당펩타이드
"오늘의AI위키"의 AI를 통해 더욱 풍부하고 폭넓은 지식 경험을 누리세요.
1. 개요
당펩타이드는 당과 펩타이드가 결합된 분자이다. 글리칸 결합 방식에는 N-결합, O-결합, C-결합이 있으며, N-결합은 아스파라긴에, O-결합은 세린 또는 트레오닌에, C-결합은 트립토판에 결합하는 방식이다. 당펩타이드는 고체상 펩타이드 합성, 선형 어셈블리, 수렴 어셈블리, Glyco-SPOT 합성 기술, 천연 화학적 라이게이션 등의 방법으로 합성할 수 있다.
더 읽어볼만한 페이지
2. 글리코펩타이드 결합의 다양성
당펩타이드에서 글리칸(탄수화물)과 펩타이드 사이의 결합은 다양한 방식으로 나타난다. 주요 결합 방식으로는 ''N''-결합, ''O''-결합, ''C''-결합이 있다. ''N''-결합은 글리칸이 아스파라긴 잔기에 결합하는 방식이며, 자연에서 가장 흔하게 발견된다. ''O''-결합은 글리칸이 세린 또는 트레오닌 잔기에 결합하는 방식이다. ''C''-결합은 만노스가 트립토판 잔기에 결합하는 방식으로, 세 가지 방식 중 가장 드물게 발견된다.
2. 1. ''N''-결합 글리칸
''N''-결합 글리칸은 글리칸이 아스파라긴(Asn) 잔기의 아마이드 질소 원자에 결합하는 방식이며, 자연에서 가장 흔하게 발견되는 글리칸 결합 형태이다.[24] ''N''-결합 글리칸은 단백질 접힘, 세포 부착 외에도 단백질의 기능을 조절할 수 있으며, 경우에 따라서는 온-오프 스위치 역할을 하기도 한다.[20]2. 1. 1. ''N''-결합 글리칸의 구조
''N''-결합 글리칸은 글리칸이 아스파라긴(Asn) 잔기에 부착되어 있으며, 자연에서 발견되는 가장 일반적인 결합이라는 사실에서 그 이름이 유래되었다.[24] 대부분의 ''N''-결합 글리칸은 GlcNAc-β-Asn[24]의 형태를 취하지만 GlcNAc-α-Asn[25] 및 Glc-Asn[26]과 같은 보다 일반적이지 않은 구조적 결합도 관찰되었다.
2. 2. ''O''-결합 글리칸
''O''-결합 글리칸은 글리칸이 세린(Ser) 또는 트레오닌(Thr) 잔기의 하이드록실 산소 원자에 결합하는 방식이다.[24][5]
2. 2. 1. ''O''-결합 글리칸의 구조
''O''-결합 글리칸은 글리칸과 아미노산 곁사슬의 하이드록실기(보통 세린 또는 트레오닌에서 유래) 사이의 결합에 의해 형성된다. 대부분의 ''O''-연결 글리칸은 GlcNAc-β-Ser/Thr 또는 GalNAc-α-Ser/Thr 형태를 취한다.[24][5]2. 3. ''C''-결합 글리칸
''C''-결합 글리칸은 만노스가 트립토판 잔기의 인돌 고리의 탄소 원자에 결합하는 방식이다.[8][9] 세 가지 결합 방식 중 가장 드물게 발견되며, 상대적으로 덜 연구된 결합 방식이다.2. 3. 1. ''C''-결합 글리칸의 예시
''C''-결합은 만노스가 트립토판 잔기에 공유 결합하는 것을 의미한다. ''C''-결합 글리칸의 예로는 α-만노실 트립토판이 있다.[27][28]3. 당펩타이드의 합성
당펩타이드는 자연적으로 생성되기도 하지만, 연구 및 응용을 위해 인공적으로 합성되기도 한다. 문헌에는 당펩타이드 합성에 대한 여러 방법이 보고되어 있다.[29]
3. 1. 고체상 펩타이드 합성 (Solid Phase Peptide Synthesis, SPPS)
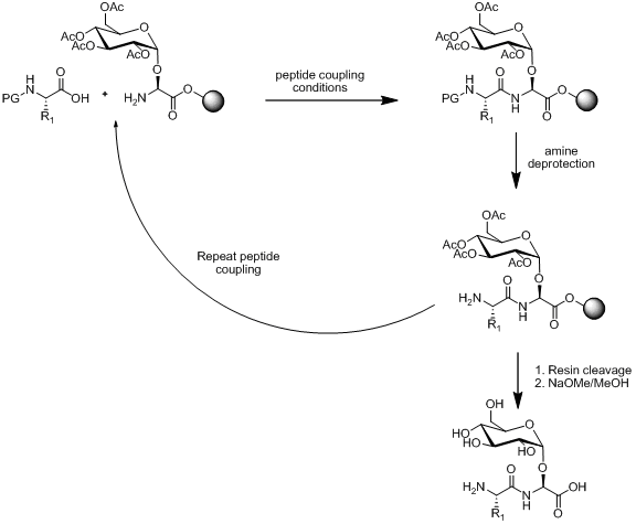
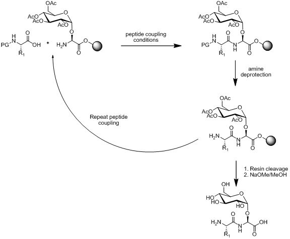
고체상 펩타이드 합성(SPPS)은 당펩타이드를 합성하는 가장 일반적인 방법 중 하나이다. SPPS에는 크게 두 가지 전략이 있는데, 미리 합성된 글리칸-아미노산 빌딩 블록을 순차적으로 결합하는 선형 어셈블리와 펩타이드 사슬과 글리칸 잔기를 별도로 합성한 후 결합하는 수렴 어셈블리가 있다. 또한 Glyco-SPOT 합성 기술은 소량의 당펩타이드 라이브러리를 빠르게 생성하는 데 유용한 방법이다.3. 1. 1. 선형 어셈블리 (Linear Assembly)
선형 어셈블리는 미리 합성된 글리칸-아미노산 빌딩 블록을 순차적으로 결합하여 당펩타이드를 합성하는 방식이다. 고체상 펩타이드 합성(SPPS)을 이용하여 빌딩 블록을 합성하고 결합한다.
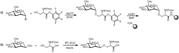
단당류 아미노산 빌딩 블록 합성을 위한 몇 가지 방법은 아래 그림과 같다.

단당류 아미노산 빌딩 블록은 펩타이드 결합 조건, 아민 탈보호 조건 및 수지 절단에 대해 안정적이다. 선형 어셈블리는 당펩타이드 합성을 위한 대중적인 방식이며, 많은 예시들이 문헌에 있다.[31][32][33]
3. 1. 2. 수렴 어셈블리 (Convergent Assembly)
수렴 어셈블리 방식에서는 펩타이드 사슬과 글리칸 잔기를 먼저 별도로 합성한다. 그런 다음 펩타이드 사슬의 특정 잔기에 글리코실화 반응을 통해 글리칸을 결합시킨다. 이 방식은 글리코실화 단계에서 반응 수율이 낮기 때문에 선형 어셈블리에 비해 덜 사용된다.[34]3. 1. 3. Glyco-SPOT 합성 기술
Glyco-SPOT 합성 기술은 기존의 SPOT 합성 방법을 확장한 것이다.[35][36] 이 방법에서 당펩타이드 라이브러리는 고체상 역할을 하는 셀룰로스 표면(예: 여과지)에서 생성된다. 당펩타이드는 FMOC 보호 아미노산을 사용하여 생성되어 매우 적은 양의 아미노산을 사용하여 마이크로그램(나노몰) 스케일로 합성을 수행할 수 있다. 이 기술은 스크리닝을 위한 라이브러리를 만드는 데 유리하지만, 더 많은 양의 당펩타이드를 생산하려면 전통적인 수지 기반 고체상 기술이 더 나을 수 있다.3. 2. 천연 화학적 라이게이션 (Native Chemical Ligation, NCL)
천연 화학적 라이게이션(NCL)은 한 펩타이드 절편의 N-말단 시스테인 잔기와 다른 펩타이드 절편의 C-말단 싸이오에스터 사이의 화학선택성 반응을 이용하는 수렴적 합성 방법이다.[37]
표준적인 고체상 펩타이드 합성(아미노산 잔기가 50개로 제한됨)과는 달리 천연 화학적 라이게이션은 큰 당펩타이드를 합성할 수 있다. 그러나 이러한 방법은 자연에서 드문 아미노산 잔기인 N-말단에 시스테인 잔기가 필요하다는 사실에 의해 제한된다.[37]
3. 2. 1. 탈황 반응을 이용한 NCL의 한계 극복
천연 화학적 라이게이션(NCL)은 당펩타이드 조각의 선형 결합을 기반으로 하는 수렴적 합성 전략이다. 이 기술은 한 펩타이드 조각의 N-말단 시스테인 잔기와 다른 펩타이드 조각의 C-말단에 있는 티오에스터 간의 화학선택성 반응을 이용한다.[37][18]표준 고체상 펩타이드 합성(SPPS)(50개의 아미노산 잔기로 제한됨)과 달리 NCL은 큰 당펩타이드를 합성할 수 있다. 그러나 이 전략은 N-말단에 시스테인 잔기가 필요하다는 사실에 의해 제한되는데, 이는 자연에서 드문 아미노산 잔기이다.[37][18] 그러나 이 문제는 시스테인 잔기의 선택적 탈황을 통해 알라닌으로 변환함으로써 부분적으로 해결되었다.[38][19]
참조
[1]
논문
Cell adhesion and fertilization: Steps in oocyte transport, sperm-zona pellucida interactions, and sperm-egg fusion
[2]
논문
Glycosylation and the immune system
[3]
논문
Biological Roles of Oligosaccharides - All of the Theories Are Correct
[4]
논문
Chemical glycobiology
[5]
논문
Novel forms of protein glycosylation
[6]
논문
The Structure of Nephritogenoside - a Nephritogenic Glycopeptide with Alpha-N-Glycosidic Linkage
http://www.jbc.org/c[...]
[7]
논문
Asparaginylglucose - Novel Type of Carbohydrate Linkage
[8]
논문
The Hexopyranosyl Residue That Is C-Glycosidically Linked to the Side-Chain of Tryptophan-7 in Human Rnase U-S Is Alpha-Marmopyranose
[9]
논문
C-Mannosylation: A Modification on Tryptophan in Cellular Proteins
[10]
논문
The Active Ester N-Fmoc-3-O-[Ac4-Alpha-D-Manp-(1-]2)-Ac3-Alpha-D-Manp-1-]-Threonine-O-Pfp as a Building Block in Solid-Phase Synthesis of an O-Linked Dimannosyl Glycopeptide
[11]
논문
Building-Blocks for Glycopeptide Synthesis – Glycosylation of 3-Mercaptopropionic Acid and Fmoc Amino-Acids with Unprotected Carboxyl Groups
[12]
논문
Chemoenzymatic synthesis of HIV-1V3 glycopeptides carrying two N-glycans and effects of glycosylation on the peptide domain
[13]
논문
An approach for a synthesis of asparagine-linked sialylglycopeptides having intact and homogeneous complex-type undecadisialyloligosaccharides
[14]
논문
Chemical synthesis of CD52 glycopeptides containing the acid-labile fucosyl linkage
[15]
논문
Glycoprotein Synthesis: An Update
[16]
논문
Parallel Glyco-SPOT Synthesis of Glycopeptide Libraries.
2020-06-29
[17]
논문
Peptide arrays on cellulose support: SPOT synthesis, a time and cost efficient method for synthesis of large numbers of peptides in a parallel and addressable fashion.
2007
[18]
논문
Chemical synthesis of proteins
[19]
논문
Free Radical Based, Specific Desulfurization of Cysteine: A Powerful Advance in the Synthesis of Polypeptides and Glycopolypeptides
[20]
논문
Cell adhesion and fertilization: Steps in oocyte transport, sperm-zona pellucida interactions, and sperm-egg fusion
[21]
논문
Glycosylation and the immune system
[22]
논문
Biological Roles of Oligosaccharides - All of the Theories Are Correct
[23]
논문
Chemical glycobiology
[24]
논문
Novel forms of protein glycosylation
[25]
논문
The Structure of Nephritogenoside - a Nephritogenic Glycopeptide with Alpha-N-Glycosidic Linkage
http://www.jbc.org/c[...]
[26]
논문
Asparaginylglucose - Novel Type of Carbohydrate Linkage
[27]
논문
The Hexopyranosyl Residue That Is C-Glycosidically Linked to the Side-Chain of Tryptophan-7 in Human Rnase U-S Is Alpha-Marmopyranose
[28]
논문
C-Mannosylation: A Modification on Tryptophan in Cellular Proteins
[29]
논문
The Active Ester N-Fmoc-3-O-[Ac4-Alpha-D-Manp-(1-]2)-Ac3-Alpha-D-Manp-1-]-Threonine-O-Pfp as a Building Block in Solid-Phase Synthesis of an O-Linked Dimannosyl Glycopeptide
[30]
논문
Building-Blocks for Glycopeptide Synthesis – Glycosylation of 3-Mercaptopropionic Acid and Fmoc Amino-Acids with Unprotected Carboxyl Groups
[31]
논문
Chemoenzymatic synthesis of HIV-1V3 glycopeptides carrying two N-glycans and effects of glycosylation on the peptide domain
[32]
논문
An approach for a synthesis of asparagine-linked sialylglycopeptides having intact and homogeneous complex-type undecadisialyloligosaccharides
[33]
논문
Chemical synthesis of CD52 glycopeptides containing the acid-labile fucosyl linkage
[34]
논문
Glycoprotein Synthesis: An Update
[35]
논문
Parallel Glyco-SPOT Synthesis of Glycopeptide Libraries.
2020-06-29
[36]
저널
Peptide arrays on cellulose support: SPOT synthesis, a time and cost efficient method for synthesis of large numbers of peptides in a parallel and addressable fashion.
2007
[37]
저널
Chemical synthesis of proteins
[38]
저널
Free Radical Based, Specific Desulfurization of Cysteine: A Powerful Advance in the Synthesis of Polypeptides and Glycopolypeptides
본 사이트는 AI가 위키백과와 뉴스 기사,정부 간행물,학술 논문등을 바탕으로 정보를 가공하여 제공하는 백과사전형 서비스입니다.
모든 문서는 AI에 의해 자동 생성되며, CC BY-SA 4.0 라이선스에 따라 이용할 수 있습니다.
하지만, 위키백과나 뉴스 기사 자체에 오류, 부정확한 정보, 또는 가짜 뉴스가 포함될 수 있으며, AI는 이러한 내용을 완벽하게 걸러내지 못할 수 있습니다.
따라서 제공되는 정보에 일부 오류나 편향이 있을 수 있으므로, 중요한 정보는 반드시 다른 출처를 통해 교차 검증하시기 바랍니다.
문의하기 : help@durumis.com
