폴라론
"오늘의AI위키"의 AI를 통해 더욱 풍부하고 폭넓은 지식 경험을 누리세요.
1. 개요
폴라론은 결정 격자 내에서 전자가 격자 변형과 상호작용하여 유효 질량이 증가한 준입자이다. 란다우와 페카르가 폴라론 이론의 기초를 세웠으며, 프뢸리히 해밀토니안으로 설명된다. 폴라론은 약한 결합과 강한 결합으로 구분되며, 2차원 및 준 2차원 구조에서도 연구된다. 폴라론 개념은 광학적 특성, 사이클로트론 공명, 다양한 재료 및 시스템에 대한 연구로 확장되어왔으며, 생물물리학 및 보즈-아인슈타인 응축체 등 다양한 분야에 응용된다.
더 읽어볼만한 페이지
- 준입자 - 양공
양공은 반도체 내에서 전자가 빠져나간 자리를 의미하며, 마치 양의 전하를 띠는 입자처럼 행동하여 전기 전도에 기여하고, P형 반도체의 특성을 나타낸다. - 준입자 - 엑시톤
엑시톤은 반도체나 절연체에서 전자와 정공이 쿨롱 힘으로 결합된 중성 준입자로, 광여기 등으로 생성되며, 유전 상수에 따라 와니어-모트 엑시톤과 프렌켈 엑시톤으로 나뉘고, 다양한 종류와 차원에 따라 다른 특성을 보이며 광학적 특성에 기여하고 저온에서 빛 방출 메커니즘으로 작용한다. - 이온 - 이온 빔
이온 빔은 전하를 띤 입자들의 좁은 흐름으로, 전류 밀도와 에너지로 측정되며, 격자형 또는 격자 없는 이온 소스를 통해 생성되어 다양한 과학 및 기술 분야에서 활용된다. - 이온 - 이온원
이온원은 원자나 분자를 이온화하여 이온 빔이나 플라즈마를 만드는 장치로, 전자, 광자, 레이저 등 다양한 방법으로 이온화를 유도하며 질량 분석법, 입자 가속기 등 여러 분야에 응용된다. - 응집물질물리학 - 띠구조
띠구조는 결정 내 전자의 에너지 범위를 나타내는 개념으로, 에너지 띠와 띠틈으로 구성되며, 도체, 절연체, 반도체의 전기적 특성을 결정하는 데 중요한 역할을 한다. - 응집물질물리학 - 절연체
절연체는 전기 전도성을 막아 전기의 흐름을 제어하고 안전을 확보하며, 밴드 이론에 따라 큰 띠틈을 가져 외부 전압이 띠틈을 넘어서면 절연 파괴가 발생하며, 유리에서 세라믹, 고분자 복합 재료 등으로 제작되어 전선, 케이블 등 다양한 분야에 사용된다.
2. 폴라론 이론
결정격자의 주기적인 퍼텐셜 내에서 움직이는 전자는 허용대와 금지대로 구성된 블로흐 스펙트럼을 가진다. 허용대 에너지를 갖는 전자는 자유 전자처럼 움직이지만, 진공 중 전자와는 다른 유효 질량을 갖는다. 결정 격자는 변형될 수 있으며, 원자(이온)가 평형 위치에서 벗어나는 것은 포논으로 설명된다. 전자는 이러한 변위와 상호작용하며, 이를 전자-포논 결합이라고 한다. 레프 란다우는 격자 결함 생성과 전자의 포획 시나리오를 제안했고,[69] 솔로몬 페카르는 격자 분극으로 전자를 감싸는 시나리오를 제안했다. 페카르는 이러한 전하 운반체를 '''폴라론'''이라 명명했다.[70]
폴라론 이론은 란다우[4]와 페카르[5]가 기초를 세웠다. 분극성 매질 속 전하는 차폐된다. 유전체 이론은 전하 운반체 주변의 분극 유도를 설명한다. 유도된 분극은 전하 운반체를 따라가며, 이 둘을 함께 폴라론으로 간주한다.
공유 반도체에서는 전자와 격자 변형의 결합이 약해 폴라론이 형성되지 않는다. 극성 반도체에서는 유도된 분극과의 정전기적 상호작용이 강해, 저온에서 폴라론이 형성된다. 분자 결정에서는 분자 진동과의 상호작용이 강해 폴라론이 관찰된다. 극성 반도체의 경우 극성 포논과의 상호작용은 프뢸리히 해밀토니안으로, 전자와 분자 포논의 상호작용은 홀스타인 해밀토니안으로 설명된다. 폴라론 모델은 결정 격자 불연속성을 무시하는 연속체 모델과 격자 모델로 나뉜다. 연속체 모델에서는 폴라론 결합 에너지와 포논 주파수 크기를 비교하여 약결합 또는 강결합 폴라론으로 구분한다. 격자 모델에서는 폴라론 반지름과 격자 상수 크기를 비교하여 작은 폴라론 또는 큰 폴라론으로 구분한다.
이온 결정 또는 극성 반도체의 전도 전자는 폴라론의 원형이다. 허버트 프뢰리히는 폴라론 모델 해밀토니안을 제안하여 양자 역학적으로 처리했다(프뢰리히 해밀토니안).[74][75] 전자-포논 상호작용 강도는 무차원 결합 상수 로 결정된다. 여기서 은 전자 질량, 는 포논 주파수, , , 는 정적 및 고주파 유전 상수이다.
2. 1. 프뢸리히 해밀토니안
레프 란다우와 솔로몬 페카르[4][5]는 폴라론 이론의 기초를 세웠다. 분극성 매질에 놓인 전하는 차폐된다. 유전체 이론은 전하 운반체 주변에 분극이 유도되는 현상을 설명한다. 유도된 분극은 매질을 통과할 때 전하 운반체를 따라간다. 유도된 분극과 함께 전하 운반체는 하나의 개체로 간주되며, 이것을 폴라론이라고 한다 (그림 1 참조).일반적으로 공유 반도체에서 전자와 격자 변형의 결합은 약하고 폴라론은 형성되지 않는다. 극성 반도체에서 유도된 분극과의 정전기적 상호 작용은 강하며, 농도가 크지 않고 차폐가 효율적이지 않은 경우 저온에서 폴라론이 형성된다. 폴라론이 관찰되는 또 다른 물질 종류는 분자 결정이며, 여기서 분자 진동과의 상호 작용이 강할 수 있다. 극성 반도체의 경우 극성 포논과의 상호 작용은 프뢸리히 해밀토니안으로 설명된다. 반면에 전자와 분자 포논의 상호 작용은 홀스타인 해밀토니안으로 설명된다.
일반적으로 폴라론을 설명하는 모델은 두 가지 종류로 나눌 수 있다.
- 첫 번째 종류는 결정 격자의 불연속성을 무시하는 연속체 모델이다. 이 경우 폴라론 결합 에너지가 포논 주파수에 비해 작은지 큰지에 따라 폴라론은 약하게 결합되거나 강하게 결합된다.
- 두 번째 종류의 시스템은 폴라론의 격자 모델이다. 이 경우 폴라론 반지름과 격자 상수의 상대적인 크기에 따라 작은 폴라론 또는 큰 폴라론이 있을 수 있다.
이온 결정 또는 극성 반도체의 전도 전자는 폴라론의 원형이다. 허버트 프뢰리히는 이 폴라론에 대한 모델 해밀토니안을 제안했으며, 이를 통해 그 역학이 양자 역학적으로 처리된다 (프뢰리히 해밀토니안).[10][11] 전자-포논 상호 작용의 강도는 무차원 결합 상수 에 의해 결정된다. 여기서 은 전자 질량, 는 포논 주파수, , , 는 정적 및 고주파 유전 상수이다.
표 1에는 몇 가지 고체에 대한 프뢰리히 결합 상수가 나와 있다.
제2 양자화 표기법을 사용하는 결정 내 단일 전자에 대한 프뢰리히 해밀토니안은 다음과 같다.
:
:
:
:
γ의 정확한 형태는 재료와 모델에 사용되는 포논의 유형에 따라 달라진다. 단일 극성 모드의 경우 이며, 여기서 는 단위 셀의 부피이다. 분자 결정의 경우 γ는 일반적으로 운동량에 무관한 상수이다. 프뢰리히 해밀토니안 변형에 대한 자세한 고급 논의는 J. T. Devreese와 A. S. Alexandrov에서 찾을 수 있다.[12] 프뢰리히 폴라론과 큰 폴라론이라는 용어는 프뢰리히 해밀토니안이 연속체 근사와 장거리 힘을 포함하기 때문에 때때로 동의어로 사용된다.
2. 2. 약한 결합과 강한 결합
결정격자 내에서 전자가 움직일 때, 포논과의 상호작용으로 인해 폴라론이 형성될 수 있다. 이 상호작용의 강도에 따라 약한 결합과 강한 결합 폴라론으로 나뉜다.란다우[4]와 페카르[5]는 폴라론 이론의 기초를 세웠다. 유전체 이론에 따르면, 분극성 매질에 놓인 전하는 차폐되고, 전하 운반체 주변에 분극이 유도된다. 이 유도된 분극은 전하 운반체와 함께 움직이며, 이 둘을 합쳐 폴라론이라고 부른다.[3]
일반적으로 공유 반도체에서는 전자와 격자 변형의 결합이 약해 폴라론이 형성되지 않는다. 반면, 극성 반도체에서는 유도된 분극과의 정전기적 상호작용이 강하여 저온에서 폴라론이 형성될 수 있다. 분자 결정에서도 분자 진동과의 강한 상호작용으로 인해 폴라론이 관찰된다.
폴라론을 설명하는 모델은 크게 두 가지로 나뉜다. 첫 번째는 결정 격자의 불연속성을 무시하는 연속체 모델이다. 이 경우 폴라론 결합 에너지가 포논 주파수에 비해 작은지 큰지에 따라 약결합 또는 강결합 폴라론으로 구분된다. 두 번째는 폴라론의 격자 모델로, 폴라론 반지름과 격자 상수의 상대적인 크기에 따라 작은 폴라론 또는 큰 폴라론이 존재한다.
허버트 프뢰리히는 이 폴라론에 대한 모델 해밀토니안(프뢰리히 해밀토니안)을 제안했다.[10][11] 전자-포논 상호작용의 강도는 무차원 결합 상수 로 결정된다. 여기서 은 전자 질량, 는 포논 주파수, , , 는 정적 및 고주파 유전 상수이다.
결합 상수 값에 따라 폴라론의 특성이 달라진다.
파인만[23]은 경로 적분에 대한 변분 원리를 도입하여 폴라론을 연구했다.
2. 3. 연속체 모델과 격자 모델
주기적인 퍼텐셜을 갖는 고체 결정격자 내에서 움직이는 전자의 에너지 스펙트럼은 블로흐 스펙트럼이라고 하며, 이는 허용띠와 금지띠로 구성된다. 허용띠 내의 에너지를 갖는 전자는 자유 전자처럼 움직이지만, 진공 중 전자 질량과는 다른 유효 질량을 갖는다. 그러나 결정 격자는 변형 가능하며, 원자(이온)의 평형 위치로부터의 변위는 포논으로 설명된다. 전자는 이러한 변위와 상호 작용하며, 이 상호 작용을 전자-포논 결합이라고 한다. 레프 란다우는 1933년 논문에서 F 중심과 같은 격자 결함의 생성과 이 결함에 의한 전자의 포획을 포함하는 시나리오를 제안했다. 솔로몬 페카르는 격자 분극(가상 극성 포논의 구름)으로 전자를 감싸는 다른 시나리오를 제안했다. 이러한 동반 변형이 있는 전자는 결정 전체를 자유롭게 움직이지만, 유효 질량이 증가한다.[3] 페카르는 이러한 전하 운반체를 '''폴라론'''이라고 명명했다.란다우[4]와 페카르[5]는 폴라론 이론의 기초를 마련했다. 분극성 매질에 놓인 전하는 차폐될 것이다. 유전체 이론은 전하 운반체 주변에 분극이 유도되는 현상을 설명한다. 유도된 분극은 매질을 통과할 때 전하 운반체를 따라갈 것이다. 유도된 분극과 함께 전하 운반체는 하나의 개체로 간주되며, 이것을 폴라론이라고 한다(그림 1 참조).
일반적으로 공유 반도체에서 전자와 격자 변형의 결합은 약하고 폴라론은 형성되지 않는다. 극성 반도체에서 유도된 분극과의 정전기적 상호 작용은 강하며, 농도가 크지 않고 차폐가 효율적이지 않은 경우 저온에서 폴라론이 형성된다. 폴라론이 관찰되는 또 다른 물질 종류는 분자 결정이며, 여기서 분자 진동과의 상호 작용이 강할 수 있다. 극성 반도체의 경우 극성 포논과의 상호 작용은 프뢰리히 해밀토니안으로 설명된다. 반면에 전자와 분자 포논의 상호 작용은 홀스타인 해밀토니안으로 설명된다. 일반적으로 폴라론을 설명하는 모델은 두 가지 종류로 나눌 수 있다. 첫 번째 종류는 결정 격자의 불연속성을 무시하는 연속체 모델이다. 이 경우 폴라론 결합 에너지가 포논 주파수에 비해 작은지 큰지에 따라 폴라론은 약하게 결합되거나 강하게 결합된다. 일반적으로 고려되는 두 번째 종류의 시스템은 폴라론의 격자 모델이다. 이 경우 폴라론 반지름과 격자 상수의 상대적인 크기에 따라 작은 폴라론 또는 큰 폴라론이 있을 수 있다.
이온 결정 또는 극성 반도체의 전도 전자는 폴라론의 원형이다. 허버트 프뢰리히는 이 폴라론에 대한 모델 해밀토니안을 제안했으며, 이를 통해 그 역학이 양자 역학적으로 처리된다(프뢰리히 해밀토니안).[10][11]
전자-포논 상호 작용의 강도는 무차원 결합 상수 에 의해 결정된다. 여기서 은 전자 질량, 는 포논 주파수, , , 는 정적 및 고주파 유전 상수이다. 표 1에는 몇 가지 고체에 대한 프뢰리히 결합 상수가 나와 있다.
제2 양자화 표기법을 사용하는 결정 내 단일 전자에 대한 프뢰리히 해밀토니안은 다음과 같다.
:
:
:
:
γ의 정확한 형태는 재료와 모델에 사용되는 포논의 유형에 따라 달라진다. 단일 극성 모드의 경우 이며, 여기서 는 단위 셀의 부피이다. 분자 결정의 경우 γ는 일반적으로 운동량에 무관한 상수이다. 프뢰리히 해밀토니안 변형에 대한 자세한 고급 논의는 J. T. Devreese와 A. S. Alexandrov에서 찾을 수 있다.[12] 프뢰리히 폴라론과 큰 폴라론이라는 용어는 프뢰리히 해밀토니안이 연속체 근사와 장거리 힘을 포함하기 때문에 때때로 동의어로 사용된다. 광범위한 조사에도 불구하고 종방향 광학(LO) 포논과 선형 (가장 일반적으로 고려되는 프뢰리히 폴라론의 변형)를 갖는 프뢰리히 해밀토니안에 대한 정확한 해는 알려져 있지 않다.[5][9][10][11][13][14][15][16][17][18]
정확한 해가 없음에도 불구하고, 폴라론 특성에 대한 몇 가지 근사값은 알려져 있다.
폴라론의 물리적 특성은 띠 운반체의 특성과 다르다. 폴라론은 그 자체 에너지 , 유효 질량 , 그리고 외부 전기장과 자기장에 대한 특징적인 반응(예: 직류 이동도 및 광 흡수 계수)으로 특징지어진다.
결합이 약한 경우(가 작은 경우), 폴라론의 자체 에너지는 다음과 같이 근사할 수 있다.[19]
:
사이클로트론 공명 실험으로 측정할 수 있는 폴라론 질량 는 자체 유도 분극이 없는 전하 운반체의 띠 질량 ''''보다 크다.[20]
:
결합이 강한 경우(α가 큰 경우), 란다우와 페카르의 변분 접근법은 자체 에너지가 α²에 비례하고 폴라론 질량이 ''α''⁴로 비례한다는 것을 나타낸다. 란다우-페카르 변분 계산[5]은 모든 ''α''에 대해 유효한 폴라론 자체 에너지에 대한 상한 를 제공하며, 여기서 는 적분 미분 방정식을 풀어서 결정되는 상수이다.
파인만[23]은 경로 적분에 대한 변분 원리를 도입하여 폴라론을 연구했다. 그는 전자와 가상 입자 사이의 조화 상호 작용을 통해 전자와 분극 모드 사이의 상호 작용을 시뮬레이션했다. 정확하게 풀 수 있는 1D 폴라론 모델[24][25], 몬테카를로 계획[26][27] 및 기타 수치 계획[28]은 폴라론 기저 상태 에너지에 대한 파인만의 경로 적분 접근 방식의 놀라운 정확성을 보여준다.
격자 모델에서 주요 매개변수는 폴라론 결합 에너지이다: .[30] 여기서 합계는 브릴루앙 영역에서 이루어진다. 이 결합 에너지는 순전히 단열적이며, 즉 이온 질량에 의존하지 않는다는 점에 유의한다. 극성 결정의 경우 폴라론 결합 에너지의 값은 유전 상수 , 에 의해 엄격하게 결정되며 0.3-0.8 eV 정도이다. 폴라론 결합 에너지 가 홉핑 적분보다 작으면 어떤 종류의 전자-포논 상호 작용에 대해 큰 폴라론이 형성된다. 인 경우 작은 폴라론이 형성된다.
2. 4. 파인만 경로 적분
레프 란다우와 페카르는[71] 경로 적분을 이용해 폴라론 이론의 기초를 세웠다. 분극 매질 속에 놓인 전하는 차폐된다. 유전체 이론에서는 이 현상이 전하 운반자 주위에 유전 분극이 생기기 때문이라고 설명한다. 전하 운반자가 매질 속을 운동하면, 그것에 따라 분극도 함께 운동한다. 전하와 유전 분극을 합쳐 하나의 실체로 보고 폴라론이라고 부른다.파인만은[89] 일종의 변분 이론인 경로 적분법을 이용하여 폴라론을 연구했다. 파인만은 전자와 분극 모드 사이의 상호작용을 전자와 가상 입자 사이의 조화 상호작용으로 모델화했다. 엄밀하게 풀 수 있는(「대칭성을 갖는」) 1차원 폴라론 모델의 해석이나,[90][91] 몬테카를로 방법[92][93] 등에 의한 수치 계산[94] 결과, 폴라론의 기저 에너지에 대한 파인만의 접근이 뛰어나게 정확하다는 것이 명확해졌다. 그 후 이동도나 광흡수 등, 기저 에너지와 달리 실험적으로 측정 가능한 특성에 대한 연구가 이루어졌다.
3. 폴라론의 광학적 성질
폴라론의 광학적 성질은 주로 광흡수 스펙트럼과 사이클로트론 공명을 통해 연구된다. 이 두 현상은 폴라론의 동역학을 설명하는 "메모리 함수" ()와 밀접하게 관련되어 있다.
외부 자기장이 없을 때, 약한 결합()에서는 폴라론이 방사 에너지를 흡수하고 LO 포논 형태로 재방출한다. 강한 결합에서는 폴라론이 "완화된 들뜬 상태"(RES)라는 안정적인 내부 들뜬 상태로 전이될 수 있다.
AgBr과 AgCl의 경우, 강한 자기장 하에서 고정밀 사이클로트론 공명 실험을 통해 폴라론 특성이 증명되었다.[38] 또한, CdTe와 같은 극성 반도체에서는 자기 폴라론 효과가 관찰되었다.[39] II-VI족 반도체에 대한 초강자장 사이클로트론 공명 실험은 LO 포논 에너지를 넘는 폴라론 효과를 연구하는 데 사용된다.[40]
3. 1. 광흡수 스펙트럼
폴라론의 자기광학 흡수에 대한 식은 다음과 같다.[33]
위 식에서 는 진동수 의 빛에 대한 흡수 스펙트럼을 나타낸다. 는 띠가 변조되지 않는 경우(강체띠)의 사이클로트론 진동수이다. 는 “기억 함수”라고 불리며, 폴라론의 동역학을 기술한다. 는 , , 그리고 온도에도 의존한다.
외부 자기장이 없을 때() 약한 결합 하에서 폴라론의 광흡수 스펙트럼(식 3)은 방사 에너지 흡수에 의해 결정된다. 흡수된 에너지는 LO 포논으로 재방출된다. 결합이 까지 강해지면, 폴라론은 “완화 여기 상태”(RES, relaxed excited state영어)라는 비교적 안정적인 내부 여기 상태로 전이될 수 있다(그림 2 참조). 그림의 스펙트럼에서 RES 피크는 프랑크-콘돈형 전이에 의한 포논 사이드 밴드(FC)를 수반한다.
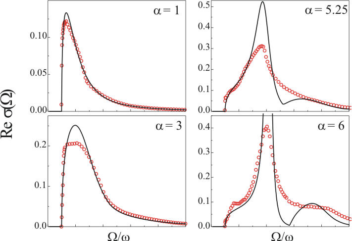
Devreese, De Sitter, Goovaerts 등이 경로 적분 접근법으로 얻은 광전도 스펙트럼[34]과 다이어그램 양자 몬테카를로법에 의한 수치 계산[35]을 비교한 결과가 문헌[36]에 제시되어 있다. (그림 3)에 따르면, 일 때 수치 계산에 의한 프뢰리히 폴라론의 광전도도[35]는 Devreese 등의 결과[34]를 완전히 재현한다. 결합 강도가 인 중간값의 경우, 저에너지 영역 곡선과 최대값 위치는 잘 재현된다. 그러나 중간 결합 및 강결합 영역에서 두 접근법의 결과는 정성적으로 다르다. 수치 계산 결과에서는 RES 피크 폭이 넓어지고, FC 피크는 뚜렷한 극대 없이 스펙트럼에서처럼 평평한 어깨가 된다. 이는 두 개 이상 포논이 참여하는 광학적 과정 때문으로 추정된다.[37] 폴라론 여기 상태의 성질을 명확히 하려면 추가 연구가 필요하다.
광학 포논 진동수 보다 낮은 진동수 의 빛에 대해, 광흡수(식 3)가 발산하는 조건은 로 표현된다.[97] 이 조건으로 폴라론 사이클로트론 공명 피크와 가 대응되고, 폴라론 사이클로트론 질량도 유도된다.[97] 가장 정확한 폴라론 모델로 를 추정하면, 사이클로트론 운동 실험 데이터는 잘 설명된다.
AgBr 및 AgCl 속 전하 담체가 폴라론성을 갖는다는 것은 최대 16 T 강자장 하 고정밀 사이클로트론 공명 실험으로 증명되었다.[38] 이 물질들의 자기 광흡수에 대해 Peeters가 넓은 범위의 에 대해 제시한 예측[33]이 가장 정량적으로 일치했다. 이는 고체가 폴라론 성질을 갖는다는 가장 명확한 증거 중 하나이다.
CdTe의 얕은 도너 에너지 스펙트럼 연구에는 원적외선 광전도에서의 자기 폴라론 효과 실험 데이터가 이용되었다.[39]
LO 포논 에너지를 크게 넘는 폴라론 효과는 II-VI족 반도체 등의 초강자장 사이클로트론 공명 실험을 통해 연구된다.[40] 충분히 강한 자기장으로 사이클로트론 진동수를 LO 포논 에너지에 가깝게 하면 공명 폴라론 효과가 나타난다.
3. 2. 사이클로트론 공명
폴라론의 자기광학 흡수에 대한 식은 다음과 같다.[33]:
여기서 는 진동수 의 빛에 대한 흡수 스펙트럼을 나타낸다. 는 띠가 변조되지 않는 경우(강체띠)의 사이클로트론 진동수이다. 는 “기억 함수”라고 불리며, 폴라론의 동역학을 기술한다. 는 와 그리고 온도에도 의존한다.
외부 자기장이 없는 경우 (), 약한 결합 하에서의 폴라론에 의한 광흡수 스펙트럼(위 식)은 방사 에너지의 흡수에 의해 결정된다. 흡수된 에너지는 LO 포논으로 재방출된다. 결합이 까지 강해지면, 폴라론은 “완화 여기 상태”(RES, relaxed excited state영어)라고 불리는 비교적 안정적인 내부 여기 상태로 전이할 수 있다(그림 2 참조). 그림의 스펙트럼에서는, RES 피크는 프랑크-콘돈형 전이에 의한 포논 사이드 밴드(FC)를 수반하고 있다.
Devreese, De Sitter, Goovaerts 등이 근사를 포함하는 경로 적분의 접근법에 의해 얻은 광전도 스펙트럼[34]을, 다이어그램 양자 몬테카를로법에 의한 근사를 포함하지 않는 수치 계산[35]과 비교한 결과가 문헌[36]에 제시되어 있다. 그에 따르면(그림 3), 의 경우에 대해서는, 수치 계산에 의한 프뢰리히 폴라론의 광전도도[35]는 Devreese 등의 결과[34]를 완전히 재현한다. 결합의 강도가 의 중간적인 값의 경우에 대해서는, 저에너지 영역의 곡선과 최대값의 위치에 대해서는 잘 재현되고 있다. 그것들을 제외하면, 중간적인 결합 및 강결합 영역에서 양쪽 접근법의 결과는 정성적으로 다르다. 수치 계산의 결과에서는, RES 피크의 폭이 넓어지고 있는 것 외에, FC 피크는 뚜렷한 극대를 가지지 않고, 대신 의 스펙트럼에서 현저한 것처럼 평평한 어깨가 된다. 이러한 거동의 원인은 두 개 이상의 포논이 참여하는 광학적 과정에 있다고 생각된다.[37] 폴라론의 여기 상태의 성질을 명확히 하려면 추가적인 연구가 필요하다.
광학 포논의 진동수 보다 진동수가 낮은 빛()에 대해서는, 광흡수(위 식)가 발산하는 조건이 로 표현된다.[97] 이 조건에 의해 폴라론의 사이클로트론 공명 피크와 가 대응 지어지는 것 외에, 폴라론의 사이클로트론 질량도 여기서 유도된다.[97] 가장 정확한 폴라론 모델을 사용하여 를 추정하면, 사이클로트론 운동에 관한 실험 데이터는 잘 설명할 수 있다.
이온 결정인 AgBr 및 AgCl 속의 전하 담체가 폴라론성을 가진다는 것은, 16 T까지의 강자장을 사용한 고정밀 사이클로트론 공명 실험에 의해 증명되었다.[38] 이들 물질의 자기 광흡수에 대해서는, Peeters가 넓은 범위의 에 대해 제시한 예측[33]이 최고의 정량적 일치를 보였다. 이것은 고체가 폴라론의 성질을 가진다는 것을 가장 명확하게 증명하는 증거 중 하나이다.
극성 반도체인 CdTe의 얕은 도너의 에너지 스펙트럼에 관한 연구에서는, 원적외선 광전도에서의 자기 폴라론 효과의 실험 데이터가 이용되어 왔다.[39]
LO 포논의 에너지를 크게 넘는 폴라론 효과에 대해서는, II-VI족 반도체 등에 대한 초강자장 사이클로트론 공명 실험을 통해 연구가 진행되고 있다.[40] 충분히 강한 자기장을 사용하여 사이클로트론 진동수를 LO 포논의 에너지에 가깝게 하면, 공명 폴라론 효과가 나타난다.
4. 2차원 및 준 2차원 구조에서의 폴라론
2차원 전자 기체(2DEG)에 대한 높은 관심은 2차원 폴라론의 특성에 대한 많은 연구로 이어졌다.[45][46][47] 사이클로트론 공명은 2차원 시스템에서 폴라론 효과를 연구하는 편리한 도구이다.[51][52]
GaAs/AlxGa1−xAs 양자 우물과 초격자의 경우, 폴라론 효과는 낮은 자기장에서 천이 원자 상태의 에너지를 감소시키고 높은 자기장에서 에너지의 공명 분리를 초래한다. 천이 원자("결합 폴라론")와 같은 이러한 폴라론 시스템(예: D0 및 D− 중심)의 에너지 스펙트럼은 문헌에서 가장 완전하고 상세한 폴라론 분광법을 구성한다.[53]
충분히 높은 전자 밀도를 가진 GaAs/AlAs 양자 우물에서, GaAs 종방향 광학(LO) 포논 주파수 근처가 아닌 GaAs 횡방향 광학(TO) 포논 주파수 근처에서 사이클로트론 공명 스펙트럼의 반교차가 관찰되었다.[54] TO 포논 주파수 근처의 이러한 반교차는 폴라론 이론의 틀에서 설명되었다.[55]
광학적 특성 외에도,[9][17][56] 자체 트래핑 가능성, 폴라론 수송,[57][58] 자기 포논 공명 등 폴라론의 많은 다른 물리적 특성이 연구되었다.
4. 1. 2차원 폴라론의 특징
이차원 전자 기체(2DEG) 연구에 대한 높은 관심은 이차원 폴라론의 특성에 대한 많은 연구로 이어졌다.[45][46][47] 간단한 2차원 폴라론 시스템 모델은 평면에 제한된 전자를 포함하며, 3차원 주변 매질의 LO 포논과 프뢰리히 상호작용을 통해 상호 작용한다. 이러한 2차원 폴라론의 자체 에너지와 질량은 더 이상 3차원에서 유효한 표현식으로 설명되지 않는다. 약한 결합의 경우 다음과 같이 근사할 수 있다.[48][49]
2차원 폴라론의 물리적 특성을 3차원 폴라론의 물리적 특성과 연결하는 간단한 스케일링 관계가 존재하는 것으로 나타났다.[47] 이러한 스케일링 관계의 예는 다음과 같다.
여기서 ()와 ()는 각각 2차원(3차원)에서의 폴라론과 전자 띠 질량이다.
프뢰리히 폴라론의 구속 효과는 ''유효'' 폴라론 결합을 강화시킨다. 그러나 다체 효과는 스크리닝으로 인해 이 효과를 상쇄하는 경향이 있다.[45][50]
또한 2차원 시스템에서 사이클로트론 공명은 폴라론 효과를 연구하는 편리한 도구이다. 여러 다른 효과(전자 띠의 비파라볼릭성, 다체 효과, 구속 포텐셜의 특성 등)를 고려해야 하지만, 폴라론 효과는 사이클로트론 질량에서 명확하게 나타난다. 흥미로운 2차원 시스템은 액체 헬륨 필름의 전자로 구성된다.[51][52] 이 시스템에서 전자는 액체 헬륨의 리플론과 결합하여 "리플로폴라론"을 형성한다. 유효 결합은 상대적으로 클 수 있으며, 일부 매개변수 값의 경우 자체 트래핑이 발생할 수 있다. 긴 파장에서 리플론 분산의 음향적 특성은 트래핑의 핵심 측면이다.
GaAs/AlxGa1−xAs 양자 우물과 초격자의 경우, 폴라론 효과는 낮은 자기장에서 천이 원자 상태의 에너지를 감소시키고 높은 자기장에서 에너지의 공명 분리를 초래한다. 천이 원자("결합 폴라론")와 같은 이러한 폴라론 시스템(예: D0 및 D− 중심)의 에너지 스펙트럼은 문헌에서 가장 완전하고 상세한 폴라론 분광법을 구성한다.[53]
충분히 높은 전자 밀도를 가진 GaAs/AlAs 양자 우물에서, GaAs 종방향 광학(LO) 포논 주파수 근처가 아닌 GaAs 횡방향 광학(TO) 포논 주파수 근처에서 사이클로트론 공명 스펙트럼의 반교차가 관찰되었다.[54] TO 포논 주파수 근처의 이러한 반교차는 폴라론 이론의 틀에서 설명되었다.[55]
광학적 특성 외에도,[9][17][56] 자체 트래핑 가능성, 폴라론 수송,[57][58] 자기 포논 공명 등 폴라론의 많은 다른 물리적 특성이 연구되었다.
4. 2. 스케일링 관계
이차원 전자 기체(2DEG) 연구에 대한 높은 관심은 이차원 폴라론 특성에 대한 많은 연구로 이어졌다.[45][46][47] 2차원 폴라론 시스템 모델은 평면에 제한된 전자가 3차원 주변 매질의 LO 포논과 프뢸리히 상호작용을 통해 상호 작용하는 형태이다. 이러한 2차원 폴라론의 자체 에너지와 질량은 3차원에서 유효한 표현식으로 설명되지 않는다. 약한 결합의 경우 다음과 같이 근사할 수 있다.[48][49]:
:
2차원 폴라론의 물리적 특성을 3차원 폴라론의 물리적 특성과 연결하는 간단한 스케일링 관계가 존재한다.[47]
:
여기서 ()와 ()는 각각 2차원(3차원)에서의 폴라론과 전자 띠 질량이다.
프뢸리히 폴라론의 구속 효과는 ''유효'' 폴라론 결합을 강화시킨다. 그러나 다체 효과는 스크리닝으로 인해 이 효과를 상쇄하는 경향이 있다.[45][50]
또한 2차원 시스템에서 사이클로트론 공명은 폴라론 효과를 연구하는 편리한 도구이다. 여러 다른 효과(전자 띠의 비파라볼릭성, 다체 효과, 구속 포텐셜의 특성 등)를 고려해야 하지만, 폴라론 효과는 사이클로트론 질량에서 명확하게 나타난다.
4. 3. 액체 헬륨 막 위의 전자
이차원 전자 기체(2DEG)에 대한 높은 관심은 이차원 폴라론의 특성에 대한 많은 연구로 이어졌다.[45][46][47] 액체 헬륨 막 위의 전자는 흥미로운 2차원 시스템의 한 예이다.[51][52] 이 시스템에서 전자는 액체 헬륨의 리플론(양자화된 표면파)과 결합하여 "리플로폴라론"을 형성한다. 유효 결합은 상대적으로 클 수 있으며, 일부 매개변수 값에서는 자체 트래핑이 발생할 수 있다. 긴 파장에서 리플론 분산이 음향적 특성을 갖는 것이 트래핑의 핵심적인 측면이다.5. 폴라론 개념의 확장
폴라론 개념은 여러 방면으로 확장되어 다양한 물리계의 특성을 연구하는 데 사용되고 있다. 주요 확장 개념으로는 음향 폴라론, 압전 폴라론, 전자 폴라론, 결합 폴라론, 포획 폴라론, 스핀 폴라론, 분자 폴라론, 용매화 폴라론, 폴라론 엑시톤, 얀-텔러 폴라론, 소폴라론, 바이폴라론 및 다중 폴라론계가 있다.[9]
보즈-아인슈타인 응축체 내 불순물계도 폴라론 계열의 구성원임이 밝혀졌다.[63] 페슈바흐 공명을 사용하여 상호작용 강도를 조절할 수 있어 강결합 영역 연구가 가능해졌다. 최근 두 연구 그룹에 의해 실험적으로 실현되었다.[64][65] 보즈-아인슈타인 응축체 내 폴라론의 존재는 강결합 영역을 포함한 인력 및 척력 상호작용 모두에 대해 실험적으로 증명되었다.[66]
5. 1. 다양한 종류의 폴라론
폴라론 개념은 다양하게 확장되어 왔는데, 다음과 같은 종류가 있다:[9]- 음향 폴라론: 음향 포논과 전하가 결합한 것이다.[118]
- 압전 폴라론: 극성 음향 포논과의 압전 효과 상호작용에 의해 형성된다.[119]
- 전자 폴라론(electronic polaron): 전하와 엑시톤 장의 상호작용에 의한 준입자이다.[120]
- 속박된 폴라론(bound polaron): 전하를 띤 결함에 속박된 폴라론이다.[83]
- 스핀 폴라론: 전하 운반체의 스핀이 주위 매질의 자화와 결합한 준입자이다.[83]
- 분자 폴라론: 분자 위에 자기 속박된 폴라론이다.[121]
- 용매화 폴라론: Solvated electron와 주위 매질이 결합한 것이다.[122]
- 폴라론 엑시톤: 전자와 정공이 포논을 매개로 상호 작용하는 것이다.[83]
- 얀-텔러 폴라론: 얀-텔러 효과에 의한 전자-격자 상호작용에 의해 형성된다.[123]
- 바이폴라론: 두 개의 폴라론이 포논을 매개로 상호 작용하는 것이다.[83]
- 다폴라론계
이러한 폴라론 개념의 확장은 공액 고분자, 거대자기저항 페로브스카이트, 고온초전도체, 층상 MgB2 초전도체, 풀러렌, 준 1차원 도체, 반도체 나노구조의 특성을 연구하는 데 사용된다.[9]
폴라론과 바이폴라론이 고온 초전도체에서 역할을 한다는 가능성은 다중 폴라론계, 특히 광학적 특성에 대한 관심을 불러일으켰다. 이론적 연구는 단일 폴라론계에서 다중 폴라론계로 확장되었다.[9][59][60]
반도체 나노구조에 대한 폴라론 개념의 새로운 측면이 연구되었다. 엑시톤-포논 상태는 단열적 곱 안자츠(Ansatz)로 인수분해할 수 없으므로, '비단열적' 처리가 필요하다.[61] 엑시톤-포논계의 '비단열성'은 포논 보조 전이 확률(단열적으로 처리된 것과 비교하여)을 크게 증가시키고, 전자-포논 결합 상수의 작은 값(전형적인 반도체 나노구조의 경우)에서도 프랭크-콘돈 진행과 상당히 다른 다중 포논 광학 스펙트럼을 만든다.[61]
생물물리학에서 다비도프 솔리톤은 단백질 α-나선을 따라 전파되는 자체 포획 아미드 I 여기 상태로, 다비도프 해밀토니안의 해이다. 다비도프 솔리톤을 분석하는 데 사용되는 수학적 기법은 폴라론 이론에서 개발된 일부 기법과 유사하다. 이러한 맥락에서 다비도프 솔리톤은 (i) '크기가 크므로' 연속 극한 근사가 정당화되고, (ii) 격자의 음향 모드와의 상호작용으로 인해 자체 국재화가 발생하므로 '음향적'이며, (iii) 비조화 에너지가 포논 대역폭보다 작으므로 '약하게 결합된' 폴라론에 해당한다.[62]
보즈-아인슈타인 응축체 내 불순물계도 폴라론 계열의 구성원임이 밝혀졌다.[63] 이를 통해 페슈바흐 공명을 사용하여 상호작용 강도를 외부적으로 조정할 수 있으므로 지금까지 접근할 수 없었던 강결합 영역을 연구할 수 있다. 이것은 최근 두 연구 그룹에 의해 실험적으로 실현되었다.[64][65] 보즈-아인슈타인 응축체 내 폴라론의 존재는 강결합 영역을 포함한 인력 및 척력 상호작용 모두에 대해 실험적으로 증명되었다.[66]
5. 2. 응용 분야
폴라론 개념은 여러 분야에 응용되며 다양한 확장 개념을 낳았다. 주요 확장 개념으로는 음향 폴라론, 압전 폴라론, 전자 폴라론, 결합 폴라론, 포획 폴라론, 스핀 폴라론, 분자 폴라론, 용매화 폴라론, 폴라론 엑시톤, 얀-텔러 폴라론, 소폴라론, 바이폴라론 및 다중 폴라론계가 있다.[9] 이러한 개념들은 공액 고분자, 거대 자기저항 페로브스카이트, 고온 초전도체, 층상 MgB2 초전도체, 풀러렌, 준 1차원 도체, 반도체 나노구조의 특성을 연구하는 데 사용된다.[9]폴라론과 바이폴라론이 고온 초전도체에서 역할을 한다는 가능성은 다중 폴라론계, 특히 광학적 특성에 대한 관심을 불러일으켰으며, 이론적 연구는 단일 폴라론계에서 다중 폴라론계로 확장되었다.[9][59][60]
반도체 나노구조에서는 엑시톤-포논 상태를 단열적 곱 안자츠(Ansatz)로 인수분해할 수 없어 ''비단열적'' 처리가 필요하다.[61] 엑시톤-포논계의 ''비단열성''은 포논 보조 전이 확률을 크게 증가시키고, 전자-포논 결합 상수가 작은 경우에도 프랭크-콘돈 진행과 상당히 다른 다중 포논 광학 스펙트럼을 만든다.[61]
생물물리학에서 다비도프 솔리톤은 단백질 α-나선을 따라 전파되는 자체 포획 아미드 I 여기 상태로, 다비도프 해밀토니안의 해이다. 다비도프 솔리톤 분석에는 폴라론 이론에서 개발된 일부 기법이 사용된다. 다비도프 솔리톤은 크기가 커서 연속 극한 근사가 정당화되고, 격자의 음향 모드와의 상호작용으로 자체 국재화가 발생하므로 ''음향적''이며, 비조화 에너지가 포논 대역폭보다 작으므로 ''약하게 결합된'' 폴라론에 해당한다.[62]
보즈-아인슈타인 응축체 내 불순물계도 폴라론 계열의 구성원임이 밝혀졌다.[63] 페슈바흐 공명을 사용하여 상호작용 강도를 조절할 수 있어 강결합 영역 연구가 가능해졌다. 최근 두 연구 그룹은 보즈-아인슈타인 응축체 내 폴라론의 존재를 강결합 영역을 포함한 인력 및 척력 상호작용 모두에 대해 실험적으로 증명했다.[64][65] [66]
참조
[1]
논문
Electron motion in crystal lattices
1933
[2]
논문
1946
[3]
웹사이트
Archived copy
https://web.archive.[...]
2016-08-10
[4]
논문
Über die Bewegung der Elektronen in Kristallgitter
1933
[5]
논문
Issledovanija po Elektronnoj Teorii Kristallov
1951
[6]
논문
Experimental neutron scattering evidence for proton polaron in hydrated metal oxide proton conductors
2017
[7]
논문
Lattice-assisted proton motion in perovskite oxides
2000
[8]
논문
Moles agitat mentem. Ontwikkelingen in de fysica van de vaste stof
1979
[9]
서적
Encyclopedia of Physics
Wiley-VCH
2005
[10]
논문
Properties of slow electrons in polar materials
1950
[11]
논문
Electrons in lattice fields
1954
[12]
논문
Fröhlich polaron and bipolaron: recent developments
2009
[13]
논문
Polarons and Excitons
1963
[14]
논문
Polarons
1968
[15]
논문
Polarons in Ionic Crystals and Polar Semiconductors
1972
[16]
논문
Polarons
1987
[17]
논문
Polarons
1996
[18]
논문
Polarons and Bipolarons
1996
[19]
논문
Diagrams in the polaron model
1986
[20]
논문
A new variational ansatz in the polaron theory
1968
[21]
논문
Asymptotics for the polaron
1983
[22]
논문
Exact Ground State Energy of the Strong Coupling Polaron
1997
[23]
논문
Slow Electrons in a Polar Crystal
https://authors.libr[...]
1955
[24]
논문
On the excited states of a symmetrical polaron model
1964
[25]
논문
Investigation of the Quadratic approximation in the theory of slow electrons in ionic crystals
1968
[26]
논문
Diagrammatic quantum Monte Carlo study of the Fröhlich polaron
2000
[27]
논문
Free Energy of the Fröhlich Polaron in Two and Three Dimensions
2001
[28]
논문
Ground state features of the Fröhlich model
2003
[29]
논문
ZhETF Pis Red.,
http://www.jetplette[...]
1969
[30]
서적
Advances in polaron physics
https://cds.cern.ch/[...]
Springer-Verlag
2010
[31]
논문
From electron to small polaron: An exact cluster solution
https://figshare.com[...]
1994
[32]
논문
Electron localization with and without barrier formation
1993
[33]
논문
Magneto-optical absorption of polarons
1986
[34]
논문
Optical Absorption of Polarons in the Feynman–Hellwarth–Iddings–Platzman Approximation
1972
[35]
논문
Optical Conductivity of the Fröhlich Polaron
2003
[36]
논문
Validity of the Franck-Condon Principle in the Optical Spectroscopy: Optical Conductivity of the Fröhlich Polaron
2006
[37]
논문
Numerical Study of Two-Phonon Sidebands in the Optical Absorption of Free Polarons in the Strong-Coupling Limit
1973
[38]
논문
Cyclotron resonance of polarons in the silver halides: AgBr and AgCl
1987
[39]
논문
Magnetopolaron effect on shallow indium donors in CdTe
1996-07-15
[40]
논문
Polaron cyclotron resonance in II–VI compounds at high magnetic fields
2003
[41]
논문
Optical Absorption in Ionic Crystals Involving Small Polarons
1963
[42]
논문
Quantum theory of non-steady-state conductivity in low mobility solids
1963
[43]
논문
Optical properties of small polarons in the infrared.
1963
[44]
논문
Application of the polaron-transport theory to σ(ω) in Tl2Ba2Ca1−xGdxCu2O8, YBa2Cu3O7−δ, and La2−xSrxCuO4
1990
[45]
논문
The Physics of the Two-Dimensional Electron Gas
1987
[46]
논문
Effect of screening on the optical absorption of a two-dimensional electron gas in GaAs-AlxGa1−xAs heterostructures
1986
[47]
논문
Scaling relations between the two- and three-dimensional polarons for static and dynamical properties
1987
[48]
논문
Theory of Surface Polarons
1972
[49]
논문
Exact and approximate results for the mass of a two-dimensional polaron
1988
[50]
논문
Optical phonon interaction effects in layered semiconductor structures
1985
[51]
논문
Free electrons on the surface of liquid helium in the presence of external fields
1973
[52]
논문
Polaronic aspects of two-dimensional electrons on films of liquid He
1981
[53]
논문
Magnetopolaron effect on shallow donor states in GaAs
1993
[54]
논문
Magneto Infrared Absorption in High Electron Density GaAs Quantum Wells
2001
[55]
논문
Cyclotron resonance of an interacting polaron gas in a quantum well: Magnetoplasmon-phonon mixing
2003
[56]
논문
Optical Properties of Polarons
2001
[57]
논문
Mobility of Slow Electrons in a Polar Crystal
https://resolver.cal[...]
1962
[58]
논문
Anatase TiO2—A model system for large polaron transport
https://pubs.acs.org[...]
2018
[59]
논문
Electron gas with polaronic effects: beyond the mean-field theory
2003
[60]
논문
Carrier-density effects in many-polaron systems
2007
[61]
논문
Photoluminescence of spherical quantum dots
1998
[62]
논문
Davydov's soliton
1992
[63]
논문
Feynman path-integral treatment of the BEC-impurity polaron
2009
[64]
논문
Observation of Attractive and Repulsive Polarons in a Bose-Einstein Condensate
2016
[65]
논문
Bose Polarons in the Strongly Interacting Regime
2016
[66]
논문
Non-equilibrium quantum dynamics and formation of the Bose polaron
2021
[67]
논문
量子モンテカルロ法によるポーラロン問題の数値的厳密解
[68]
서적
凝縮系の物理―ミクロの物理からマクロの物性へ
日経サイエンス
[69]
논문
Über die Bewegung der Elektronen in Kristalgitter
[70]
논문
Effective mass of a polaron
http://ujp.bitp.kiev[...]
2016-08-10
[71]
논문
Issledovanija po Elektronnoj Teorii Kristallov
1951
[71]
서적
Research in Electron Theory of Crystals
U. S. Atomic Energy Commission, Division of Technical Information
[72]
논문
Moles agitat mentem. Ontwikkelingen in de fysica van de vaste stof
1979
[73]
서적
Encyclopedia of Physics
Wiley-VCH
2005
[74]
논문
Properties of slow electrons in polar materials
1950
[75]
논문
Electrons in lattice fields
1954
[76]
논문
Fröhlich polaron and bipolaron: recent developments
2009
[77]
논문
Studies of polaron motion: Part I. The molecular-crystal model
[78]
서적
Polarons in Bulk Materials and Systems With Reduced Dimensionality
https://books.google[...]
IOS Press
2016-08-12
[79]
서적
Polarons and Excitons. Scottish Universitie's Summer School 1962
Oliver and Boyd, Edinburgh
1963
[80]
논문
Polarons
1968
[81]
서적
Polarons in ionic crystals and polar semiconductors: Antwerp Advanced Study Institute 1971 on Fröhlich polarons and electron-phonon interaction in polar semiconductors
North-Holland, Amsterdam
1972
[82]
논문
Polarons
1987
[83]
서적
Encyclopaedia of Applied Physics: Physical Geology to Polymer Dynamics
Wiley VCH
1996
[84]
서적
Polarons and Bipolarons
World Scientific, Singapore
1996
[85]
논문
Diagrams in the polaron model
1986
[86]
논문
A new variational ansatz in the polaron theory
1968
[87]
논문
Asymptotics for the Polaron
[88]
논문
Exact Ground State Energy of the Strong Coupling Polaron
1997
[89]
논문
Slow Electrons in a Polar Crystal
1955
[90]
논문
On the excited states of a symmetrical polaron model
1964
[91]
논문
Investigation of the Quadratic approximation in the theory of slow electrons in ionic crystals
1968
[92]
논문
Diagrammatic quantum Monte Carlo study of the Fröhlich polaron
2000
[93]
논문
Free Energy of the Fröhlich Polaron in Two and Three Dimensions
2001
[94]
논문
Ground state features of the Fröhlich model
2003
[95]
논문
Svyazannye sostoyaniya polyarona i fonona
http://www.jetplette[...]
2016-08-11
[96]
논문
Bound Polaron and Phonon States
http://www.jetplette[...]
2016-08-11
[97]
논문
Magneto-optical absorption of polarons
1986
[98]
논문
Optical Absorption of Polarons in the Feynman-Hellwarth-Iddings-Platzman Approximation
1972
[99]
논문
Optical Conductivity of the Fröhlich Polaron
2003
[100]
논문
Validity of the Franck-Condon Principle in the Optical Spectroscopy: Optical Conductivity of the Fröhlich Polaron
2006
[101]
논문
Numerical Study of Two-Phonon Sidebands in the Optical Absorption of Free Polarons in the Strong-Coupling Limit
1973
[102]
논문
Cyclotron resonance of polarons in the silver halides: AgBr and AgCl
1987
[103]
논문
Magnetopolaron effect on shallow indium donors in CdTe
APS
1996-07-15
[104]
논문
Polaron cyclotron resonance in II–VI compounds at high magnetic fields
2003
[105]
논문
The Physics of the Two-Dimensional Electron Gas
1987
[106]
논문
Effect of screening on the optical absorption of a two-dimensional electron gas in GaAs-AlxGa1-xAs heterostructures
1986
[107]
논문
Scaling relations between the two- and three-dimensional polarons for static and dynamical properties
1987
[108]
논문
Theory of Surface Polarons
1972
[109]
논문
Exact and approximate results for the mass of a two-dimensional polaron
1988
[110]
논문
Optical phonon interaction effects in layered semiconductor structures
1985
[111]
논문
Free electrons on the surface of liquid helium in the presence of external fields
1973
[112]
논문
Polaronic aspects of two-dimensional electrons on films of liquid He
1981
[113]
논문
Magnetopolaron effect on shallow donor states in GaAs
1993
[114]
논문
Magneto Infrared Absorption in High Electron Density GaAs Quantum Wells
2001
[115]
논문
Cyclotron resonance of an interacting polaron gas in a quantum well: Magnetoplasmon-phonon mixing
2003
[116]
논문
Optical Properties of Polarons
2001
[117]
논문
Mobility of Slow Electrons in a Polar Crystal
1962
[118]
논문
Acoustical polaron in three dimensions: The ground-state energy and the self-trapping transition
1985
[119]
논문
Piezoelectric Polaron Effects in CdS
1964
[120]
서적
Polarons and Excitons
Edinburgh: Oliver and Boyd
[121]
서적
Polarons
https://books.google[...]
Cambridge University Press
2016-08-14
[122]
논문
放射線化学の基礎 -放射線分解初期過程- 第6回
[123]
논문
Jahn-Teller Effec in Itinerant Electron Systems: The Jahn-Teller Polaron
[124]
논문
Electron gas with polaronic effects: beyond the mean-field theory
2003
[125]
논문
Carrier-density effects in many-polaron systems
2007
[126]
논문
Photoluminescence of spherical quantum dots
1998
[127]
논문
생체계에 있어서의 솔리톤
https://cir.nii.ac.j[...]
2016-08-15
[128]
논문
Davydov's soliton
1992
[129]
논문
Feynman path-integral treatment of the BEC-impurity polaron
2009
[130]
논문
Observation of Attractive and Repulsive Polarons in a Bose-Einstein Condensate
2016
[131]
논문
Bose Polarons in the Strongly Interacting Regime
2016
본 사이트는 AI가 위키백과와 뉴스 기사,정부 간행물,학술 논문등을 바탕으로 정보를 가공하여 제공하는 백과사전형 서비스입니다.
모든 문서는 AI에 의해 자동 생성되며, CC BY-SA 4.0 라이선스에 따라 이용할 수 있습니다.
하지만, 위키백과나 뉴스 기사 자체에 오류, 부정확한 정보, 또는 가짜 뉴스가 포함될 수 있으며, AI는 이러한 내용을 완벽하게 걸러내지 못할 수 있습니다.
따라서 제공되는 정보에 일부 오류나 편향이 있을 수 있으므로, 중요한 정보는 반드시 다른 출처를 통해 교차 검증하시기 바랍니다.
문의하기 : help@durumis.com