타락사스테롤
"오늘의AI위키"의 AI를 통해 더욱 풍부하고 폭넓은 지식 경험을 누리세요.
1. 개요
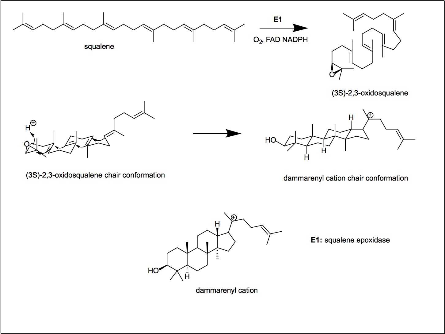
타락사스테롤은 스쿠알렌을 전구체로 하여 여러 효소의 작용을 거쳐 생합성되는 화합물이다. 스쿠알렌은 스쿠알렌 에폭시다제에 의해 (2S)-2,3-옥시도스쿠알렌으로 전환되고, 이어서 일련의 고리화 반응과 바그너-메어와인 전위를 통해 담마레닐 양이온, 바카레닐 양이온, 루파닐 양이온, 올레아닐 양이온, 타락사스테릴 양이온을 거쳐 타락사스테롤로 합성된다. 이 과정에는 옥시도스쿠알렌: 루페오플 사이클라제와 옥시도스쿠알렌: B-아미린 사이클라제 등의 효소가 관여한다.
더 읽어볼만한 페이지
- 트라이터펜 - 라노스테롤
라노스테롤은 오피스토콘타에 특징적인 스테롤로, 콜레스테롤을 포함한 다양한 스테로이드 화합물 생합성의 중간 생성물이며, 백내장 치료제로서의 활용 가능성이 연구되었으나 효과는 아직 입증되지 않았다. - 트라이터펜 - 스쿠알렌 2,3-에폭사이드
- 이차 알코올 - 진저롤
진저롤은 생강의 주요 활성 성분인 페놀 화합물로, 항암, 항염증, 항산화, 신경 보호, 위장 보호 효과와 구역질 및 두통 완화, 혈당 조절, 위 점막 보호 효과가 있지만, 과다 복용 시 유전 독성 가능성과 저체온증 유발 가능성 등 안전성에 대한 주의가 필요한 물질이다. - 이차 알코올 - 퀴닌
퀴닌은 키나나무 껍질에서 유래된 말라리아 치료제로, 17세기 유럽에 도입되어 1820년 분리되었으며, 현재는 부작용과 약물 저항성 문제로 인해 다른 약물과 함께 사용되거나 대체 약물 개발이 이루어지고, 음료의 쓴맛을 내는 데에도 사용된다.
| 타락사스테롤 - [화학 물질]에 관한 문서 | |
|---|---|
| 일반 정보 | |
| IUPAC명 | (3S,4aR,6aR,6bR,8aR,12S,12aR,12bR,14aR,14bR)-4,4,6a,6b,8a,12,14b-헵타메틸-11-메틸리덴도코사하이드로피센-3-올 |
| 다른 이름 | 안테스테린 |
| 식별자 | |
| CAS 등록번호 | 1059-14-9 |
| UNII | 64SK2ERN9P |
| 화학 스파이더 ID | 103120 |
| PubChem CID | 115250 |
| ChEMBL | 453386 |
| ChEBI | 9401 |
| 속성 | |
| 분자식 | C30H50O |
| 약리학 | |
| 위험성 | |
| 관련 화합물 | |
2. 생합성
타락사스테롤의 생합성 경로는 스쿠알렌에서 시작하여 여러 단계를 거쳐 타락사스테롤이 생성된다.
먼저 스쿠알렌은 효소 스쿠알렌 에폭시다제의 작용으로 분자 산소, FAD, NADPH와 반응하여 고리화되고, 플라보단백질인 (2S)-2,3-옥시도스쿠알렌을 생성한다. 그 후, 옥시도스쿠알렌은 효소 내에서 의자 형태(cyclohexane conformation)로 접혀 고리화 반응을 일으켜 담마레닐 양이온을 형성한다.[2]
이후 담마레닐 양이온은 알킬 이동을 통해 6원자 고리를 형성하고, 고리 변형을 완화하여 바카레닐 양이온으로 전환된다. 바카레닐 양이온의 이중 결합은 2차 양전하를 공격하여 5환형 고리 시스템을 만들고, 3차 루파닐 양이온을 생성한다. 이어서 바그너 미어와인 전위(Wagner-Meerwein) 1,2-알킬 이동이 일어나 6환형 고리 시스템(HRS)과 2차 올레아닐 양이온이 형성된다. 다음으로 바그너-메어와인 1,2-메틸 이동이 일어나 3차 타락사스테릴 양이온이 생성되는데, 이는 타락사스테롤 경로의 마지막 중간체이다. 마지막으로 E2 반응을 통해 양성자가 제거되면서 타락사스테롤이 만들어진다.[1]
이러한 생합성 과정에는 옥시도스쿠알렌: 루페오플 사이클라제 및 옥시도스쿠알렌: B-아미린 사이클라제와 같은 효소들이 관여한다.[1]
2. 1. 스쿠알렌 에폭시화
타락사스테롤 생합성의 전구체는 스쿠알렌이다. 이 생성의 첫 번째 단계에서 스쿠알렌은 효소 스쿠알렌 에폭시다제를 통해 분자 산소, FAD, NADPH와 함께 고리화되어 플라보 단백질인 (2''S'')-2,3-옥시도스쿠알렌을 생성한다. 두 번째 단계에서 옥시도스쿠알렌이 효소 내에서 의자 형태(cyclohexane conformation)로 접히면 고리화 반응이 연쇄적으로 일어나 담마레닐 양이온이 형성된다.[2]
담마레닐 양이온은 그 다음 알킬 이동을 거쳐 6원자 고리를 만들고 고리 변형을 완화하여 바카레닐 양이온을 형성한다. 이를 통해 바카레닐 이중 결합이 2차 양전하를 공격하여 5환형 고리 시스템을 형성하고 3차 루파닐 양이온을 생성한다. 바그너-메어와인 1,2-알킬 이동(alykl shift)이 일어나 HRS(hexacyclic ring system)와 2차 올레아닐(oleanyl) 양이온을 형성한다. 그 다음 바그너-메어와인 1,2-메틸 이동이 일어나 3차 타락사스테릴 양이온을 생성한다. 이 양이온은 타락사스테롤 경로의 마지막 중간체이다. 그 다음 E2 반응이 일어나 양성자의 탈프로톤화로 타락사스테롤이 생성된다. 이 생합성에 관여하는 효소는 옥시도스쿠알렌: 루페오플 사이클라제 및 옥시도스쿠알렌: B-아미린 사이클라제이다.[2]
2. 2. 옥시도스쿠알렌 고리화
타락사스테롤의 생합성 전구체는 스쿠알렌이다. 이 생성의 첫 번째 단계에서 스쿠알렌은 효소 스쿠알렌 에폭시다제를 통해 분자 산소, FAD, NADPH와 함께 고리화되어 플라보 단백질인 (2''S'')-2,3-옥시도스쿠알렌을 생성한다. 두 번째 단계에서 옥시도스쿠알렌이 효소 내에서 의자 형태 컨포메이션으로 접히면 고리화 반응이 연쇄적으로 일어나 담마레닐 양이온이 형성된다.[2]담마레닐 양이온은 알킬 이동을 거쳐 6원자 고리를 만들고 고리 변형을 완화하여 바카레닐 양이온을 형성한다. 이를 통해 바카레닐 이중 결합이 2차 양전하를 공격하여 5환형 고리 시스템을 형성하고 3차 루파닐 양이온을 생성한다. 바그너-메어와인 1,2-알킬 이동이 일어나 6환형 고리 시스템과 2차 올레아닐 양이온을 형성한다. 그 다음 바그너-메어와인 1,2-메틸 이동이 일어나 3차 타락사스테릴 양이온을 생성한다. 이 양이온은 타락사스테롤 경로의 마지막 중간체이다. 그 다음 E2 반응이 일어나 양성자의 탈프로톤화로 타락사스테롤이 생성된다. 이 생합성에 관여하는 효소는 옥시도스쿠알렌: 루페오플 사이클라제 및 옥시도스쿠알렌: B-아미린 사이클라제이다.[2]
2. 3. 담마레닐 양이온의 재배열
스쿠알렌은 효소 스쿠알렌 에폭시다제를 통해 분자 산소, FAD, NADPH와 함께 고리화되어 플라보단백질인 (2S)-2,3-옥시도스쿠알렌을 생성한다. 옥시도스쿠알렌이 효소 내에서 의자 형태(또는 사이클로헥세인 형태)로 접히면 고리화 반응이 연쇄적으로 일어나 담마레닐 양이온이 형성된다.[2]담마레닐 양이온은 알킬 이동을 거쳐 6원자 고리를 만들고 고리 변형을 완화하여 바카레닐 양이온을 형성한다. 이를 통해 바카레닐 이중 결합이 2차 양전하를 공격하여 5환형 고리 시스템을 형성하고 3차 루파닐 양이온을 생성한다. 바그너-메어와인 1,2-알킬 이동이 일어나 6환형 고리 시스템과 2차 올레아닐 양이온을 형성한다. 그 다음 바그너-메어와인 1,2-메틸 이동이 일어나 3차 타락사스테릴 양이온을 생성한다. 이 양이온은 타락사스테롤 경로의 마지막 중간체이다. 그 다음 E2 반응이 일어나 양성자의 탈프로톤화로 타락사스테롤이 생성된다. 이 생합성에 관여하는 효소는 옥시도스쿠알렌-루페올 사이클라제 및 옥시도스쿠알렌- B-아미린 사이클라제이다.[2]
2. 4. 바그너-메어바인 자리옮김
담마레닐 양이온은 알킬 이동을 거쳐 6원 고리를 만들고 고리 변형을 완화하여 바카레닐 양이온을 형성한다. 바카레닐 이중 결합이 2차 양전하를 공격하여 5환 고리 시스템을 형성하고 3차 루파닐 양이온을 생성한다. 바그너-메이르바인 1,2-알킬 이동이 발생하여 HRS(6환형 고리 시스템)와 2차 올레아닐 양이온을 형성한다. 이어서 1,2-메틸 이동이 일어나 3차 타락사스테릴 양이온을 생성한다. 이 양이온은 타락사스테롤 경로의 마지막 중간체이다. E2 반응을 통해 양성자의 탈양이온화가 일어나면 타락사스테롤이 생성된다.[2]2. 5. 타락사스테롤 생성
스쿠알렌은 타락사스테롤 생합성의 전구체이다. 이 생성의 첫 번째 단계에서 스쿠알렌은 효소 스쿠알렌 에폭시다제를 통해 분자 산소, FAD, NADPH와 함께 고리화되어 플라보 단백질인 (2''S'')-2,3-옥시도스쿠알렌을 생성한다. 두 번째 단계에서 옥시도스쿠알렌이 효소 내에서 의자 형태(cyclohexane conformation)로 접히면 고리화 반응이 연쇄적으로 일어나 담마레닐 양이온이 형성된다.[2]담마레닐 양이온은 그 다음 알킬 이동을 거쳐 6원자 고리를 만들고 고리 변형을 완화하여 바카레닐 양이온을 형성한다. 이를 통해 바카레닐 이중 결합이 2차 양전하를 공격하여 5환형 고리 시스템을 형성하고 3차 루파닐 양이온을 생성한다. 바그너 미어와인 전위(Wagner-Meerwein) 1,2-알킬 이동이 일어나 6환형 고리 시스템과 2차 올레아닐 양이온을 형성한다. 그 다음 바그너-메어와인 1,2-메틸 이동이 일어나 3차 타락사스테릴 양이온을 생성한다. 이 양이온은 타락사스테롤 경로의 마지막 중간체이다. 그 다음 E2 반응이 일어나 양성자의 탈프로톤화로 타락사스테롤이 생성된다. 이 생합성에 관여하는 효소는 옥시도스쿠알렌: 루페오플 사이클라제 및 옥시도스쿠알렌: B-아미린 사이클라제이다.[2]
2. 6. 관련 효소
타락사스테롤 생합성에 관여하는 효소는 옥시도스쿠알렌: 루페오플 사이클라제 및 옥시도스쿠알렌: B-아미린 사이클라제이다.[2]참조
[1]
서적
Medicinal Natural Products: A Biosynthetic Approach
Wiley
2011
[2]
서적
Medicinal Natural Products: A Biosynthetic Approach
2011
본 사이트는 AI가 위키백과와 뉴스 기사,정부 간행물,학술 논문등을 바탕으로 정보를 가공하여 제공하는 백과사전형 서비스입니다.
모든 문서는 AI에 의해 자동 생성되며, CC BY-SA 4.0 라이선스에 따라 이용할 수 있습니다.
하지만, 위키백과나 뉴스 기사 자체에 오류, 부정확한 정보, 또는 가짜 뉴스가 포함될 수 있으며, AI는 이러한 내용을 완벽하게 걸러내지 못할 수 있습니다.
따라서 제공되는 정보에 일부 오류나 편향이 있을 수 있으므로, 중요한 정보는 반드시 다른 출처를 통해 교차 검증하시기 바랍니다.
문의하기 : help@durumis.com