에너지를 생성하여 에너지 낭비를 크게 줄였다.[1]
1959년, Joel S. Spira는 새로운 고체 스위칭 장치인 사이리스터(SCR)를 기반으로 한 조광기를 발명했다. 그는 1961년에 Lutron Electronics Company를 설립했다. 이 작은 장치 덕분에 조광기를 표준 전기 벽 상자에 설치할 수 있게 되었고, 에너지 절약도 가능해졌다.[2][3]
1966년, Eugene Alessio는 트라이액을 사용하여 단일 전구의 밝기를 조절할 수 있는 전구 소켓 어댑터를 특허받았다. 그는 이 장치를 한쪽 끝은 전구 소켓에 나사로 조이고 다른 쪽 끝은 전구를 끼울 수 있는 2인치 둥근 장치로 만들었다.[4]
고체 조광기가 사용되면서 0-10 V 조명 제어 시스템과 같은 아날로그 원격 제어 시스템도 가능해졌다. 제어 시스템 전선은 이전 조명 시스템의 무거운 전력 케이블보다 훨씬 작았고 (낮은 전류와 낮은 위험), 각 조광기마다 자체 제어 전선이 필요했기 때문에 조명 제어 위치에는 많은 전선이 필요했다.
DMX512, DALI, Art-Net, ETCnet, sACN, Pathport, ShowNet, KiNET 등 여러 이더넷 기반 프로토콜[5]과 같은 최신 디지털 제어 프로토콜을 사용하면 단일 케이블로 수많은 조광기(및 기타 무대 장비)를 제어할 수 있다.
2. 2. 전자식 조광기의 등장
초기의 조광기는 대형 조광기 패널을 수동으로 조작하여 직접 제어하는 방식이었다. 이는 모든 전력이 조명 제어 위치를 통과해야 했기 때문에 무대 조명과 같이 크거나 고전력 시스템의 경우 불편하고 비효율적이며 잠재적으로 위험할 수 있었다.1896년, Granville Woods는 "안전 조광기"를 특허받았는데, 이는 불필요한 에너지를 소모하는 대신 원하는 수요에 맞춰 생성되는 에너지의 양을 줄여 에너지 낭비를 크게 줄였다.[1]
1959년, Lutron Electronics Company를 1961년에 설립하게 될 Joel S. Spira는 당시 새로운 고체 스위칭 장치인 사이리스터(Silicon Controlled Rectifier, SCR)를 기반으로 한 조광기를 발명했다. 이 작은 장치 덕분에 조광기를 표준 전기 벽 상자에 설치하면서 에너지를 절약할 수 있었다.[2][3]
1966년, Eugene Alessio는 트라이액을 사용하여 단일 전구의 조명 레벨을 조정하기 위한 전구 소켓 어댑터를 특허받았다. 이 장치를 수용하기 위해 그는 한쪽 끝은 전구 소켓에 나사로 조일 수 있고 다른 쪽 끝은 전구를 받을 수 있는 2인치 둥근 장치를 고안했다.[4]
고체 조광기가 사용되면서 0-10 V 조명 제어 시스템과 같은 아날로그 원격 제어 시스템이 실현 가능해졌다. 제어 시스템의 전선은 이전 조명 시스템의 무거운 전력 케이블보다 훨씬 작았는데(낮은 전류와 낮은 위험), 각 조광기마다 자체 제어 전선이 필요했기 때문에 조명 제어 위치에서 많은 전선이 나오게 되었다.
DMX512, DALI, Art-Net, ETCnet, sACN, Pathport, ShowNet, KiNET와 같은 여러 이더넷 기반 프로토콜[5]과 같은 보다 최근의 디지털 제어 프로토콜을 사용하면 단일 케이블을 통해 많은 수의 조광기(및 기타 무대 장비)를 제어할 수 있다.
2. 3. 아날로그 및 디지털 제어 시스템
초기의 조광기는 대형 조광기 패널을 수동으로 조작하여 직접 제어해야 했다. 이러한 방식은 모든 전력이 조명 제어 위치를 통과해야 했기 때문에, 무대 조명과 같이 크거나 고전력 시스템에서는 불편하고 비효율적이며 잠재적으로 위험할 수 있었다.[1]1896년, Granville Woods는 "안전 조광기"를 특허받았다. 이 조광기는 불필요한 에너지를 소모하는 대신 필요한 만큼만 에너지를 생성하여 에너지 낭비를 크게 줄였다.[1]
1959년, Joel S. Spira는 사이리스터(SCR)를 기반으로 한 조광기를 발명했다. 이 장치는 크기가 작아 표준 전기 벽 상자에 설치할 수 있었고, 에너지 절약에도 기여했다.[2][3] 1961년에는 Lutron Electronics Company가 설립되었다.
1966년, Eugene Alessio는 트라이액을 사용하여 단일 전구의 밝기를 조절하는 전구 소켓 어댑터를 특허받았다. 그는 이 장치를 2인치 둥근 장치로 만들어 한쪽 끝은 전구 소켓에, 다른 쪽 끝은 전구를 끼울 수 있도록 했다.[4]
고체 조광기가 사용되면서 0-10 V 조명 제어 시스템과 같은 아날로그 원격 제어 시스템이 가능해졌다. 이 시스템은 낮은 전류와 낮은 위험을 가진 작은 전선을 사용했기 때문에, 각 조광기마다 자체 제어 전선이 필요했고, 조명 제어 위치에는 많은 전선이 필요했다.
DMX512, DALI, Art-Net, ETCnet, sACN, Pathport, ShowNet, KiNET과 같은 디지털 제어 프로토콜[5]은 단일 케이블로 많은 조광기와 무대 장비를 제어할 수 있게 해주었다.
비가정용 조광기는 다양한 프로토콜을 통해 원격으로 제어된다. 아날로그 조광기는 각 채널마다 별도의 전선을 사용하며, 전압을 0V에서 10V 사이로 전달한다. 일부 아날로그 회로는 이 신호와 주 전원 공급 장치에서 스위치 제어 신호를 얻는다. 채널이 많을수록 조명 컨트롤러와 조광기 사이에 더 많은 전선이 필요하다.
1970년대 후반에는 직렬 아날로그 프로토콜이 개발되었다. 이 프로토콜은 복합 비디오 신호와 유사한 임베디드 클록 신호(Strand Lighting의 유럽 D54 표준은 384개의 조광기 처리) 또는 별도의 클록 신호(미국 표준 AMX192)를 사용하여 아날로그 레벨을 단일 전선에 다중화했다.
1980년대 후반부터 DMX512와 같은 디지털 프로토콜이 사용되기 시작했다. 초기에는 디지털 신호가 컨트롤러에서 디멀티플렉서로 전송되었고, 디멀티플렉서는 이 신호를 0V ~ +10V 또는 0V ~ -10V 신호로 변환하여 아날로그 제어 회로에 연결했다.
최신 조광기는 마이크로프로세서를 사용하여 디지털 신호를 스위치 제어 신호로 직접 변환한다. 이를 통해 조광을 더 정확하게 제어하고, 진단 피드백을 디지털 방식으로 조명 컨트롤러에 보낼 수 있다.
일부 주거용 조명기구 조광기는 무선 스위치로 사용될 수 있도록 무선 송신기를 통해 원격으로 제어할 수 있는 무선 수신기를 갖추고 있다.[11]


3. 종류
조광기는 사용되는 기술에 따라 여러 종류로 나뉜다.
초창기에는 가변저항을 이용한 조광기가 사용되었다. 이 방식은 부하의 상당 부분을 열로 소모하여 비효율적이었다. 크기가 크고 냉각을 위한 많은 공기가 필요했으며, 부하를 가변저항의 정격 전력에 맞춰야 했다. 또한 기계적 제어에 의존하여 속도가 느리고 여러 채널을 동시에 제어하기 어려웠다. 초기 가변저항 조광기의 예로는 염수 조광기가 있다.[6]
이후 코일 회전 변압기가 등장했다. 이 변압기는 고정된 위치의 전자석 코일과 가변 위치의 코일을 사용하여 전압을 변경했다. 두 코일의 정렬을 변경함으로써 2차 코일에 유도되는 전압을 조절할 수 있었다.
오토트랜스포머(Variac 상표) 조광기는 상대적으로 효율적이며, 전압 출력과 조광 효과가 부하에 크게 영향을 받지 않아 설계가 용이했다. 일부 조광기에는 모터 드라이브가 장착되어 램프 밝기를 천천히 조절할 수 있었다. 오토트랜스포머는 오늘날에도 전자기 간섭에 매우 엄격한 제한이 필요한 오디오 녹음 스튜디오 제어실과 같은 특정 조명 환경에서 여전히 사용된다.
3. 1. 가변저항 조광기
가변저항을 기반으로 한 조광기는 부하의 정격 전력의 상당 부분을 열로 소모했기 때문에 비효율적이었다. 크기가 크고 많은 냉각 공기가 필요했다. 조광 효과는 각 가변 저항에 가해지는 총 부하에 크게 의존했기 때문에 부하를 가변 저항의 정격 전력에 비교적 신중하게 맞춰야 했다. 마지막으로, 기계적 제어에 의존했기 때문에 속도가 느리고 여러 채널을 한 번에 변경하기 어려웠다. 초창기 가변 저항 조광기의 예로는 염수 조광기가 있다.[6]3. 1. 1. 염수 조광기
초창기 가변 저항 조광기의 예로는 염수 조광기가 있는데, 이는 일종의 액체 가변 저항이었다. 가변 접점과 고정 접점 사이의 액체가 가변 저항을 제공했다. 접점 간의 거리가 가까울수록 조명에 더 많은 전압을 사용할 수 있었다. 염수 조광기는 부식으로 인해 정기적인 물 보충과 유지보수가 필요했으며, 작동 중 노출된 부품에 전기가 통해 감전 위험이 있었다.[6]3. 2. 코일 회전 변압기
코일 회전 변압기는 고정된 위치의 전자석 코일과 가변 위치의 코일을 함께 사용하여 두 코일의 정렬을 변경하여 전압을 변경했다. 90도 간격으로 회전하면 2차 코일은 1차 코일에서 나오는 두 개의 같지만 반대 방향의 필드의 영향을 받아 서로 상쇄되어 2차 코일에 전압이 생성되지 않는다.
이 코일은 전기 모터에 사용되는 표준 회전자와 고정자와 유사했지만, 회전자는 브레이크를 사용하여 회전을 방지하고 고 토크 기어를 사용하여 특정 위치로 이동했다는 점이 달랐다. 회전자는 완전한 회전을 하지 않기 때문에 정류자가 필요하지 않았고, 대신 회전자에 긴 유연한 케이블을 사용할 수 있었다.
3. 3. 오토트랜스포머 조광기
가변 오토트랜스포머(Variac 상표)가 그 후 도입되었다. 오토트랜스포머는 레오스타트 조광기만큼 크지만, 상대적으로 효율적인 장치이다. 전압 출력과 조광 효과는 가해지는 부하에 크게 영향을 받지 않으므로 각 오토트랜스포머 채널에 연결할 조명을 설계하기가 훨씬 쉬웠다. 조광기의 원격 제어는 여전히 실용적이지 않았지만, 일부 조광기에는 부착된 램프의 밝기를 천천히 그리고 꾸준히 줄이거나 늘릴 수 있는 모터 드라이브가 장착되었다. 오토트랜스포머는 조명용으로 사용되지 않지만 다른 용도로 사용된다.그러나 오토트랜스포머가 여전히 바람직한 솔루션인 특정 조명 시나리오가 있다(2021년 기준). 예를 들어, 오디오 녹음 스튜디오의 제어실은 전자기 간섭에 대한 매우 엄격한 제한이 필요할 수 있다. 솔리드 스테이트 조광기에 비해 오토트랜스포머에서 발생하는 전도 방출은 사실상 0에 가깝다.
4. 제어 방식
조광기는 다양한 프로토콜을 통해 원격으로 제어된다. 초기에는 아날로그 방식이 사용되었으나, 1980년대 후반부터 DMX512와 같은 디지털 프로토콜이 널리 사용되기 시작했다. 최근에는 마이크로프로세서를 이용한 디지털 제어 방식이 더욱 정밀한 조광 제어 및 진단 피드백을 가능하게 한다.[11]
4. 1. 아날로그 제어
비가정용 조광기는 일반적으로 다양한 프로토콜을 통해 원격으로 제어된다. 아날로그 조광기는 일반적으로 각 조광 채널마다 별도의 전선이 필요하며, 전압을 0V에서 10V 사이로 전달한다. 일부 아날로그 회로는 이 신호와 주 전원 공급 장치에서 스위치 제어 신호를 파생한다. 시스템에 채널이 더 많이 추가될수록 조명 컨트롤러와 조광기 사이에 더 많은 전선이 필요하게 된다.
1970년대 후반에는 직렬 아날로그 프로토콜이 개발되었다. 이는 복합 비디오 신호와 유사한 임베디드 클록 신호(Strand Lighting의 유럽 D54 표준의 경우 384개의 조광기 처리) 또는 별도의 클록 신호(미국 표준 AMX192의 경우)를 사용하여 일련의 아날로그 레벨을 단일 전선에 다중화했다.
1980년대 후반부터는 DMX512와 같은 디지털 프로토콜이 해결책으로 입증되었다. 초기 구현에서는 디지털 신호가 컨트롤러에서 조광기 옆의 '''디멀티플렉서'''로 전송되었다. 디멀티플렉서는 디지털 신호를 개별 아날로그 제어 회로에 연결할 수 있는 0V ~ +10V 또는 0V ~ -10V 신호의 모음으로 변환했다.
최신 조광기 설계는 마이크로프로세서를 사용하여 디지털 신호를 스위치에 대한 제어 신호로 직접 변환한다. 이는 조광에 대한 더 정확한 제어를 제공하고, 진단 피드백을 디지털 방식으로 조명 컨트롤러로 다시 보낼 수 있는 기회를 제공하여 많은 이점을 제공한다.[11]
주거용 조명기구의 일부 조광기는 무선 스위치로 사용될 수 있도록 무선 송신기를 통해 원격으로 제어할 수 있는 무선 수신기를 갖추고 있다.[11]
4. 2. 디지털 제어
비가정용 조광기는 일반적으로 다양한 프로토콜을 통해 원격으로 제어된다. 아날로그 조광기는 각 조광 채널마다 별도의 전선이 필요하며, 일반적으로 전압을 0V에서 10V 사이로 전달한다. 일부 아날로그 회로는 이 신호와 주 전원 공급 장치에서 스위치 제어 신호를 파생한다. 시스템에 채널이 더 많이 추가될수록 조명 컨트롤러와 조광기 사이에 더 많은 전선이 필요하게 된다.1970년대 후반에는 직렬 아날로그 프로토콜이 개발되었다. 이는 복합 비디오 신호와 유사한 임베디드 클록 신호(Strand Lighting의 유럽 D54 표준의 경우 384개의 조광기 처리) 또는 별도의 클록 신호(미국 표준 AMX192의 경우)를 사용하여 단일 전선에 일련의 아날로그 레벨을 다중화했다.
1980년대 후반부터는 DMX512와 같은 디지털 프로토콜이 해결책으로 입증되었다. 초기 구현에서는 디지털 신호가 컨트롤러에서 조광기 옆의 '''디멀티플렉서'''로 전송되었다. 디멀티플렉서는 디지털 신호를 0V ~ +10V 또는 0V ~ -10V 신호의 모음으로 변환하여 개별 아날로그 제어 회로에 연결했다.
최신 조광기 설계는 마이크로프로세서를 사용하여 디지털 신호를 스위치 제어 신호로 직접 변환한다. 이는 조광에 대한 더 정확한 제어를 제공하고, 진단 피드백을 디지털 방식으로 조명 컨트롤러로 다시 보낼 수 있는 기회를 제공하여 많은 이점을 제공한다.
주거용 조명기구의 일부 조광기는 무선 스위치로도 사용될 수 있도록 무선 송신기를 통해 원격으로 제어할 수 있는 무선 수신기를 갖추고 있다.[11]
5. 패칭 (Patching)
패칭(Patching)은 제어 목적으로 회로 또는 채널을 물리적(하드 패치) 또는 가상(소프트 패치)으로 할당하는 것을 의미한다.
5. 1. 하드 패치 (Hard patch)
디머는 일반적으로 랙에 함께 배치되어 쉽게 접근할 수 있으며, 제어할 장비로 전원이 공급된다. 건축 설비에서는 전기가 영구 배선을 통해 디머에서 조명으로 직접 연결되는데, 이를 '''회로'''라고 한다. 회로는 하드 패치되어 변경할 수 없다.그러나 극장과 같은 장소에서는 더 많은 유연성이 필요하다. 각 쇼에 대한 변경 사항과 때로는 쇼 중에 변경 사항을 허용하기 위해 극장에서는 극장 주변의 소켓으로 영구적으로 연결된 회로를 설치하기도 한다. 이러한 회로는 디머로 직접 연결되는 대신 ''패치 베이''에 연결된다. 패치 베이는 일반적으로 디머 옆에 위치하여 패치 케이블을 통해 디머를 특정 회로에 연결할 수 있다.
5. 2. 소프트 패치 (Soft patch)
대부분의 현대식 고정 설치는 패치 베이를 갖추고 있지 않으며, 대신 회로당 디머를 가지고 있다. 그리고 전산화된 제어 콘솔의 '''소프트 패치'''를 사용하여 디머를 채널에 패치한다.6. 조광 곡선 (Dimming curves)
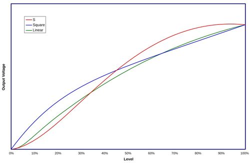
대부분의 아날로그 조광기 설계에서 조광기의 출력은 입력에 정비례하지 않는다. 조작자가 페이더를 올리면 조광기는 처음에는 천천히, 중간에는 빠르게, 위에서는 다시 천천히 조광된다. 이 곡선은 사인파의 3/4분면과 유사하다.[1] 조광기에 따라 다른 조광 곡선이 만들어지고, 활용 분야에 따라서도 다른 반응을 요구하는 것이 일반적이다.
텔레비전에서는 "제곱 법칙" 곡선을 주로 사용하는데, 곡선 윗부분에서 더 미세하게 제어할 수 있어 조명의 색온도를 정확하게 맞출 수 있다.[1] 연극용 조광기는 더 부드러운 "S"자형 또는 선형 곡선을 사용하는 경향이 있다.[1] 디지털 조광기는 제조사가 원하는 곡선을 따르도록 만들 수 있다. 선형 관계를 포함한 다양한 곡선 중 선택할 수 있어, 구형 아날로그 조광기와도 맞출 수 있다.[1] 정교한 시스템은 사용자가 직접 프로그래밍하거나 비표준 곡선을 지원하기도 한다. 비표준 곡선의 일반적인 용도는 조광기를 사용자 지정 제어 레벨에서 켜지는 "논딤(non-dim)"으로 전환하는 것이다.[1]
7. 예열 (Preheat)
고휘도 백열전구(필라멘트) 램프를 차가운 상태에서 최대 전력으로 켜면, 큰 돌입 전류로 인해 수명이 크게 단축될 수 있다. 램프 필라멘트에 가해지는 스트레스를 줄이기 위해 조광기에는 '''예열''' 기능이 있을 수 있다. 이 기능은 일반적으로 5%에서 10% 사이의 최소 레벨을 설정하며, 램프가 꺼진 것처럼 보이지만 너무 많이 냉각되는 것을 방지한다. 이것은 또한 록앤롤 스타일 쇼의 운영자가 선호하는 갑작스러운 전력 급증에 대한 램프의 반응 속도를 높인다. 이 기능의 반대 기능은 때때로 '''최대 설정'''이라고 한다. 이것은 램프에 공급되는 최대 전력을 제한하며, 이는 또한 램프의 수명을 연장할 수 있다.[1]
덜 진보된 시스템에서는 이벤트나 공연 전에 전구를 실제로 예열(워밍업)하여 동일한 효과를 얻는다. 이것은 일반적으로 30분에서 1시간 사이에 조명을 서서히 최대 전력(또는 일반적으로 90-95%)으로 올림으로써 달성된다. 이것은 내장된 예열 기능만큼 효과적이다.[1]
8. 디지털 조광기의 장점
현대적인 디지털 조광기는 예열 및 디머 곡선을 에뮬레이션하고 메모리 내에서 소프트 패치를 수행할 수 있다. 이러한 기능은 복잡한 설정을 전송하지 않고도 디머 랙을 다른 것으로 교체할 수 있게 해주어 선호된다. 다양한 곡선, 즉 ''프로파일''을 프로그래밍하여 서로 다른 채널에서 사용할 수 있다. 조명 제어 콘솔[1]
9. 상승 시간 (Rise time)
조광기의 품질을 측정하는 지표 중 하나는 '상승 시간'이다. 여기서 상승 시간은 파형의 잘린 부분이 0에서 순간적인 출력 전압까지 도달하는 데 걸리는 시간을 의미한다. 일반적으로 수십에서 수백 마이크로초 단위로 측정된다. 상승 시간이 길어지면 조광기 및 램프의 소음이 감소하고 램프의 수명이 연장되며, 조광기에서 발생하는 전자기 간섭도 감소한다. 그러나 상승 시간이 길수록 초크의 크기를 늘려야 하므로 구현 비용이 더 많이 든다. 새로운 조광 방식은 이러한 문제를 최소화하는 데 도움이 될 수 있다.
참조
[1]
웹사이트
Patent US569443 - Granville t
https://patents.goog[...]
[2]
웹사이트
Lutron Electronics Donates Company History to National Museum of American History
https://americanhist[...]
2010-04-28
[3]
웹사이트
Patent US3032688 - Dimming device
https://patents.goog[...]
[4]
웹사이트
Patent US3452215 - Light bulb socket adapter
https://patents.goog[...]
[5]
웹사이트
Open Lighting Architecture
http://www.openlight[...]
[6]
웹사이트
Types of dimmer
https://web.archive.[...]
2010-01-21
[7]
웹사이트
Lutron Electronics, Inc.
https://web.archive.[...]
[8]
문서
http://www.lutron.co[...]
2022-03
[9]
웹사이트
Strand Dimming Systems
https://web.archive.[...]
[10]
웹사이트
Dimming Methods
https://web.archive.[...]
[11]
웹사이트
How Do Lighting Controls Work?
http://www.heath-zen[...]
HeathCo
본 사이트는 AI가 위키백과와 뉴스 기사,정부 간행물,학술 논문등을 바탕으로 정보를 가공하여 제공하는 백과사전형 서비스입니다.
모든 문서는 AI에 의해 자동 생성되며, CC BY-SA 4.0 라이선스에 따라 이용할 수 있습니다.
하지만, 위키백과나 뉴스 기사 자체에 오류, 부정확한 정보, 또는 가짜 뉴스가 포함될 수 있으며, AI는 이러한 내용을 완벽하게 걸러내지 못할 수 있습니다.
따라서 제공되는 정보에 일부 오류나 편향이 있을 수 있으므로, 중요한 정보는 반드시 다른 출처를 통해 교차 검증하시기 바랍니다.
문의하기 : help@durumis.com
