맨위로가기

심상

"오늘의AI위키"는 AI 기술로 일관성 있고 체계적인 최신 지식을 제공하는 혁신 플랫폼입니다.
"오늘의AI위키"의 AI를 통해 더욱 풍부하고 폭넓은 지식 경험을 누리세요.

1. 개요

심상은 시각, 청각, 후각 등 다양한 감각 양식에서 일어나는 정신적 표상으로, 기억, 사고, 인지 과정에서 중요한 역할을 한다. 심상에 대한 연구는 철학, 심리학, 신경과학 분야에서 이루어졌으며, 시각 피질과 같은 뇌 영역의 활성화와 관련이 있다. 심상은 작업 기억, 정신적 회전과 밀접하게 연관되어 있으며, 스포츠 심리 훈련, 학습, 종교적 수행 등 다양한 분야에서 활용된다. 무형상증과 같은 개인차와, 시각적 심상 생생도 설문(VVIQ)과 같은 방법으로 심상의 개인차를 측정할 수 있다.

2. 심상의 개념

현대의 연구자들은 심상이 지각의 어떤 방식에서도 일어날 수 있다고 말하며, 사람은 청각 이미지[81], 후각 이미지[82] 등 여러 심상을 경험할 수 있다고 한다. 하지만 이 문제에 대한 철학적 및 과학적 연구의 거의 대부분은 "시각" 이미지를 중심 주제로 하고 있다. 인류 뿐만 아니라 다양한 종류의 동물들이 또한 심상을 경험하는 능력을 가진 것으로 널리 추정되고 있지만, 이 현상의 근본적으로 주관적인 성질 때문에, 이 추정을 지지하는 증거도 반박할 증거도 찾아 볼 수 없다.

버클리, 과 같은 철학자나, 분트제임스와 같은 초기의 경험주의 심리학자들은 일반적으로 관념이 심상이라고 생각하고 있었다. 오늘날에는 심상이 심적 표상으로서 작동해, 기억사고에서 중요한 역할을 한다고 널리 퍼져 있다.[83][84][85][86]

실제로 어느 연구자는, 심상이란 "정의로 보아" 내적으로, 심적 또는 신경적 표상의 형식으로 이해하는 것이 가장 타당하다는 제안까지 이르고 있다.[87][88] 하지만 다른 연구자는, 심상의 지각 경험이란, 마음 또는 대뇌에서의 이런 표상과 어떤 의미로도 다르며, 이런 표상에서 직접 이끌리는 것도 아니라 주장하고 있다.[89][90][91][92][93][94]

2. 1. 심상의 신경학적 기반

심상의 신경학적 기반은 아직 완전히 밝혀지지 않았지만, fMRI를 사용한 연구에 따르면 정신적 심상 과제 수행 시 외측 슬상핵과 시각 피질의 V1 영역이 활성화되는 것으로 나타났다.[25] 레이티는 의 더 높은 영역이 시각적 입력을 시각 피질의 더 낮은 영역에 있는 뉴런으로 다시 보내 마음의 눈으로 볼 수 있는 능력을 제공한다고 설명했다. 즉, 시각적 입력이 없는 상태에서도 지각적 경험을 할 수 있다는 것이다. 예를 들어, PET 스캔 연구에 따르면, 자신의 현관 앞에 있다고 상상하는 피험자의 경우, 시각 연합 피질, 두정엽 피질, 전전두엽 피질 등 뇌의 고차원 인지 처리 센터에서 활성화가 일어난다.[26]

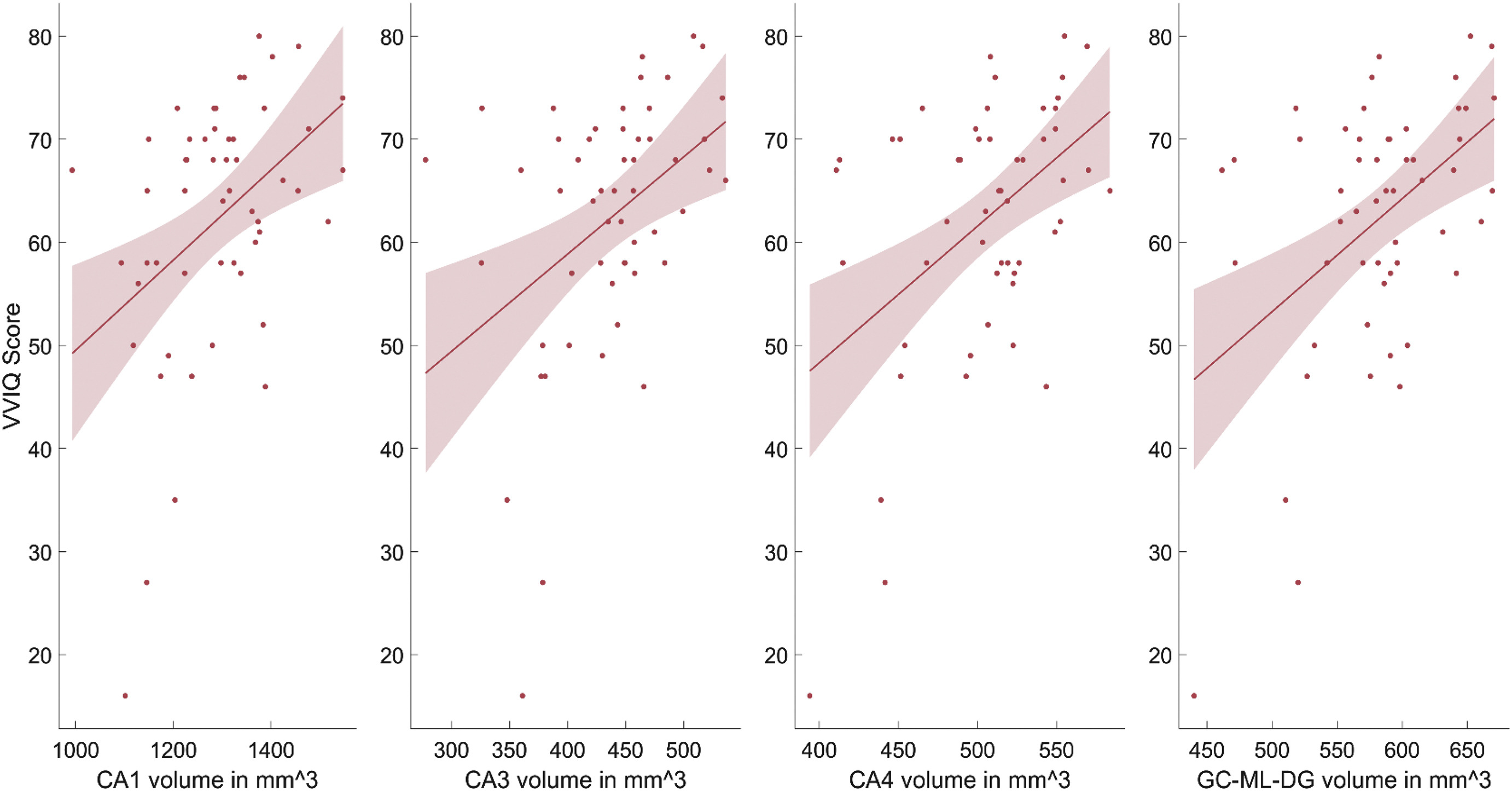
정신적 심상의 생물학적 기반은 신피질 아래 뇌의 더 깊은 부분에서 발견된다. 285명의 참가자를 대상으로 한 대규모 연구에서 Tabi, Maio, Attaallah 등(2022)은 시각적 심상 생생도 설문 (VVIQ) 점수와 해마, 편도체, 1차 운동 피질, 1차 시각 피질 및 방추상회를 포함한 뇌 구조의 부피 간의 연관성을 조사했다. 그 결과 시각적 심상 생생도와 해마 및 1차 시각 피질의 부피 사이에 유의미한 양의 상관관계를 발견했다.[46]

VVIQ correlations with Hippocampal CA & GC-ML-DG volumes


VVIQ 점수와 양측 CA1, CA3, CA4 및 치아이랑(DG)의 과립 세포(GC) 및 분자층(ML)을 포함한 해마 구조 사이에서도 유의미한 양의 상관관계가 나타났다. 특히 시각적 심상은 위의 그림에 표시된 4개의 하위 영역과 상관관계가 있었다(Tabi et al., 2022).[46]

시상은 뇌의 상위 및 하위 구성 요소 모두에서 전달된 모든 형태의 지각 데이터를 처리한다는 점에서 다른 구성 요소와 구별된다. 시상이 손상되면 영구적인 지각 손상이 발생할 수 있지만, 대뇌 피질에 손상이 가해지면 뇌는 신경 가소성에 적응하여 지각을 위한 모든 폐색을 수정한다. 신피질은 감각 시스템으로부터 입력으로 수신된 데이터가 대뇌 피질을 통해 구획화되는 정교한 메모리 저장 창고라고 생각할 수 있다.

모든 사람이 동일한 정신 심상 능력을 가지고 있는 것은 아니다. 무형상증은 사람이 정신 심상이 부족한 상태를 말하며, 2015년 연구에서 처음 제안되었다.[28]

송과체가 마음의 눈을 생성하는 가설적인 후보라는 주장이 있다. 릭 스트라스만 등은 임사 체험 (NDEs)과 을 꾸는 동안, 송과체가 외부 감각 데이터가 차단될 때 내부 시각을 생성하기 위해 환각성 화학 물질인 ''N'',''N''-디메틸트립타민 (DMT)을 분비할 수 있다고 가정했다.[27] 그러나 이 가설은 아직 신경화학적 증거와 DMT 생산의 그럴듯한 메커니즘으로 완전히 뒷받침되지 않고 있다.

심상과 지각은 함께 발생하는 것으로 생각되어 왔지만, 손상된 감각 양식 수용체를 가진 참가자는 때때로 해당 양식 수용체의 심상을 수행할 수 있다.[43] 심상과 함께 신경 과학은 다양한 심상의 신경 상관 관계의 fMRI 활성화를 통해 무의식적인 개인과 통신하는 데 사용되어 저품질 의식에 대한 추가 연구를 요구하고 있다.[44]후두엽이 제거된 한 환자에 대한 연구에서, 그들의 시각적 정신 심상의 수평 영역이 감소된 것으로 나타났다.[45]

3. 심상의 철학적 해석

심상은 지식 연구에 있어 필수적인 문제이기에 예나 지금이나 철학에서 중요한 주제이다.[53] 플라톤은 ''국가'' 제7권에서 소크라테스를 통해 동굴의 비유를 제시한다.[53] 이 비유에서, 움직이지 못하도록 묶인 채 앉아 있는 죄수는 등 뒤에서 물건을 든 사람들이 동굴 벽에 드리우는 그림자를 바라본다. 이 사람들과 그들이 들고 있는 물건들은 세상의 실재를 표상한다. 소크라테스는 깨우치지 못한 인간은 죄수와 같아서, 그가 경험하는 감각 데이터를 통해 심상을 만든다고 설명한다.[53]

18세기 철학자 조지 버클리관념론에서 실재가 심상과 동일하다고 주장했다.[53] 우리의 심상은 다른 물질적 존재의 복사가 아니라 실재 그 자체라는 것이다. 그러나 버클리는 외부 세계를 구성하는 심상과 개인의 상상력이 만들어내는 심상을 명확하게 구분했다. 버클리에 따르면 후자만이 현대적 의미의 "심상"으로 간주된다.[53]

18세기 영국의 작가 새뮤얼 존슨은 관념론을 비판했다.[53] 관념론에 대한 질문에 그는 큰 돌을 발로 차고 다리가 반동하며 "나는 이렇게 반박한다!"라고 대답했다고 전해진다.[53] 그의 요지는, 그 돌이 단지 또 다른 심상일 뿐이고 그 자체로 물질적 실존이 없다는 생각은 그가 방금 경험한 고통스러운 감각 데이터를 제대로 설명하지 못한다는 것이다.[53]

4. 심상의 종류

심상은 감각 양식에 따라 여러 종류로 나눌 수 있다. 시각 심상은 눈을 감았을 때 보이는 이미지나 기억 속 장면을 말하며, 청각 심상은 멜로디나 특정 소리를 머릿속으로 떠올리는 것이다. 후각 심상은 특정 냄새를, 촉각 심상은 물체의 질감이나 촉감을, 미각 심상은 음식의 맛을 떠올리는 것을 의미한다.

현대 연구자들은 이미지가 지각의 어떤 모드에서도 일어날 수 있다고 보고, 청각 이미지, 후각 이미지 및 기타 여러 이미지를 경험할 수 있다고 본다. 버클리, 같은 철학자와 분트, 제임스 같은 초기 경험론 심리학자들은 일반적으로 관념(ideas)이 심적 이미지라고 생각했다. 오늘날에는 이미지가 심적 표상으로 작용하여 기억사고에서 중요한 역할을 수행한다고 널리 믿어진다.

5. 심상과 인지 과정

우리는 독서를 할 때, 어떤 사건에 대해 심적인 이미지를 파악할 수 있다고 느끼는 이유가 무엇인지 신기하게 여길 때가 있다. 또한 백일몽을 꿀 때에도 의문이 든다. 이러한 경험으로 얻어지는 심적 이미지는 마치 머릿속에 그림이 있는 것처럼 보인다. 예를 들어, 음악가노래를 들을 경우, 때때로 머릿속에서 노래의 "음표"가 보이는 경우가 있다. 이것은 잔상과는 다르다. 예를 들어, 어떤 사건에서 유도된 잔상은 의식적인 통제 하에 있지 않다고 여겨진다. 그러나, 다른 한편, 상상에서, 혹은 마음속에서 이미지를 떠올릴 경우, 이미지는 의지의 자유에 따라 움직인다고 생각된다. 그러므로 이미지 또는 심상은 다양한 의식적 통제의 정도를 가지는 것으로 특징지어진다.

어떤 생물학자들에 따르면, 우리는 환경 세계에 대한 경험을 심적 이미지로서 축적하고 있으며, 심적 이미지는 다른 심적 이미지와 연합되거나 비교되어, 이로써 완전히 새로운 이미지가 합성된다고 한다. 예를 들어, 을 꾸거나, 상상력을 발휘할 때 이러한 일이 일어난다. 이 이론은, 이러한 과정을 통해, 우리는 세계가 어떻게 작동하는지에 대한 유용한 이론을, 심적 이미지의 적절한 연속에 기초하여 구성하는 것이 가능하며, 이 기구는 추론·연역 또는 시뮬레이션 과정을 통해 얻어지는 결과 등을 직접 경험하지 않아도 성립한다고 주장한다. 인간 이외의 생물이 이러한 능력을 가지고 있는지 여부는 논쟁되고 있다(「동물 인지」참조).

5. 1. 심상과 지각

심상과 지각은 많은 신경 기질을 공유하며, 시각 피질, 두정엽 피질, 전전두엽 피질 등에서 유사한 활성화를 보인다.[46] 코슬린과 동료들(1999)은 초기 시각 피질인 17영역과 18/19영역이 시각 심상 중에 활성화되며, 반복적인 경두개 자기 자극 (rTMS)을 통해 이 영역을 억제하면 시각 지각과 심상이 손상된다는 것을 발견했다.[47] 뇌 손상 환자 연구에서도 지각 손상과 심상 결손이 함께 나타나는 경우가 많아, 심상과 지각이 동일한 표상적 구성을 갖는다는 증거가 제시되었다.[48]

하지만, 베르만과 동료들(1992)이 보고한 시각 실인증 환자 C.K.의 사례처럼, 지각 결손에도 불구하고 심상이 온전한 경우도 있어, 두 과정이 완전히 동일한 신경 기질에 의해 매개되지 않을 수 있다는 주장도 제기된다.[49] C.K.는 차량 사고 후 시각 실인증을 앓게 되었는데, 물체를 인식하고 복사하는 능력은 손상되었지만, 기억으로부터 물체를 정확하게 그리는 능력은 온전하여 시각 심상이 정상임을 보여주었다.

슐레겔과 동료들(2013)은 기능적 자기 공명 영상 분석을 통해 시각 심상 조작 시 활성화되는 영역을 확인했는데, 후두엽, 복측 흐름 영역, 후두정 피질, precuneus, 전두안야, 배외측 전전두피질, 전전두피질 등이 포함되었다.[50] 이샤이 등(2010)은 동적 인과 모델링 (DCM)을 사용하여 시각 심상을 매개하는 네트워크의 활성화가 전전두피질 및 후두정 피질 활동에 의해 시작된다는 것을 입증했다.[52]

디스트라와 동료들(2017)은 시각 심상의 생생함의 변동이 시각 심상의 신경 기질이 시각 지각의 신경 기질과 겹치는 정도에 따라 달라진다는 것을 발견했다.[46] 그들은 전체 시각 피질, 두정엽 precuneus, 오른쪽 두정엽 피질, 그리고 내측 전두 피질에서 심상과 지각 사이의 겹침이 정신적 표상의 생생함을 예측한다는 것을 발견했다.

5. 2. 심상과 작업 기억

심상은 작업 기억과 밀접하게 관련되어 있으며, 전전두피질 및 후두정 피질의 활성화를 통해 장기 기억에서 심상이 검색되고 유지된다.[52] 전전두피질 및 후두정 피질의 활성화는 장기 기억에서 객체 표상을 검색하고, 작업 기억에 유지하고, 시각 심상 중에 주의를 기울이는 것과 관련이 있다.[52]

슐레겔과 동료들(2013)은 시각 심상 조작 중에 활성화된 영역에 대한 기능적 자기 공명 영상 분석을 수행했다.[50] 그들은 시각 이미지를 유지하는 것보다 시각 이미지를 조작할 때 활성이 증가하는 11개의 양측 대뇌 피질 및 피질하 영역을 확인했다. 이 영역에는 후두엽 및 복측 흐름 영역, 두 개의 두정엽 영역(후두정 피질 및 precuneus) 및 세 개의 전두엽 영역(전두안야, 배외측 전전두피질, 전전두피질)이 포함되었다.[50]

동적 인과 모델링 (DCM)을 사용하여 피질 네트워크의 연결성을 결정한 이샤이 등(2010)은 시각 심상을 매개하는 네트워크의 활성화가 전전두피질 및 후두정 피질 활동에 의해 시작된다는 것을 입증했다.[52] 기억에서 객체를 생성하면 전전두 및 후두정 영역이 처음 활성화된 다음 역방향 연결을 통해 초기 시각 영역이 활성화되었다.[52]

심상의 생생함은 작업 기억, 주의, 시각적 검사, 정신적 표상의 안정화 등과 관련된 뇌 영역의 활성화와 관련이 있다.[46] 디스트라와 동료들(2017)은 시각 심상의 생생함의 변동이 시각 심상의 신경 기질이 시각 지각의 신경 기질과 겹치는 정도에 따라 달라진다는 것을 발견했다.[46]

5. 3. 심상과 정신적 회전

로저 셰퍼드와 재클린 메츨러의 정신적 회전 실험은 인간의 마음이 정신적 심상을 지형적이고 위상적인 전체로 유지하고 조작한다는 것을 보여준다.[54] 이들은 피험자들에게 3차원 블록 "객체" 그룹의 2차원 선 그림을 제시하고, 그 "객체"가 두 번째 그림과 같은지, 그 중 일부는 첫 번째 "객체"의 회전인지 판단하도록 요청했다.[54] 그 결과, 정신적 심상 과제에서 회전 각도와 참가자가 답을 얻는 데 걸리는 시간 사이에 선형 관계가 있음을 발견했다.[54] 이는 당시 지배적이었던 인지 "직렬 디지털 컴퓨터" 관점[55]에서 가정하는 바와 달리, 객체를 분해한 다음 정신적으로 기본 수학적 명제로 재구성하는 것이 아니라, 이미지와 유사한 형태로 처리함을 시사한다.

스티븐 코슬린과 동료들의 신경 영상 실험은 "F"자 같은 객체의 정신적 심상이 인간 시각 피질의 특정 영역에서 이미지와 유사한 전체로 매핑되고, 유지되며, 회전된다는 것을 보여주었다.[56]

최근의 신경학 및 신경심리학 연구는 정신 심상이 운동 심상을 시각적이고 운동 감각적으로 나타낸다고 주장한다. 여러 연구에서 사람들이 신체의 관절과 호환되지 않는 방향으로 손과 같은 객체의 선 그림을 회전시키는 데 더 느리다는 증거를 제시했다.[57] 또한, 고통스럽고 부상당한 팔을 가진 환자는 부상당한 팔의 측면에서 손의 선 그림을 정신적으로 회전시키는 데 더 느리다는 연구 결과도 있다.[58]

코슬린을 포함한 일부 심리학자들은 이러한 결과가 시각적 및 운동 심상을 처리하는 뇌의 별개의 시스템 간의 간섭 때문에 발생한다고 주장했지만,[59], Amorim 등은 3차원 블록 도형의 셰퍼드와 메츨러의 선 그림에 원통형 "머리"를 추가했을 때 참가자들이 정신적 회전 문제를 더 빠르고 정확하게 해결했다는 것을 보여주었다.[60] 이는 운동적 구현이 정신 심상을 촉진할 수 있음을 시사한다.

6. 심상 훈련과 활용

일부 교육 이론가들은 심상에 대한 아이디어를 학습 스타일 연구에 활용해왔다. 이들은 사람들이 시각, 청각 및 운동 감각 시스템을 강조하는 학습 과정을 갖는 경우가 많다고 주장하며, 여러 중첩된 감각 시스템으로 가르치는 것이 학습에 도움이 된다고 본다. 이 이론가들에 따르면, 교사들은 시각, 청각 및 운동 감각 시스템과 잘 통합되는 내용과 미디어를 사용해야 한다.

교육 연구자들은 심상 경험이 학습 정도에 영향을 미치는지 연구해왔다. 예를 들어, 피아노 다섯 손가락 연습을 상상하는 것(정신적 연습)은 정신적 연습을 하지 않는 것보다 수행 능력이 상당히 향상되었지만, 실제 연습으로 인한 향상만큼은 아니었다. 연구 저자들은 "정신적 연습만으로도 초기 단계의 운동 기술 학습과 관련된 신경 회로의 조절을 촉진하기에 충분한 것으로 보인다"고 언급했다.[70]

심상 훈련은 일련의 연구에서 효과적이었으며, 대부분은 참가자들이 정신적 이미지를 향상시키기 위해 공식적인 기술을 배우는 스포츠 분야였다.[71] 심상 훈련은 또한 능력이 낮은 개인에게도 효과적이었다.[72]

6. 1. 스포츠 심리 훈련

심상 훈련은 여러 연구를 통해 그 효과가 입증되었는데, 특히 참가자들이 정신적 이미지 향상을 위한 공식적인 기술을 배우는 스포츠 분야에서 효과적이었다.[71] 운동선수들은 심상 훈련을 통해 경기력 향상, 기술 연습, 심리적 안정 등을 도모한다. 심상 훈련은 능력이 낮은 개인에게도 효과적이었다.[72]

2002년 FIFA 월드컵에서 대한민국 축구 국가대표팀의 성공 이후, 스포츠 심리 훈련의 중요성이 강조되면서 심상 훈련이 널리 보급되었다.

일부 교육 이론가들은 심상에 대한 아이디어를 학습 스타일 연구에 활용해왔다. 이들은 사람들이 시각, 청각 및 운동 감각 시스템을 강조하는 학습 과정을 갖는 경우가 많다고 주장하며, 여러 중첩된 감각 시스템으로 가르치는 것이 학습에 도움이 된다고 본다.

교육 연구자들은 심상 경험이 학습 정도에 영향을 미치는지 연구해왔다. 예를 들어, 피아노 다섯 손가락 연습을 상상하는 것은 정신적 연습을 하지 않는 것보다 수행 능력이 상당히 향상되었지만, 실제 연습으로 인한 향상만큼은 아니었다. 연구 저자들은 "정신적 연습만으로도 초기 단계의 운동 기술 학습과 관련된 신경 회로의 조절을 촉진하기에 충분한 것으로 보인다"고 언급했다.[70]

6. 2. 학습 스타일과 심상

일부 교육 이론가들은 심상에 대한 아이디어를 학습 스타일 연구에 활용해왔다. 이러한 이론의 지지자들은 사람들이 시각, 청각 및 운동 감각 시스템을 강조하는 학습 과정을 갖는 경우가 많다고 주장한다. 이 이론가들에 따르면, 여러 중첩된 감각 시스템으로 가르치는 것이 학습에 도움이 되며, 가능하다면 시각, 청각 및 운동 감각 시스템과 잘 통합되는 내용과 미디어를 사용하도록 교사들을 권장한다.

교육 연구자들은 심상 경험이 학습 정도에 영향을 미치는지 여부를 연구해왔다. 예를 들어, 피아노 다섯 손가락 연습을 상상하는 것(정신적 연습)은 정신적 연습을 하지 않는 것보다 수행 능력이 상당히 향상되었지만, 실제 연습으로 인한 향상만큼은 아니었다. 연구 저자들은 "정신적 연습만으로도 초기 단계의 운동 기술 학습과 관련된 신경 회로의 조절을 촉진하기에 충분한 것으로 보인다"고 언급했다.[70] 심상 훈련은 일련의 연구에서 효과적이었으며, 대부분은 참가자들이 정신적 이미지를 향상시키기 위해 공식적인 기술을 배우는 스포츠 분야였다.[71] 심상 훈련은 또한 능력이 낮은 개인에게도 효과적이었다.[72]

6. 3. 종교적 수행과 심상

정신적 시각화는 전 세계 종교에서 사용되며, 특히 기도명상의 보조 수단으로 활용된다.[73][74] 기독교 내에서 시각화의 가치에 대한 의견은 다양하다. 가톨릭교회에서는 시각화가 묵주를 암송하는 데 핵심적인 역할을 하며, 성경 장면을 시각화하는 데 사용될 수 있다. 그러나 동방 정교회에서는 이미지 기반 기도를 일반적으로 좋지 않게 여기는데, 이는 악마의 영향에 대한 문을 열고 헤시카즘 기도의 목표와 모순된다고 보기 때문이다. 금강승 불교와 본교는 얀트라, 탕카, 만다라 전통에서 정교한 시각화 또는 초개인 심리학의 진 휴스턴의 언어로 표현하면 '상상적인' 과정을 활용한다. 여기서 완전히 실현된 형태를 마음속에 담는 것은 신성한 지지 또는 기초를 제공할 '진정한' 새 예술 작품을 창조하기 위한 전제 조건이다.[73][74]

7. 심상의 개인차와 측정

참조

[1] 논문 McKellar, 1957
[2] 논문 Richardson, 1969
[3] 논문 Finke, 1989
[4] 논문 Thomas, 2003
[5] 학술지 Inspecting images
[6] 학술지 Mental Simulation as Substitute for Experience http://eprints.lse.a[...] 2016-07-01
[7] 논문 Reisberg, 1992
[8] 논문 Bensafi et al., 2003
[9] 문서 Aristotle: ''[[On the Soul]]'' III.3 428a
[10] 논문 Pavio, 1986
[11] 논문 Egan, 1992
[12] 논문 Barsalou, 1999
[13] 논문 Prinz, 2002
[14] 논문 Block, 1983
[15] 논문 Kosslyn, 1983
[16] 논문 Sartre, 1940
[17] 논문 Ryle, 1949
[18] 논문 Skinner, 1974
[19] 논문 Thomas, 1999
[20] 논문 Bartolomeo, 2002
[21] 논문 Bennett & Hacker, 2003
[22] 웹사이트 Cicero, ''De Oratore'', Liber III: XLI: 163. https://books.google[...] 2018-03-23
[23] 웹사이트 Watson, J.S. (trans. and ed.), ''Cicero on Oratory and Orators'', Harper & Brothers, (New York), 1875: Book III, C.XLI, p. 239. https://archive.org/[...]
[24] 웹사이트 ''The Man of Laws Tale'', lines 550–553. https://archive.org/[...]
[25] 웹사이트 Imagery of famous faces: effects of memory and attention revealed by fMRI http://www.ini.unizh[...] A. Ishai, J. V. Haxby and L. G. Ungerleider, ''NeuroImage'' '''17''' (2002), pp. 1729–1741. 2006-08-21
[26] 서적 A User's Guide to the Brain
[27] 서적 DMT: The Spirit Molecule: A Doctor's Revolutionary Research into the Biology of Near-Death and Mystical Experiences Park Street Press
[28] 학술지 Lives without imagery – Congenital aphantasia https://www.pure.ed.[...]
[29] 웹사이트 The Effects of Mental Imagery on Athletic Performance http://www.vanderbil[...] The Mental Edge 2013-12-20
[30] 서적 Musicophilia: Tales of Music and the Brain Picador
[31] 웹사이트 Allan Paivio, Dual Coding Theory http://www.lifecircl[...] 2010-06-16
[32] 웹사이트 Mental Imaging Theories http://faculty.merce[...]
[33] 서적 Fundamentals of Cognition Psychology Press
[34] 학술지 Gustatory Imagery Reveals Functional Connectivity from the Prefrontal to Insular Cortices Traced with Magnetoencephalography 2011-07-08
[35] 학술지 Playing piano in the mind – an fMRI study on music imagery and performance in pianists 2004-05-01
[36] 논문 'Inner voices': the cerebral representation of emotional voice cues described in literary texts 2014-11-01
[37] 논문 Same same but different: the case of olfactory imagery 2014-01-01
[38] 논문 Neural substrates of tactile imagery: a functional MRI study 2003-03-24
[39] 논문 Feel the Noise: Relating Individual Differences in Auditory Imagery to the Structure and Function of Sensorimotor Systems 2015-11-01
[40] 논문 A meta-analytic review of multisensory imagery identifies the neural correlates of modality-specific and modality-general imagery 2012-01-01
[41] 논문 Assessing the causal role of early visual areas in visual mental imagery 2020
[42] 논문 Visual mental imagery engages the left fusiform gyrus, but not the early visual cortex: A meta-analysis of neuroimaging evidence 2021
[43] 논문 Neural foundations of imagery
[44] 논문 Multiple tasks and neuroimaging modalities increase the likelihood of detecting covert awareness in patients with disorders of consciousness 2014-01-01
[45] 논문 Visual angle of the mind's eye before and after unilateral occipital lobectomy
[46] 웹사이트 "Vividness of Visual Imagery Depends on the Neural Overlap with Perception in Visual Areas” http://www.jneurosci[...] 2020-10-19
[47] 논문 The Role of Area 17 in Visual Imagery: Convergent Evidence from PET and RTMS https://www.science.[...] 1999-04-02
[48] 논문 Is Visual Imagery Really Visual? Overlooked Evidence From Neuropsychology
[49] 논문 Dissociation between mental imagery and object recognition in a brain-damaged patient
[50] 웹사이트 “Network structure and dynamics of the mental workspace” http://www.pnas.org/[...] 2021-02-12
[51] 서적 Fundamentals of Human Neuropsychology Worth Publishers
[52] 간행물 “Seeing faces and objects with the "mind's eye”"
[53] 논문 Johnson's Refutation of Berkeley: Kicking the Stone Again https://www.jstor.or[...] 1986-01-01
[54] 문서 Shepard and Metzler 1971
[55] 문서 Gardner 1987
[56] 문서 Kosslyn 1995; see also 1994
[57] 문서 Parsons 1987; 2003
[58] 문서 Schwoebel et al. 2001
[59] 문서 Kosslyn et al. 2001
[60] 문서 Amorim et al. 2006
[61] 논문 Is visual imagery really visual? Overlooked evidence from neuropsychology 1987-09-30
[62] 논문 Imagery and Perception Share Cortical Representations of Content and Location http://psych.wisc.ed[...] 2011-06-10
[63] 문서 Rohrer 2006
[64] 문서 Marks, 1973
[65] 문서 Rodway, Gillies and Schepman 2006
[66] 문서 Rodway et al. 2006
[67] 문서 Gur and Hilgard 1975
[68] 문서 Cui et al. 2007
[69] 문서 Andrade, J., May, J., Deeprose, C., Baugh, S. J., & Ganis, G. (2014). Assessing vividness of mental imagery: The Plymouth sensory imagery questionnaire. British Journal of Psychology, 105(4), 547-563
[70] 문서 Pascual-Leone et al. 1995
[71] 서적 The Role of Imagery in Performance 11. The Oxford handbook of sport and performance psychology 2012
[72] 논문 Imagery training for athletes with low imagery abilities https://doi.org/10.1[...] 2024
[73] 웹사이트 The Dalai Lama at MIT https://www.amazon.c[...] 2006
[74] 웹사이트 Mental Imagery http://psychology.be[...]
[75] 논문 Mental imagery training for treatment of central neuropathic pain: a narrative review http://dx.doi.org/10[...] 2019-04-15
[76] 논문 Mental Imagery as a Rehabilitative Therapy for Neuropathic Pain in People With Spinal Cord Injury: A Randomized Controlled Trial https://pubmed.ncbi.[...] 2020-11
[77] 문서 McKellar 1957
[78] 문서 Richardson 1969
[79] 문서 Finke 1989
[80] 문서 Thomas 2003
[81] 문서 Reisberg 1992
[82] 문서 Bensafi et al. 2003
[83] 문서 Allan Paivio 1986
[84] 문서 Kieran Egan 1992
[85] 문서 Lawrence W. Barsalou 1999
[86] 문서 Prinz 2002
[87] 문서 Ned Block 1983
[88] 문서 Stephen Kosslyn 1983
[89] 문서 장폴 사르트르 1940
[90] 문서 길버트 라일 1949
[91] 문서 B. F. 스키너 1974
[92] 문서 Thomas 1999
[93] 문서 Bartolomeo 2002
[94] 문서 Bennett & Hacker 2003



본 사이트는 AI가 위키백과와 뉴스 기사,정부 간행물,학술 논문등을 바탕으로 정보를 가공하여 제공하는 백과사전형 서비스입니다.
모든 문서는 AI에 의해 자동 생성되며, CC BY-SA 4.0 라이선스에 따라 이용할 수 있습니다.
하지만, 위키백과나 뉴스 기사 자체에 오류, 부정확한 정보, 또는 가짜 뉴스가 포함될 수 있으며, AI는 이러한 내용을 완벽하게 걸러내지 못할 수 있습니다.
따라서 제공되는 정보에 일부 오류나 편향이 있을 수 있으므로, 중요한 정보는 반드시 다른 출처를 통해 교차 검증하시기 바랍니다.

문의하기 : help@durumis.com