아인산 에스터
"오늘의AI위키"의 AI를 통해 더욱 풍부하고 폭넓은 지식 경험을 누리세요.
1. 개요
아인산 에스터는 아인산의 에스터로, 주로 삼염화 인과 알코올 또는 페놀의 반응을 통해 합성된다. 아인산 에스터는 산화, 퍼코우 반응, 미카엘리스-아부조프 반응, 환원 반응 등 다양한 반응을 보이며, 중합체 안정제나 균질 촉매의 리간드로 활용된다. 다이유기포스파이트는 아인산의 다이에스터로, 호변이성질화를 통해 포스포네이트 형태를 선호하며, P-H 결합의 높은 반응성을 통해 다양한 화학 반응에 참여한다.
더 읽어볼만한 페이지
- 유기 아인산염 - 다이메틸포스파이트
- 인(III) 화합물 - 아인산
아인산(H₃PO₃)은 화학식 HPO(OH)₂로 표현되는 무기산으로, 두 가지 호변이성질체로 존재하며, 삼염화인의 가수분해 등으로 생산되고 이염기산 및 강한 환원제로 작용하며, PVC 안정제 생산 등 다양한 산업 분야에서 사용되고 특정 금속과 리간드로서 배위 결합을 형성한다. - 인(III) 화합물 - 삼염화 인
삼염화 인은 인과 염소의 화합물로, 염소와 백린의 반응으로 만들어지며, 오염화 인, 인산염, 황산염 등의 전구체이자 유기 합성 시약으로 사용되고 화학 무기 금지 조약에 의해 규제된다. - 에스터 - 트라이글리세라이드
트라이글리세라이드는 글리세롤 1분자와 지방산 3분자가 에스터 결합한 화합물로, 지방산 종류와 결합 위치에 따라 종류가 나뉘며, 혈액 내 수치는 건강 지표로 사용된다. - 에스터 - 토실기
토실기는 유기 합성에 사용되는 톨루엔설포닐기로, 알코올과 아민의 보호기로 활용되며, 이탈기 및 보호기로 작용하여 다양한 유기 반응에 활용된다.
| 아인산 에스터 |
|---|
2. 합성
아인산 에스터는 삼염화 인과 알코올 또는 페놀과의 반응, 또는 에스터교환반응을 통해 합성할 수 있다.
2. 1. 삼염화 인으로부터
아인산 에스터는 일반적으로 삼염화 인(PCl3)을 알코올과 반응시켜 제조한다. 반응 경로는 두 가지로 나뉜다.[13][14]::PCl3 + 3 C2H5OH → (C2H5O)2P(O)H + 2 HCl + C2H5Cl
- 아민 염기 등의 양성자 수용체 존재 하에서는 C3 대칭성 트라이알킬 유도체를 얻을 수 있다.[3]
::PCl3 + 3 C2H5OH + 3 R3N → (C2H5O)3P + 3 R3NHCl
페놀과 같은 방향족 알코올을 사용하는 경우에는 염기가 필수적이지 않지만, 에스터화 반응을 촉진하기 위해 염기를 첨가하기도 한다.[4]
2. 2. 에스터 교환 반응에 의해
아인산 에스터는 다른 알코올과 함께 가열할 때 알코올 교환을 거치는 에스터교환반응으로 제조할 수 있다.[15] 이 과정은 가역적이며 혼합 알킬 아인산 에스터를 생산하는 데 사용할 수 있다. 아인산 트라이메틸과 같이 휘발성 알코올의 아인산 에스터가 사용되는 경우, 부산물(메탄올)은 증류하여 제거함으로써 반응을 완결시킬 수 있다.3. 트리스(유기)포스파이트의 반응 및 활용
트리스(유기)포스파이트 (P(OR)₃)는 루이스 염기로 작용하여 금속 이온과 배위 착물을 형성하며, 하이드로폼일화 및 하이드로사이안화 반응의 촉매로 사용된다.[18] 또한, 중합체의 안정제로 활용되거나, 퍼코우 반응, 미카엘리스-아부조프 반응과 같은 유기 합성에 사용된다.[16][17]
3. 1. 반응
아인산 에스터는 다음과 같은 반응을 나타낸다.- 산화: 아인산 에스터는 산화되어 인산 에스터(OP(OR)₃)를 생성한다.
:P(OR)₃ + [O] → OP(OR)₃
이 반응은 중합체에서 안정제로 사용되는 아인산 에스터의 중요한 특성 중 하나이다.[16][6] 트리스(2,4-다이-터트-뷰틸페닐)포스파이트는 중합체에서 널리 사용되는 안정제이다.

- 퍼코우 반응 및 미카엘리스-아부조프 반응: 알킬 아인산 에스터는 퍼코우 반응을 통해 바이닐 포스포네이트를, 미카엘리스-아부조프 반응을 통해 포스폰산을 생성한다. 아릴 아인산 에스터는 이러한 반응을 겪지 않는다. 이러한 특성 때문에 아릴 아인산 에스터는 PVC와 같은 할로젠 함유 중합체에서 안정제로 사용된다.
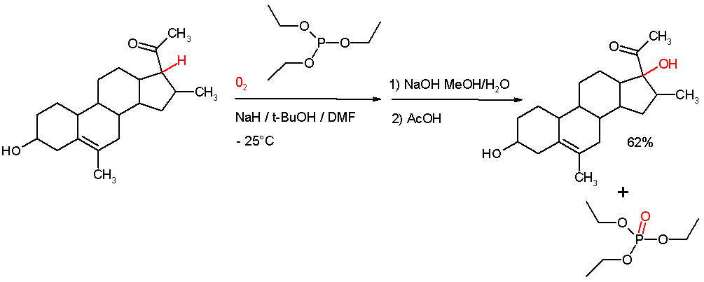
- 환원 반응: 특수한 경우에 아인산 에스터는 환원제로 사용될 수 있다. 예를 들어 아인산 트라이에틸은 특정 하이드로과산화물을 자동 산화[7]에 의해 형성되는 알코올로 환원시키는 데 사용된다. 이 과정에서 아인산 에스터는 인산 에스터로 산화된다. 벤더 택솔 전합성에도 이 반응이 활용된다.

3. 2. 균질 촉매
아인산 에스터는 루이스 염기이므로 다양한 금속 이온과 배위 착물을 형성할 수 있다. 대표적인 아인산 에스터 리간드로는 아인산 트라이메틸((MeO)3P), 아인산 트라이에틸((EtO)3P), 아인산 트라이메틸롤프로페인, 아인산 트라이페닐((PhO)3P) 등이 있다. 아인산 에스터는 구조적으로 관련된 포스핀 리간드보다 더 작은 리간드 원뿔각을 나타낸다. 아인산 에스터 리간드는 하이드로폼일화 및 하이드로사이안화를 위한 산업용 촉매의 구성 요소이다.[18]4. 다이유기포스파이트 (HP(O)(OR)₂)의 화학

다이유기포스파이트는 아인산의 다이에스터로 볼 수 있는 인(III)의 유도체이다.
P-H 결합은 이러한 화합물에서 반응성이 높은 부위인 반면, 트라이유기포스파이트에서는 인의 고립전자쌍이 반응성이 높은 부위이다. 그러나 다이유기포스파이트는 에스터교환반응을 겪는다.[21]
4. 1. 호변이성질화
다이유기포스파이트는 호변이성질화되지만 평형은 압도적으로 오른쪽 형태(포스포네이트와 유사)를 선호한다.[21]:(RO)2POH ⇌ (RO)2P(O)H
P-H 결합은 이러한 화합물(예: 애서턴-토드 반응에서)에서 반응성이 높은 부위인 반면, 트라이유기포스파이트에서는 인의 고립전자쌍이 반응성이 높은 부위이다. 그러나 다이유기포스파이트는 에스터교환반응을 겪는다.
4. 2. 반응성
다이유기포스파이트의 P-H 결합은 반응성이 높으며, 애서턴-토드 반응 등 다양한 반응에 참여한다.[21] 트라이유기포스파이트와 달리, 다이유기포스파이트는 인 원자의 비공유 전자쌍보다 P-H 결합이 더 반응성이 크다. 다이유기포스파이트는 에스터교환반응에도 참여할 수 있다.참조
[1]
서적
Inorganic Syntheses
[2]
저널
165. Interaction of hydrogen halides and n-butyl phosphites
1952
[3]
OrgSynth
Triethyl Phosphite
[4]
저널
Development and Scale-up of the Rapid Synthesis of Triphenyl Phosphites in Continuous Flow
2020-04-28
[5]
저널
The Transesterification of Trialkyl Phosphites with Aliphatic Alcohols
1956-11
[6]
백과사전
Plastics, Additives
[7]
저널
One-step procedure for the preparation of tertiary α-ketols from the corresponding ketones
[8]
서적
Phosphorus(III) Ligands in Homogeneous Catalysis: Design and Synthesis
John Wiley & Sons
[9]
저널
Practical, High-Yield, Regioselective, Rhodium-Catalyzed Hydroformylation of Functionalized α-olefins
[10]
저널
Bulky Diphosphite-Modified Rhodium Catalysts: Hydroformylation and Characterization
http://dare.uva.nl/p[...]
[11]
저널
Tautomerization Equilibria for Phosphorous Acid and its Ethyl Esters, Free Energies of Formation of Phosphorous and Phosphonic Acids and their Ethyl Esters, and p ''Ka'' Values for Ionization of the P—H Bond in Phosphonic Acid and Phosphonic Esters
[12]
저널
P(═O)H to P–OH Tautomerism: A Theoretical and Experimental Study
American Chemical Society (ACS)
2015-09-29
[13]
서적
Inorganic Syntheses
[14]
OrgSynth
Triethyl Phosphite
[15]
저널
The Transesterification of Trialkyl Phosphites with Aliphatic Alcohols
1956-11
[16]
백과사전
Plastics, Additives
[17]
저널
One-step procedure for the preparation of tertiary α-ketols from the corresponding ketones
[18]
서적
Phosphorus(III) Ligands in Homogeneous Catalysis: Design and Synthesis
John Wiley & Sons
[19]
저널
Practical, High-Yield, Regioselective, Rhodium-Catalyzed Hydroformylation of Functionalized α-olefins
[20]
저널
Bulky Diphosphite-Modified Rhodium Catalysts: Hydroformylation and Characterization
http://dare.uva.nl/p[...]
[21]
저널
The Structure and Properties of the Dialkyl Phosphonates.
1961-02-01
본 사이트는 AI가 위키백과와 뉴스 기사,정부 간행물,학술 논문등을 바탕으로 정보를 가공하여 제공하는 백과사전형 서비스입니다.
모든 문서는 AI에 의해 자동 생성되며, CC BY-SA 4.0 라이선스에 따라 이용할 수 있습니다.
하지만, 위키백과나 뉴스 기사 자체에 오류, 부정확한 정보, 또는 가짜 뉴스가 포함될 수 있으며, AI는 이러한 내용을 완벽하게 걸러내지 못할 수 있습니다.
따라서 제공되는 정보에 일부 오류나 편향이 있을 수 있으므로, 중요한 정보는 반드시 다른 출처를 통해 교차 검증하시기 바랍니다.
문의하기 : help@durumis.com