싸이오펜
"오늘의AI위키"의 AI를 통해 더욱 풍부하고 폭넓은 지식 경험을 누리세요.
1. 개요
싸이오펜은 벤젠과 유사한 냄새를 지닌 무색 액체로, 1882년 빅토르 마이어에 의해 발견되었다. 화성 게일 크레이터에서 싸이오펜 유도체가 발견되면서 생물학적 증거일 가능성이 제기되기도 했다. 싸이오펜은 다양한 반응을 통해 생성되며, 산업적으로는 이황화 탄소와 부탄올을 사용하여 연간 약 2,000톤 규모로 생산된다. 싸이오펜은 방향족 화합물이지만 벤젠보다 방향족성이 낮으며, 다양한 유도체와 중합체를 형성한다. 살충제, 의약품, 염료 등의 합성에 사용되며, 대한민국에서는 유기 전자 재료 연구 개발을 지원하여 차세대 디스플레이 및 에너지 기술 혁신을 추구한다.
더 읽어볼만한 페이지
- 싸이오펜 - 둘록세틴
둘록세틴은 세로토닌-노르에피네프린 재흡수 억제제(SNRI) 계열 약물로, 주요 우울 장애, 범불안 장애, 신경병성 통증, 만성 근골격 통증, 섬유근육통 등의 치료에 사용되며 미국 임상 종양학회에서는 화학요법으로 유발된 신경병증 치료를 위한 1차 약제로 권고하고, 일라이 릴리 앤드 컴퍼니에서 개발되어 2004년 미국 식품의약국(FDA)의 승인을 받아 시판되었다. - 싸이오펜 - 피란텔
피란텔은 기생충 감염 치료제로, 기생충의 신경근을 자극하여 마비를 유발해 몸 밖으로 배출시키는 구충제이며, 특정 환자에게는 투여가 금지되지만 개와 고양이에게는 안전하게 사용될 수 있고 다양한 상품명으로 판매된다. - 방향족 화합물 - 아드레날린
아드레날린(에피네프린)은 부신 수질에서 분비되는 호르몬이자 신경전달물질로, 스트레스 반응인 '투쟁-도피 반응'에 중요한 역할을 하며, 심박수 증가, 혈압 상승, 기관지 확장, 혈당 증가 등의 효과를 통해 신체가 위협에 대응하도록 돕고 아나필락시스나 심정지 치료에 사용된다. - 방향족 화합물 - 방향족성
방향족성은 고리 내 π 전자들의 비편재화로 인해 특정 고리형 분자가 비정상적으로 높은 안정성을 가지는 화학적 성질이며, 휴켈 규칙을 만족하는 평면 고리 구조에서 나타나 친전자성 방향족 치환 반응을 보이는 벤젠이 대표적인 예시이다. - 단순 방향족 고리 - 벤젠
벤젠은 6개의 탄소 원자가 정육각형으로 배열된 방향족 탄화수소로, 높은 안정성을 가지며 유기 화합물 합성에 중요하게 사용되지만 발암물질이므로 주의해야 한다. - 단순 방향족 고리 - 피라진
피라진은 다양한 유기 합성법을 통해 만들어지는 질소를 포함하는 방향족 헤테로 고리 화합물이며, 슈타이델-루그하이머 합성, 구트크네히트 합성, 가스탈디 합성 등 다양한 합성법이 존재한다.
싸이오펜 - [화학 물질]에 관한 문서 | |
---|---|
일반 정보 | |
![]() | |
![]() | |
![]() | |
![]() | |
IUPAC 명칭 | 티오펜 |
다른 이름 | 티오퓨란 티아시클로펜타디엔 티올 |
화학식 | C₄H₄S |
분자량 | 84.14 g/mol |
외형 | 무색 액체 |
밀도 | 1.051 g/mL (액체) |
녹는점 | -38 °C |
끓는점 | 84 °C |
점성 | 0.8712 cP (0.2 °C) |
굴절률 | 1.5287 |
자기 감수율 | -57.38·10⁻⁶ cm³/mol |
구조 | |
쌍극자 모멘트 | 해당 없음 |
위험성 | |
주요 위험 | 독성 |
신호어 | 위험 |
NFPA 704 | 건강: 2 화재: 3 반응성: 0 |
인화점 | -1 °C |
관련 화합물 | |
관련 작용기 (티오에테르) | 테트라하이드로티오펜 다이에틸 설파이드 |
다른 관련 화합물 | 퓨란 셀레노펜 피롤 |
식별자 | |
ChEBI | 30856 |
SMILES | c1ccsc1 |
PubChem CID | 8030 |
ChemSpider ID | 7739 |
UNII | SMB37IQ40B |
InChI | 1/C4H4S/c1-2-4-5-3-1/h1-4H |
InChIKey | YTPLMLYBLZKORZ-UHFFFAOYAY |
ChEMBL | 278958 |
StdInChI | 1S/C4H4S/c1-2-4-5-3-1/h1-4H |
StdInChIKey | YTPLMLYBLZKORZ-UHFFFAOYSA-N |
CAS 등록번호 | 110-02-1 |
RTECS 번호 | XM7350000 |
2. 역사
싸이오펜은 1882년 빅토르 마이어가 벤젠의 불순물로 발견하였다.[3] 이사틴(인돌)과 황산을 섞은 벤젠에서 파란색 염료가 형성되는 것이 관찰되었는데, 오랫동안 파란색 인도페닌이 형성되는 것은 벤젠 자체의 반응으로 여겨졌다. 그러나 빅토르 마이어는 이 반응을 일으키는 물질이 싸이오펜임을 밝혀내고 분리하였다.[4]
2012년부터 2017년까지 화성 게일 크레이터에서 탐사 로버 '''큐리오시티'''가 35억 년 된 화성 토양 퇴적물에서 싸이오펜 유도체를 검출했다.[5] 이는 유기물질 탐사에서 화성 과학 실험실 (MSL) 임무의 중요한 이정표가 된다. 화성 분석 실험실 (SAM) 장비로 호수 진흙암 샘플을 고온으로 가열하여 발생한 기체를 기체 크로마토그래피-질량 분석법 (GC-MS)으로 분석한 결과, 여러 싸이오펜 화합물을 포함한 방향족 및 지방족 분자가 검출되었다.[6] 거대 분자 내 탄소-황 결합은 유기물의 장기적인 보존에 기여했을 수 있다. 이 분자들의 기원과 형성 방식이 생물학적인지 비생물학적인지는 알려져 있지 않지만,[7] 싸이오펜 화합물이 화성에서 고대 생물학적 증거일 가능성이 제기되었다.
2. 1. 발견
싸이오펜은 1882년 빅토르 마이어가 벤젠의 불순물로 발견하였다.[3] 이사틴(인돌)과 황산을 섞은 조잡한 벤젠에서 파란색 염료가 형성되는 것이 관찰되었는데, 오랫동안 파란색 인도페닌이 형성되는 것은 벤젠 자체의 반응으로 여겨졌다. 그러나 빅토르 마이어는 이 반응을 일으키는 실제 물질이 싸이오펜임을 밝혀내고 분리하였다.[4]2. 2. 화성에서의 발견
2012년부터 2017년까지 화성 게일 크레이터에서 탐사 로버 '''큐리오시티'''가 35억 년 된 화성 토양 퇴적물(머레이 지층, 파럼프 힐스)에서 싸이오펜 유도체를 나노몰 수준으로 검출했다.[5] 이는 붉은 행성에서 오랫동안 찾던 유기물질 탐사에서 화성 과학 실험실 (MSL) 임무의 중요한 이정표가 된다. 화성 분석 실험실 (SAM) 장비로 호수 진흙암 샘플을 500°~820 °C의 고온으로 가열하여 발생한 기체를 기체 크로마토그래피-질량 분석법 (GC-MS)으로 분석한 결과, 여러 싸이오펜 화합물을 포함한 방향족 및 지방족 분자가 검출되었다.[6] 거대 분자 내 탄소-황 결합의 존재는 유기물의 장기적인 보존에 기여했을 수 있다. SAM 장비로 분석한 유기 분자의 약 5%가 유기 황을 포함하는 것으로 추정된다. 이러한 분자의 기원과 형성 방식이 생물학적인지 비생물학적인지는 알려져 있지 않지만,[7] 이 발견으로 싸이오펜 화합물이 화성에서 고대 생물학적 증거일 가능성이 제기되었다. ''로잘린드 프랭클린''[8]과 같은 차세대 화성 로버를 통해 미량 수준의 탄소 동위원소(δ13C)를 자세히 분석하여 이러한 유기 분자가 지구상의 살아있는 미생물이 일반적으로 가지고 있는 가벼운 탄소(12C)로 농축되어 있는지 여부를 결정해야 할 것이다.3. 제법
싸이오펜은 팔-크노르 싸이오펜 합성을 통해 합성할 수 있는데, 1,4-다이케톤, 다이에스터 또는 다이카복실레이트와 P4S10과 같은 황화제를 반응시켜 제조한다. 특수한 싸이오펜은 라베손 시약을 황화제로 사용하거나, 게발트 반응(두 개의 에스터를 축합시키는 반응) 또는 볼하드-에르트만 고리화 반응을 통해 합성할 수 있다.[9]
실험실에서는 호박산 나트륨에 오황화 이인(P2S5) 또는 삼황화 이인(P2S3)과 이산화 탄소의 조합 중 어느 하나를 반응시키면 싸이오펜이 생성된다.
3. 1. 산업적 생산
싸이오펜은 전 세계적으로 연간 약 2000ton 규모로 생산된다. 일반적으로 이황화 탄소와 부탄올 등의 C-4 공급원을 500–550 °C에서 산화물 촉매와 반응시켜 생산한다.[9]공업적으로는 퓨란 또는 메틸퓨란과 이황화 탄소(CS2)를 반응시키거나, 부탄, 부텐 또는 부타디엔과 황을 함께 고온에서 반응시켜 제조한다.
3. 2. 실험실적 합성
싸이오펜은 팔-크노르 싸이오펜 합성을 통해 합성할 수 있는데, 1,4-다이케톤, 다이에스터 또는 다이카복실레이트와 P4S10과 같은 황화제를 반응시켜 제조한다. 특수한 싸이오펜은 라베손 시약을 황화제로 사용하거나, 게발트 반응을 통해 합성할 수 있는데, 이는 원소 황 존재 하에서 두 개의 에스터를 축합시키는 반응이다. 볼하드-에르트만 고리화 반응을 통해서도 합성할 수 있다.[9]실험실에서는 호박산 나트륨에 오황화 이인(P2S5) 또는 삼황화 이인(P2S3)과 이산화 탄소의 조합 중 어느 하나를 반응시키면 싸이오펜이 생성된다.
4. 성질 및 구조
싸이오펜은 실온에서 벤젠과 비슷한 냄새가 나는 무색 액체이다. 벤젠과 끓는점이 비슷하여(상압에서 4°C 차이) 증류로 분리하기 어렵지만, 설폰화 반응을 통해 분리할 수 있다. 벤젠과 마찬가지로 싸이오펜은 에탄올과 공비혼합물을 형성한다.
싸이오펜 분자는 평평하며, 황 원자의 결합각은 약 93°, C–C–S 각도는 약 109°, 다른 두 탄소의 결합각은 약 114°이다.[10] 황에 인접한 탄소로의 C–C 결합 길이는 약 1.34Å, C–S 결합 길이는 약 , 다른 C–C 결합 길이는 약 1.41Å이다.[10]
5. 반응성
싸이오펜은 방향족 화합물로 간주되지만, 이론적 계산에 따르면 벤젠보다 방향족성이 낮다. 황 원자의 "전자쌍"은 파이 전자 계에서 상당히 비편재화되어 있다. 싸이오펜은 방향족성으로 인해 기존의 황화물에서 보이는 특성을 나타내지 않는다. 예를 들어, 황 원자는 알킬화 및 산화에 저항한다.[11]
싸이오펜의 미량 검출을 확인하는 정성 반응은 '''인도페닌 반응'''이라고 하며, 싸이오펜은 진한 황산 존재 하에 이사틴과 반응시키면 청색 색소 인도페닌을 생성함으로써 확인된다. 또는, 기체 크로마토그래피 등의 방법으로도 동정이 가능하다.
5. 1. 산화 반응
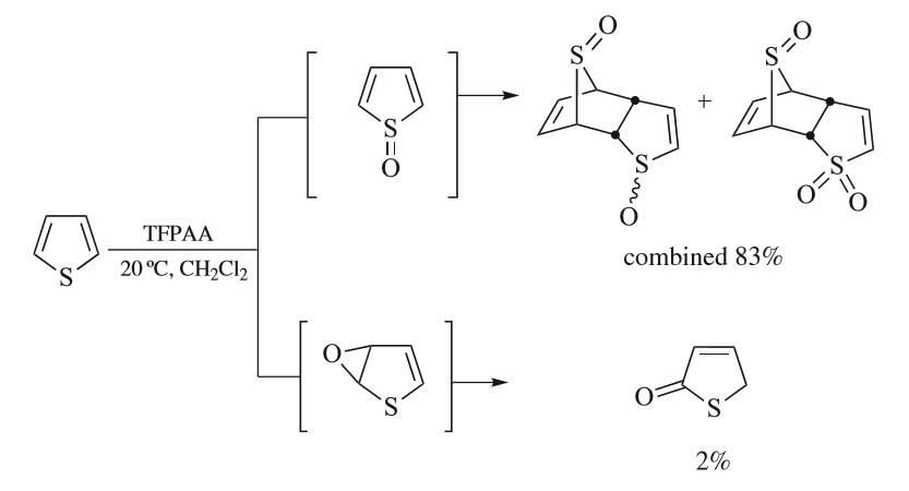
싸이오펜은 황 원자에서 산화되어 싸이오펜 ''S''-산화물을 생성할 수 있다. 또한 2,3-이중 결합에서 산화되어 싸이오펜 2,3-에폭사이드를 생성하고, 이어서 NIH 이동 재배열이 일어난다.[11] 트리플루오로과산아세트산을 이용한 싸이오펜의 산화 반응은 두 가지 반응 경로를 모두 보여준다. 주요 경로는 중간체인 ''S''-산화물을 형성하고, 이는 이후 딜스-알더형 이량체화 및 추가 산화를 거쳐 설폭사이드와 설폰 생성물의 혼합물을 형성하며, 결합 수율은 83%이다( NMR 증거에 근거함).[12][13]
부반응 경로에서는 프릴레자예프 반응[14]으로 싸이오펜-2,3-에폭사이드가 형성되며, 이는 빠르게 재배열 반응을 거쳐 이성질체인 싸이오펜-2-온으로 재배열된다.[1] 트래핑 실험[15]은 이 경로가 ''S''-산화물 중간체로부터의 부반응이 아님을 보여준다. 반면, 중수소를 사용한 동위원소 표지는 1,2-수소화물 이동이 일어나고, 따라서 양이온 중간체가 관여함을 확인시켜준다.[1] 반응 혼합물이 무수 상태가 아니면, 이 부반응 경로는 물이 경쟁적인 염기로 작용하여 억제된다.[1]
싸이오펜의 산화는 티에닐산 및 연구용 항암제 OSI-930과 같은 다양한 싸이오펜 함유 약물의 대사 활성화와 관련이 있을 수 있다.[16][17][18][19]
5. 2. 친전자성 치환 반응
황 원자는 비교적 반응성이 낮지만, 2번과 5번 위치의 탄소는 친전자체의 공격에 매우 취약하다. 할로젠은 처음에 2-할로 유도체를 생성하고, 이어서 2,5-다이할로싸이오펜을 생성한다. 완전 할로겐화는 쉽게 이루어져 C4X4S (X = Cl, Br, I)를 생성한다.[20] 싸이오펜은 벤젠보다 107배 빠르게 브롬화 반응을 일으킨다. 아세틸화 반응은 쉽게 일어나 2-아세틸싸이오펜을 생성하며, 이는 싸이오펜-2-카복실산과 싸이오펜-2-아세트산의 전구체이다.[9]클로로메틸화와 클로로에틸화는 2,5번 위치에서 쉽게 일어난다. 클로로메틸 생성물의 환원 반응은 2-메틸싸이오펜을 생성한다. 클로로에틸 화합물의 가수분해 후 탈수 반응은 2-비닐싸이오펜을 생성한다.[21][22]
싸이오펜은 방향족성을 가지므로, 그 이중 결합에 대한 부가 반응은 일어나기 어렵다. 할로젠화, 니트로화, 프리델-크래프츠 반응 등 친전자성 치환 반응은 주로 2위에 선택적으로 일어난다.
5. 3. 탈황 반응
라니 니켈을 이용한 싸이오펜의 탈황 반응은 부탄을 생성한다. 싸이오펜의 쉬운 2,5-이중작용화 반응과 결합하면, 탈황 반응은 1,4-이치환 부탄으로 가는 경로를 제공한다.[1]5. 4. 중합 반응
싸이오펜의 2,5 위치를 통해 연결하여 형성된 중합체는 폴리싸이오펜이라고 불린다. 중합은 전기 중합과 같은 전기화학적 방법 또는 전자 전달 시약을 사용하여 산화시켜 수행된다.[23] 이상적인 방정식은 다음과 같다.:n C4H4S → (C4H2S)n + 2n H+ + 2n e−
폴리싸이오펜 자체는 처리 특성이 좋지 않아 거의 연구되지 않는다. 더 유용한 것은 EDOT(에틸렌다이옥시싸이오펜)과 같이 3- 및 3, 4- 위치에서 치환된 싸이오펜에서 파생된 중합체이다. 폴리싸이오펜은 부분 산화 시 전기 전도성을 얻게 되는데, 이는 일반적으로 금속에서 관찰되는 특성 중 일부를 얻게 되는 것이다.[23]
6. 싸이오펜 유도체
6. 1. 티에닐기
싸이오펜이 탈양성자화되면 티에닐기(C₄H₃S⁻)로 변환된다. 음이온 자체는 존재하지 않지만, 유기리튬 유도체는 존재한다. 따라서 싸이오펜과 부틸리튬의 반응은 2-리튬싸이오펜, 즉 2-티에닐리튬을 생성한다. 이 시약은 친전자체와 반응하여 티올과 같은 티에닐 유도체를 생성한다.[25] 티에닐리튬의 산화는 2,2'-디티에닐(C₄H₃S)₂을 생성한다. 티에닐리튬은 고차 혼합 쿠프레이트의 제조에 사용된다.[26] 티에닐 음이온 등가물의 커플링은 디티에닐을 생성하는데, 이는 바이페닐의 유사체이다.6. 2. 고리 융합 싸이오펜
싸이오펜과 벤젠 고리가 융합하면 벤조싸이오펜이 생성된다. 두 개의 벤젠 고리와 융합하면 다이벤조싸이오펜(DBT) 또는 나프토싸이오펜이 생성된다. 싸이오펜 고리 한 쌍이 융합하면 티에노싸이오펜의 이성질체가 생성된다.7. 이용
싸이오펜은 농약 및 의약품의 구성 요소로 널리 사용되는 중요한 헤테로고리 화합물이다.[9] 생물학적 활성 화합물의 벤젠 고리는 활성을 잃지 않고 종종 싸이오펜으로 대체될 수 있다.[27] 이는 NSAID인 로르녹시캄(피록시캄의 싸이오펜 유사체) 및 수펜타닐(펜타닐의 싸이오펜 유사체)과 같은 예에서 볼 수 있다.
염료, 의약품, 농약 등 싸이오펜을 부분 구조로 갖는 화합물은 많다. 또한 싸이오펜을 포함하는 중합체로서 폴리(3-알킬싸이오펜)이나 폴리싸이오펜비닐렌 등이 알려져 있으며, 폴리싸이오펜류는 전도성을 나타내기 때문에 유기 금속이나 유기 반도체 등의 연구 대상으로서도 주목받고 있다.
참조
[1]
서적
Nomenclature of Organic Chemistry: IUPAC Recommendations and Preferred Names 2013
Royal Society of Chemistry
2014
[2]
GESTIS
GESTIS 010090
https://gestis.dguv.[...]
[3]
논문
Ueber den Begleiter des Benzols im Steinkohlenteer
https://zenodo.org/r[...]
[4]
논문
The Chemistry of Isatin
[5]
논문
NASA rover hits organic pay dirt on Mars
[6]
논문
Organic matter preserved in 3-billion-year-old mudstones at Gale crater, Mars
https://authors.libr[...]
[7]
논문
Thiophenes on Mars: Biotic or Abiotic Origin?
[8]
웹사이트
The Curiosity rover found organic molecules on Mars. This is why they're exciting
https://edition.cnn.[...]
2020-03-06
[9]
서적
Ullmann's Encyclopedia of Industrial Chemistry
Wiley-VCH
2006
[10]
문서
Cambridge Structural Database
[11]
논문
Chemical and Biological Oxidation of Thiophene: Preparation and Complete Characterization of Thiophene ''S-Oxide'' Dimers and Evidence for Thiophene ''S''-Oxide as an Intermediate in Thiophene Metabolism ''in Vivo'' and ''in Vitro''
[12]
논문
Mechanism of the Aromatic Hydroxylation of Thiophene by Acid-Catalyzed Peracid Oxidation
[13]
간행물
Encyclopedia of Reagents for Organic Synthesis
[14]
서적
Name Reactions of Functional Group Transformations
John Wiley & Sons
[15]
서적
Modern Physical Organic Chemistry
University Science Books
[16]
논문
Thiophene ''S''-oxides as new reactive metabolites: Formation by cytochrome-P450 dependent oxidation and reaction with nucleophiles
[17]
논문
Differential Oxidation of Two Thiophene-Containing Regioisomers to Reactive Metabolites by Cytochrome P450 2C9
[18]
논문
Sulfenic acids as reactive intermediates in xenobiotic metabolism
https://zenodo.org/r[...]
[19]
논문
Metabolic Activation of Prasugrel: Nature of the Two Competitive Pathways Resulting in the Opening of Its Thiophene Ring
[20]
OrgSynth
2-Iodolthiophene
[21]
OrgSynth
2-Vinylthiophene
[22]
OrgSynth
2-Chloromethylthiophene
[23]
논문
Conjugated poly(thiophenes): synthesis, functionalization, and applications
[24]
문서
"The Coordination Chemistry of Thiophenes"
Progress in Inorganic Chemistry
[25]
OrgSynth
2-Thiophenethiol
[26]
논문
Mixed Higher-order Cyanocuprate-induced Epoxide Openings: 1-Benzyloxy-4-penten-2-ol
[27]
서적
The Organic Chemistry of Drug Synthesis
Wiley Interscience
[28]
웹사이트
法規情報
https://www.tcichemi[...]
東京化成工業株式会社
본 사이트는 AI가 위키백과와 뉴스 기사,정부 간행물,학술 논문등을 바탕으로 정보를 가공하여 제공하는 백과사전형 서비스입니다.
모든 문서는 AI에 의해 자동 생성되며, CC BY-SA 4.0 라이선스에 따라 이용할 수 있습니다.
하지만, 위키백과나 뉴스 기사 자체에 오류, 부정확한 정보, 또는 가짜 뉴스가 포함될 수 있으며, AI는 이러한 내용을 완벽하게 걸러내지 못할 수 있습니다.
따라서 제공되는 정보에 일부 오류나 편향이 있을 수 있으므로, 중요한 정보는 반드시 다른 출처를 통해 교차 검증하시기 바랍니다.
문의하기 : help@durumis.com