맨위로가기

글리세롤 탈수소효소

"오늘의AI위키"는 AI 기술로 일관성 있고 체계적인 최신 지식을 제공하는 혁신 플랫폼입니다.
"오늘의AI위키"의 AI를 통해 더욱 풍부하고 폭넓은 지식 경험을 누리세요.

1. 개요

글리세롤 탈수소효소(GlyDH)는 370개의 아미노산으로 구성된 단일 폴리펩타이드 사슬로 이루어진 8개의 동일한 서브유닛으로 구성된 동종 팔량체 효소이다. 각 서브유닛은 9개의 베타 시트와 14개의 알파 나선을 포함하며, 두 도메인 사이에 활성 부위가 존재한다. 이 효소는 글리세롤을 글리세론으로 산화시키는 반응을 촉매하며, NAD+를 조효소로 사용한다. GlyDH는 혐기성 조건에서 글리세롤을 효과적으로 산화시키며, 산업적으로는 바이오디젤 생산 부산물인 조글리세롤을 활용하기 위한 바이오기술 연구에 활용된다.

더 읽어볼만한 페이지

  • 구조가 알려진 효소 - 젖산 탈수소효소
    젖산 탈수소효소(LDH)는 피루브산을 젖산으로 또는 그 역반응을 촉매하는 효소로, 해당 과정과 코리 회로에서 작용하며, 5가지 동질효소 형태로 존재하고, 혈청 내 수치는 조직 손상 지표로 사용되며, 암세포 에너지 대사 및 유전 질환과도 관련되어 그 기능과 관련 질환에 대한 연구가 지속적으로 진행되고 있다.
  • 구조가 알려진 효소 - 유비퀴논:사이토크롬 c 산화환원효소
    유비퀴놀:사이토크롬 c 산화환원효소는 유비퀴놀 산화와 시토크롬 c 환원을 촉매하는 효소로, 척추동물에서는 11개의 소단위체로 구성되어 미토콘드리아 내막에서 전자 전달을 통해 ATP 생산과 양성자 기울기 형성에 기여한다.
  • NADH 의존 효소 - 알코올 탈수소효소
    알코올 탈수소효소(ADH)는 알코올을 알데히드 또는 케톤으로 산화시키는 효소 그룹으로, 에탄올 대사에 중요한 역할을 하며 알코올 발효, 카이랄 알코올 합성 등 다양한 분야에 응용된다.
  • NADH 의존 효소 - 아이소시트르산 탈수소효소
    아이소시트르산 탈수소효소(IDH)는 TCA 회로에서 아이소시트르산을 α-케토글루타르산으로 전환하는 효소로, NAD+ 또는 NADP+를 조효소로 사용하며 특정 유전자 변이는 암과 관련될 수 있다.
  • EC 1.1.1 - 젖산 탈수소효소
    젖산 탈수소효소(LDH)는 피루브산을 젖산으로 또는 그 역반응을 촉매하는 효소로, 해당 과정과 코리 회로에서 작용하며, 5가지 동질효소 형태로 존재하고, 혈청 내 수치는 조직 손상 지표로 사용되며, 암세포 에너지 대사 및 유전 질환과도 관련되어 그 기능과 관련 질환에 대한 연구가 지속적으로 진행되고 있다.
  • EC 1.1.1 - 알코올 탈수소효소
    알코올 탈수소효소(ADH)는 알코올을 알데히드 또는 케톤으로 산화시키는 효소 그룹으로, 에탄올 대사에 중요한 역할을 하며 알코올 발효, 카이랄 알코올 합성 등 다양한 분야에 응용된다.

2. 구조

글리세롤 탈수소효소는 370개의 아미노산으로 구성된 단일 폴리펩타이드 사슬(분자량 42,000 Da)로 만들어진 8개의 동일한 단량체 서브유닛으로 구성된 동종 팔량체이다. 각 서브유닛은 N-말단(잔기 1-162), C-말단(잔기 163–370)의 두 개 도메인 내에 9개의 베타 시트와 14개의 알파 나선을 포함한다. 이 두 도메인 사이에 형성된 깊은 틈새는 효소의 활성 부위 역할을 한다.[9]

2. 1. 활성 부위

글리세롤 탈수소효소의 활성 부위는 두 개의 도메인 사이에 형성된 깊은 틈새에 위치한다. 활성 부위는 하나의 결합된 금속 이온, 하나의 NAD+ 니코틴아미드 링 결합 부위, 그리고 기질 결합 부위로 구성된다.

''B. stearothermophilus''의 구조 연구에 따르면 활성 부위에는 2가 양이온인 아연 이온(Zn2+)이 존재한다. 아연 이온은 아미노산 잔기 Asp173, His256, His274와 물 분자 사이에 사면체 쌍극자 상호작용을 형성한다.

N-말단 도메인 내의 Rossmann fold와 유사한 NAD+ 결합 부위는 효소 표면에서 활성 부위를 포함하는 틈새로 확장된다. 니코틴아미드 링(NAD+의 활성 영역)은 Asp100, Asp123, Ala124, Ser127, Leu129, Val131, Asp173, His174, Phe247 잔기로 구성된 틈새의 포켓에 결합한다.

기질 결합 부위는 Asp123, His256, His274 잔기와 물 분자로 구성된다.[9]

2. 2. NAD+ 결합 부위

글리세롤 탈수소효소의 활성 부위는 두 개의 도메인 사이에 형성된 깊은 틈새에 위치하며, 이 틈새는 NAD+ 니코틴아미드 링 결합 부위를 포함한다. ''B. stearothermophilus''의 구조 연구에 따르면, 활성 부위에는 2가 양이온인 아연 이온(Zn2+)이 존재한다. 이 아연 이온은 아미노산 잔기 Asp173, His256, His274와 물 분자 사이에 사면체 쌍극자 상호작용을 형성한다.

N-말단 도메인 내의 Rossmann fold와 유사한 NAD+ 결합 부위는 효소 표면에서 활성 부위를 포함하는 틈새로 확장된다. 니코틴아미드 링(NAD+의 활성 영역)은 Asp100, Asp123, Ala124, Ser127, Leu129, Val131, Asp173, His174, Phe247 잔기로 구성된 틈새의 포켓에 결합한다.[9]

2. 3. 기질 결합 부위

''B. stearothermophilus''의 구조에 대한 연구에 따르면 활성 부위에는 2가 양이온인 아연 이온(Zn2+)이 포함되어 있다. 이 아연 이온은 아미노산 잔기 Asp173, His256, His274와 물 분자 사이에 사면체 쌍극자 상호 작용을 형성한다.

N-말단 도메인 내의 Rossmann fold와 유사한 NAD+ 결합 부위는 효소 표면에서 활성 부위를 포함하는 틈새로 확장된다. 니코틴아미드 링(NAD+의 활성 영역)은 Asp100, Asp123, Ala124, Ser127, Leu129, Val131, Asp173, His174, Phe247 잔기로 구성된 틈새의 포켓에 결합한다.

기질 결합 부위는 Asp123, His256, His274 잔기와 물 분자로 구성된다.[9]

3. 기능

글리세롤 탈수소효소는 gldA 유전자에 의해 암호화되며, 글리세롤을 글리세론으로 산화시키는 반응을 촉매한다. 글리세롤 탈수소효소는 ATP 비의존적 조건에서 혐기성 대사 경로를 통해 글리세롤을 효과적으로 산화시킨다(세균에서 글리세롤 분해에 유용한 메커니즘).[10] 이는 글리세롤을 이용하는 더 일반적인 경로와는 다른 방식이다. 또한 글리세롤 탈수소효소는 C2 수산기를 선택적으로 산화시켜 말단 수산기를 형성함으로써 알데하이드를 생성하는 대신 케톤을 형성한다.[10]

4. 메커니즘

글리세롤 탈수소효소의 정확한 작용 기전은 아직 밝혀지지 않았지만, 운동 연구 결과에 따르면 글리세롤 탈수소효소의 화학 반응 촉매 작용인

:글리세롤 + NAD+ \rightleftharpoons 글리세론 + NADH + H+

은 다른 알코올 탈수소효소와 유사하다. 따라서, 다음 기전은 NAD+에 의한 글리세롤 산화에 대한 합리적인 설명을 제공한다.

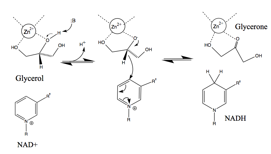
글리세롤 탈수소효소의 작용 기전


NAD+가 효소에 결합된 후, 글리세롤 기질은 두 개의 인접한 수산기 사이와 인접한 아연 이온 사이에서 두 개의 배위 결합을 갖는 방식으로 활성 부위에 결합한다. 그 다음 글리세롤 탈수소효소는 C2 수산기의 염기 촉매 탈양성자화 반응을 촉매하여 알콕사이드를 형성한다. 아연 원자는 알콕사이드 중간체에서 음전하를 안정화시킨 다음, 하전된 산소 원자 주변의 과도한 전자 밀도가 이동하여 C2 탄소 원자와 이중 결합을 형성한다. 수소화물은 차례로 2차 탄소에서 제거되어 NAD+ 니코틴아마이드 고리로의 전자 전달에서 친핵체 역할을 한다. 그 결과, 염기에 의해 제거된 H+는 주변 용액으로 양성자 형태로 방출되고, 이어 생성물인 글리세론과 NADH가 글리세롤 탈수소효소에 의해 방출된다.[11]

5. 산업적 응용

바이오디젤 생산량이 증가하면서 부산물인 조글리세롤 생성량도 함께 증가하고 있다. 조글리세롤은 기존 산업에서 활용하기에는 정제 비용이 많이 들어, 이를 활용할 새롭고 경제적인 방법을 찾기 위한 연구가 진행되고 있다. 글리세롤 탈수소효소는 글리세롤을 글리세론으로 전환하는 촉매로, 이러한 산업적 목적을 위해 연구되는 효소 중 하나이다.[12]

5. 1. 바이오기술 활용

바이오디젤 생산량이 증가함에 따라 부산물인 조글리세롤 생성량 또한 증가하고 있다. 글리세롤은 식품, 의약품, 화장품 및 기타 산업에서 일반적으로 사용되지만, 조글리세롤 생산량 증가는 이러한 산업에서 정제하고 활용하는 데 매우 많은 비용이 든다. 이 때문에 연구자들은 저급 글리세롤 제품을 활용할 수 있는 새롭고 경제적인 방법을 찾는 데 관심을 가지고 있다. 바이오기술은 그러한 기술 중 하나로, 특정 효소를 사용하여 조글리세롤을 분해하여 1,3-프로판디올, 1,2-프로판디올, 석신산, 다이하이드록시아세톤(글리세론), 수소, 폴리글리세롤 및 폴리에스터와 같은 제품을 형성한다. 글리세롤을 글리세론으로 전환하는 촉매로서, 글리세롤 탈수소효소는 이러한 산업적 목적을 위해 연구되고 있는 효소 중 하나이다.[12]

참조

[1] 논문 Cloning and characterization of a gene from Bacillus stearothermophilus var. non-diastaticus encoding a glycerol dehydrogenase
[2] 논문 Purification and Properties of Glycerol: NAD+ 2-Oxidoreductase (Glycerol Dehydrogenase) from Schizosaccharomyces pombe
[3] 논문 A DPN Specific Glycerol Dehydrogenase from Aerobacter Aerogenes1
[4] 논문 The activation of glycerol dehydrogenase from ''Aerobacter aerogenes'' by monovalent cations
[5] 논문 Comparison of the mechanism of Glycerol Oxidation in Aerobically and Anaerobically Grown Streptococcus Faecalis 1960-04
[6] 논문 Purification and some properties of glycerol dehydrogenase from Erwinia aroideae
[7] 논문 Isolierung und Charakterisierung von Glycerin-Dehydrogenase ausBacillus megaterium
[8] 논문 Isolation and characterisation of the glycerol dehydrogenase from Bacillus stearothermophilus
[9] 논문 Glycerol Dehydrogenase https://eprints.soto[...]
[10] 논문 Isotopic Analysis of the Reaction Catalyzed by Glycerol Dehydrogenase
[11] 논문 Relating Protein Motion to Catalysis
[12] 논문 Value-added Utilization of Crude Glycerol from Biodiesel Production: A Survey of Current Research Activities http://www.webpages.[...] 2014-03-03
[13] 논문 Cloning and characterization of a gene from Bacillus stearothermophilus var. non-diastaticus encoding a glycerol dehydrogenase https://archive.org/[...]
[14] 논문 Purification and Properties of Glycerol: NAD+ 2-Oxidoreductase (Glycerol Dehydrogenase) from Schizosaccharomyces pombe



본 사이트는 AI가 위키백과와 뉴스 기사,정부 간행물,학술 논문등을 바탕으로 정보를 가공하여 제공하는 백과사전형 서비스입니다.
모든 문서는 AI에 의해 자동 생성되며, CC BY-SA 4.0 라이선스에 따라 이용할 수 있습니다.
하지만, 위키백과나 뉴스 기사 자체에 오류, 부정확한 정보, 또는 가짜 뉴스가 포함될 수 있으며, AI는 이러한 내용을 완벽하게 걸러내지 못할 수 있습니다.
따라서 제공되는 정보에 일부 오류나 편향이 있을 수 있으므로, 중요한 정보는 반드시 다른 출처를 통해 교차 검증하시기 바랍니다.

문의하기 : help@durumis.com