3-펜탄온
"오늘의AI위키"의 AI를 통해 더욱 풍부하고 폭넓은 지식 경험을 누리세요.
1. 개요
3-펜탄온은 페인트 용매 및 비타민 E의 전구체로 사용되는 유기 화합물이다. 화학 합성에 사용되는 출발 물질이며, 오셀타미비르(타미플루) 합성에도 사용된다. 3-펜탄온은 프로피온산의 케톤 탈카복실화 반응 또는 에틸렌, 일산화 탄소, 수소의 결합으로 제조할 수 있다. 피부 및 눈에 유해하며, 인화성이 높아 열이나 점화원으로부터 멀리 보관해야 한다.
더 읽어볼만한 페이지
- 펜탄온 - 2-펜탄온
2-펜탄온은 케톤의 일종으로 화학식은 CH3CH2COCH2CH3이며, 무색 액체로 용매 및 화학 반응의 중간체로 사용된다. - 펜탄온 - 메틸 아이소프로필 케톤
메틸 아이소프로필 케톤은 위키백과에 정보가 부족하여 추가적인 자료를 통해 내용을 보강해야 한다. - 케톤 용매 - 사이클로펜탄온
사이클로펜탄온은 아디프산의 케톤 탈카르복실화 반응으로 생성되는 유기 화합물이며, 향수, 의약품, 농약, 폭발물 등의 다양한 분야에서 활용된다. - 케톤 용매 - 2-펜탄온
2-펜탄온은 케톤의 일종으로 화학식은 CH3CH2COCH2CH3이며, 무색 액체로 용매 및 화학 반응의 중간체로 사용된다.
2. 용도
3-펜탄온은 주로 페인트 용매와 비타민 E의 전구체로 사용된다.[13] 화학 합성에 사용되는 출발 물질이다.[3][4]
2. 1. 주요 용도
3-펜탄온은 주로 페인트 용매와 비타민 E의 전구체로 사용된다.[13] 화학 합성에 사용되는 출발 물질로, 비타민 E의 산업적 합성과 오셀타미비르(타미플루) 합성에도 사용된다.[3][4] 3-펜탄온은 페인트 용 특수 용매로도 사용되지만, 부타논보다는 덜 흔하게 사용된다.3. 합성
3-펜탄온은 프로피온산을 금속 산화물 촉매를 사용하여 케톤 탈카복실화 반응으로 생산한다.[5] 이 반응은 관형 전기로에서 수행할 수 있다.[5]
:2 CH3CH2CO2H → (CH3CH2)2CO + CO2 + H2O
또한, 3-펜탄온은 에틸렌, 일산화 탄소, 수소(H2)를 결합하여 제조할 수 있다.[4] 디코발트 옥타카보닐을 촉매로 사용하면 물을 수소 공급원으로 사용할 수 있다. 이때, 물-가스 변환 반응을 통해 수소가 발생한다.[6]
3. 1. 케톤 탈카복실화 반응
3-펜탄온은 금속 산화물 촉매를 사용하여 프로피온산의 케톤 탈카복실화 반응으로 생산된다.[5]:2 CH3CH2CO2H → (CH3CH2)2CO + CO2 + H2O
실험실에서 이 반응은 관형 전기로에서 수행할 수 있다.[5]
3. 2. 카보닐화 반응
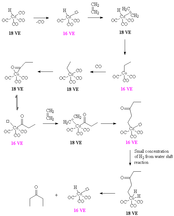
3-펜탄온은 에틸렌, 일산화 탄소, 수소(H2)를 결합하여 제조할 수도 있다.[4] 반응이 디코발트 옥타카보닐에 의해 촉매될 때, 물을 수소 공급원으로 사용할 수 있다. 제안된 중간체는 에틸렌-프로피오닐 종인 [CH3C(O)Co(CO)3(에틸렌)]인데, 이 종은 이동 삽입을 거쳐 [CH3COCH2CH2Co(CO)3]를 형성한다. 필요한 수소는 물-가스 변환 반응으로부터 발생한다.[6]물-가스 변환 반응이 작동하지 않으면, 반응은 일산화 탄소와 에틸렌 단위가 교대로 포함된 고분자를 생성한다. 이러한 지방족 폴리케톤은 일반적으로 팔라듐 촉매를 사용하여 제조된다.[7]
옥타카보닐 이코발트(Co2(CO)8)를 촉매로 사용하면 다이에틸 케톤은 에틸렌과 일산화 탄소로부터 생성할 수 있다. 이 경우, 에틸렌-프로피오닐 종 [CH3C(O)Co(CO)3(ethylene)]이 [CH3COCH2CH2Co(CO)3]의 형태를 거친다. 필요한 수소는 수성 가스 시프트 반응에 의해 공급된다.[10]

4. 안전성
3-펜탄온은 안정적인 물질이지만, 화염, 불꽃, 열원에 노출되면 인화성이 매우 높다. 따라서 열이나 점화원으로부터 멀리 떨어진 인화성 물질 보관함에 보관해야 하며, 시원하고 통풍이 잘 되는 곳에 보관하는 것이 좋다.[8]
4. 1. 노출 영향
3-펜탄온의 TLV 값은 200 ppm (705mg/m3)이다.[4] 3-펜탄온은 피부나 눈에 접촉하면 유해하며, 피부 자극 및 눈의 발적, 눈물, 가려움증을 유발할 수 있다. 이 화학 물질을 섭취하면 신경계 또는 장기 손상을 일으킬 수도 있다. 안정적인 것으로 간주되지만, 3-펜탄온은 화염, 불꽃 또는 다른 열원에 노출되면 극도로 인화성이 높다. 안전을 위해, 열이나 점화원으로부터 멀리 떨어진 인화성 물질 보관함에 보관해야 하며, 시원하고 통풍이 잘 되는 곳에 보관하는 것이 좋다.[8]4. 2. 취급 및 보관
3-펜탄온의 TLV 값은 200 ppm (705mg/m3)이다.[4] 3-펜탄온은 피부나 눈에 접촉하면 유해하며, 피부 자극 및 눈의 발적, 눈물, 가려움증을 유발할 수 있다. 이 화학 물질을 섭취하면 신경계 또는 장기 손상을 일으킬 수도 있다. 안정적인 것으로 간주되지만, 3-펜탄온은 화염, 불꽃 또는 다른 열원에 노출되면 극도로 인화성이 높다. 안전을 위해, 열이나 점화원으로부터 멀리 떨어진 인화성 물질 보관함에 보관해야 하며, 시원하고 통풍이 잘 되는 곳에 보관하는 것이 좋다.[8]참조
[1]
GESTIS
[2]
PGCH
[3]
논문
100 Years of Vitamin E: From Discovery to Commercialization
https://pure.rug.nl/[...]
2022-12-06
[4]
서적
Ketones
Wiley-VCH, Wienheim
[5]
서적
Vogel's Textbook of Practical Organic Chemistry
https://archive.org/[...]
Longman Science & Technical
[6]
논문
Application of Homogeneous Water-Gas Shift Reaction III Further Study of the Hydrocarbonylation – A highly Selective Formation of Diethyl Keton from Ethene, CO and H2O
[7]
논문
The Complete Delineation of the Initiation, Propagation, and Termination Steps of the Carbomethoxy Cycle for the Carboalkoxylation of Ethene by Pd–Diphosphane Catalysts
[8]
웹사이트
Chemicals & Laboratory Equipment, Material Safety Data Sheet for 3-pentanone
http://www.sciencela[...]
ScienceLab.com
2010-01-02
[9]
웹사이트
法規情報
https://www.tcichemi[...]
東京化成工業株式会社
[10]
논문
Application of Homogeneous Water-Gas Shift Reaction III Further Study of the Hydrocarbonylation – A highly Selective Formation of Diethyl Keton from Ethene, CO and H2O
[11]
GESTIS
[12]
PGCH
[13]
서적
Ketones
Wiley-VCH, Wienheim
본 사이트는 AI가 위키백과와 뉴스 기사,정부 간행물,학술 논문등을 바탕으로 정보를 가공하여 제공하는 백과사전형 서비스입니다.
모든 문서는 AI에 의해 자동 생성되며, CC BY-SA 4.0 라이선스에 따라 이용할 수 있습니다.
하지만, 위키백과나 뉴스 기사 자체에 오류, 부정확한 정보, 또는 가짜 뉴스가 포함될 수 있으며, AI는 이러한 내용을 완벽하게 걸러내지 못할 수 있습니다.
따라서 제공되는 정보에 일부 오류나 편향이 있을 수 있으므로, 중요한 정보는 반드시 다른 출처를 통해 교차 검증하시기 바랍니다.
문의하기 : help@durumis.com
