동화작용
"오늘의AI위키"의 AI를 통해 더욱 풍부하고 폭넓은 지식 경험을 누리세요.
1. 개요
동화작용은 생명체의 세포 내에서 일어나는 대사 과정의 하나로, 단순한 분자로부터 복잡한 분자를 합성하는 반응을 의미한다. 핵산, 단백질, 다당류와 같은 거대 분자를 생성하며, 에너지원으로는 이화작용을 통해 얻는 ATP를 사용한다. 동화작용은 조직과 기관을 형성하고, 세포 성장과 분화를 유도하며, 뼈의 성장, 근육량 증가와 같은 신체의 크기를 증가시키는 역할을 한다. 동화 호르몬과 광합성을 통한 탄수화물 합성, 아미노산 생합성, 글리코겐 저장, 포도당신생합성 등이 동화작용의 예시이며, 효소와 에너지 수준에 의해 조절된다.
더 읽어볼만한 페이지
동화작용 | |
---|---|
개요 | |
정의 | 생물체가 세포 내에서 간단한 물질로부터 복잡한 물질을 합성하는 과정 |
설명 | 에너지를 소비하며, 세포 성장, 유지 및 수선에 필요한 물질들을 생성함 |
과정 | 작은 분자들이 더 크고 복잡한 분자로 조립되는 단계들을 포함함 |
에너지 요구 | 일반적으로 ATP와 같은 에너지원의 공급이 필요함 |
예시 | 단백질, 탄수화물, 지질, 핵산 등의 생체 분자 합성 |
특징 | |
에너지 소비 | ATP와 같은 고에너지 분자를 사용하여 에너지를 소비하는 흡열 과정임 |
효소의 역할 | 특정한 효소들이 생화학적 경로를 촉매하여 반응 속도를 높임 |
조절 | 세포는 필요에 따라 동화 작용 경로를 조절하여 자원 낭비를 방지함 |
성장 및 유지 | 새로운 세포 물질을 합성하고 손상된 세포 구조를 수리하는 데 중요함 |
주요 경로 | |
광합성 | 식물과 일부 세균이 빛 에너지를 사용하여 이산화탄소와 물로부터 포도당을 합성하는 과정 |
캘빈 회로 | 이산화탄소를 고정하여 탄수화물을 만드는 광합성의 일부 |
단백질 합성 | 아미노산들이 펩타이드 결합을 통해 연결되어 단백질을 형성하는 과정 |
DNA 복제 | 세포 분열 전에 DNA 분자를 복사하여 유전 정보를 보존하는 과정 |
중요성 | |
생명 유지 | 모든 생명체의 성장, 발달, 생존에 필수적임 |
물질 생산 | 세포와 조직을 구성하는 모든 유기 분자를 생산함 |
에너지 저장 | 포도당이나 지방 형태로 에너지를 저장하여 필요할 때 사용함 |
환경과의 상호작용 | 광합성을 통해 대기 중 이산화탄소 농도를 조절하는 데 기여함 |
관련 용어 | |
대사 | 생체 내에서 일어나는 모든 화학 반응의 총칭 |
이화작용 | 복잡한 분자를 분해하여 에너지를 방출하는 과정 |
대사 경로 | 효소에 의해 촉매되는 일련의 생화학적 반응 |
참고 자료 | |
참고 문헌 | 동화작용 - 위키백과 Anabolism - Wikipedia 同化 (生物学) - Wikipedia |
2. 경로
동화작용은 핵산, 단백질, 다당류와 같은 거대 분자를 만드는 과정으로, 단량체를 결합하는 축합 반응을 이용한다.[26] 효소와 보조 인자는 작은 분자로부터 거대 분자를 만드는 데 필요한 요소이다.
2. 1. 에너지원
동화작용에 필요한 에너지는 큰 분자가 더 작은 분자로 분해되는 과정에서 에너지를 방출하는 이화작용(예: 세포 호흡)에 의해 공급된다.[27] 많은 동화작용은 아데노신 삼인산(ATP)의 가수분해에 의해 에너지를 공급받는다.[27] 동화작용은 일반적으로 환원 과정이며 엔트로피가 감소하는 과정이기 때문에 에너지 투입이 없으면 열역학적으로 불리하다.[28] 전구체라고 불리는 출발 물질들은 ATP를 가수분해하거나 보조 인자인 NADH, NADPH, FADH2를 산화시키거나 다른 유리한 부반응을 수행하여 얻을 수 있는 화학 에너지를 사용하여 서로 결합한다.[29] 때로는 소수성 상호작용이 분자들을 응집시키는 세포의 인지질 이중층 형성과 같은 경우에서처럼 에너지 투입 없이 엔트로피에 의해 일어날 수도 있다.[30]2. 2. 보조 인자
환원제인 NADH, NADPH, FADH2[31]와 금속 이온[24]은 동화 경로의 다양한 단계에서 보조 인자로 작용한다. NADH, NADPH, FADH2는 전자 운반체로 작용하며, 효소 내의 하전된 금속 이온은 기질의 하전된 작용기를 안정화시킨다.2. 3. 기질
동화 경로에 사용되는 기질은 대부분 세포의 에너지 충전이 높은 기간 동안 이화 경로에서 얻어지는 대사 중간생성물이다.[33]3. 기능
동화작용은 조직과 기관을 형성하고, 세포의 생장과 분화를 일으켜 신체 크기를 증가시킨다. 뼈의 생장과 무기질화, 근육량 증가는 동화 과정의 대표적인 예시이다.
3. 1. 동화 호르몬
내분비학자들은 전통적으로 호르몬이 자극하는 물질대사의 부분에 따라 호르몬을 동화 호르몬 또는 이화 호르몬으로 분류해 왔다. 고전적인 동화 호르몬은 단백질 합성과 근육 생장을 자극하는 동화 스테로이드와 인슐린이다.[1]3. 2. 광합성 탄수화물 합성
식물과 특정 세균에서 일어나는 광합성 탄수화물 합성은 이산화 탄소(CO2)로부터 포도당, 셀룰로스, 녹말, 지질, 단백질을 생성하는 동화작용이다.[28][6][17] 이 과정은 광합성의 광의존적 반응에서 생성된 에너지를 사용하고, 캘빈 회로를 통한 탄소 동화를 통해 이러한 큰 분자의 전구체를 생성한다.[33][11][22]
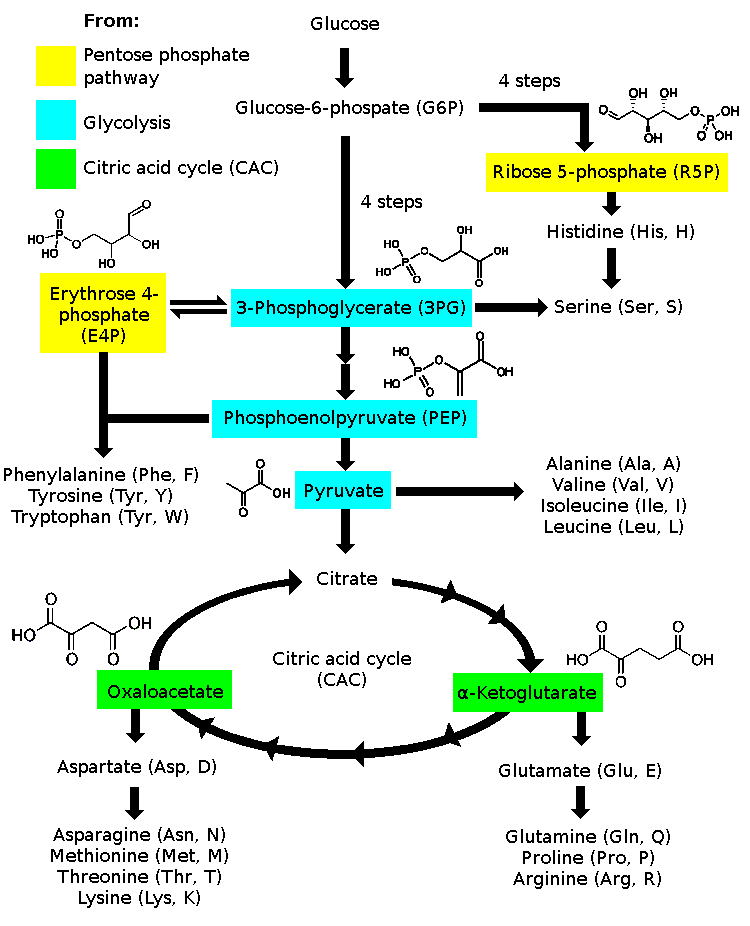
3. 3. 아미노산 생합성
모든 아미노산은 해당과정, 시트르산 회로 또는 오탄당 인산 경로의 이화 과정에서 대사 중간생성물로부터 생성된다.[33]- 해당과정의 대사 중간생성물
- 포도당 6-인산: 히스티딘의 전구체[33]
- 3-포스포글리세르산: 글리신, 시스테인의 전구체[33]
- 포스포엔올피루브산 + 에리트로스 4-인산(3-포스포글리세르산의 유도체): 트립토판, 페닐알라닌, 티로신[33]
- 피루브산: 알라닌, 발린, 류신, 아이소류신의 전구체[33]
3. 4. 글리코젠 저장
고혈당 상태가 지속될 때, 해당과정에서 생성된 포도당 6-인산은 글리코젠 저장 경로로 전환된다. 포도당 6-인산은 포스포글루코뮤테이스에 의해 포도당 1-인산으로 전환되고, 포도당 1-인산은 UTP-포도당 1-인산 유리딜릴기전이효소에 의해 UDP-포도당으로 전환된다. 글리코젠 생성효소는 UDP-포도당을 글리코젠 사슬에 첨가한다.[33]3. 5. 포도당신생합성
글루카곤은 간에서 포도당신생합성을 자극하여, 기아 상태에서 저혈당을 방지한다.[31] 포도당신생합성은 피루브산을 포도당으로 변환하는 과정이다. 피루브산은 포도당, 젖산, 아미노산, 또는 글리세롤의 분해로부터 얻을 수 있다.[32] 포도당신생합성은 해당과정과 가역 반응을 촉매하는 많은 효소들을 공유하지만, 해당과정의 단순한 역반응은 아니다. 포도당신생합성은 전체 경로가 한 방향으로만 진행되도록 하기 위해 해당과정과는 다른 비가역적 효소를 사용한다.[32]4. 조절
동화작용은 촉매 작용과 별개의 효소로 조절되며, 이 효소는 경로의 특정 지점에서 비가역적인 단계를 거친다. 이것은 세포가 생산 속도를 조절하고 이화작용으로 형성되는 낭비 회로(헛바퀴 회로)로 알려진 무한 루프를 방지할 수 있도록 한다.[33][11][22]
동화작용과 이화작용 사이의 균형은 ADP와 ATP(세포의 에너지 충전이라고도 함)에 민감하다. 과잉의 ATP는 세포가 동화작용을 촉진하고 이화작용을 늦추게 하는 반면, 과잉의 ADP는 세포가 동화작용을 늦추고 이화작용을 촉진하게 한다.[33][11][22] 이러한 경로는 또한 하루 종일 동물의 정상적인 활동 기간에 맞춰 변동하는 해당과정과 같은 과정을 일주기 리듬에 맞추어 조절한다.[34][12][23]
5. 어원
동화작용(anabolism)이라는 용어는 그리스어로 "위쪽으로(upward)"라는 의미의 "ἁνά"와 "던지다(to throw)"라는 의미의 "βάλλειν"에서 유래하였다.
참조
[1]
서적
Bacterial Cellular Metabolic Systems
Elsevier
2013
[2]
웹사이트
Glossary of Terms Used in Bioinorganic Chemistry: Anabolism
http://www.chem.qmul[...]
International Union of Pure and Applied Chemistry
2007-10-30
[3]
서적
Biology
https://cnx.org/cont[...]
OpenStax
[4]
서적
Molecular Biology of the Cell
https://www.ncbi.nlm[...]
CRC Press
2018-11-01
[5]
서적
Bioenergetics
Academic Press
2002
[6]
서적
Biochemistry Free and Easy
https://biochem.scie[...]
Oregon State University
[7]
서적
Fundamentals of biochemistry : life at the molecular level
Wiley
2013
[8]
서적
Phospholipids: biochemical, pharmaceutical, and analytical considerations
2013-11-11
[9]
서적
Biochemistry Online
LibreTexts
[10]
서적
Biochemistry
https://archive.org/[...]
W.H. Freeman
2002
[11]
서적
Principles of Biochemistry
W.H. Freeman
[12]
저널
The clockwork of metabolism
[13]
웹사이트
Glossary of Terms Used in Bioinorganic Chemistry: Anabolism
http://www.chem.qmul[...]
International Union of Pure and Applied Chemistry
2007-10-30
[14]
서적
Biology
https://cnx.org/cont[...]
OpenStax
[15]
서적
Molecular Biology of the Cell
https://www.ncbi.nlm[...]
CRC Press
2018-11-01
[16]
서적
Bioenergetics
Academic Press
2002
[17]
서적
Biochemistry Free and Easy
https://biochem.scie[...]
Oregon State University
[18]
서적
Fundamentals of biochemistry : life at the molecular level
Wiley
2013
[19]
서적
Phospholipids: biochemical, pharmaceutical, and analytical considerations
2013-11-11
[20]
서적
Biochemistry Online
LibreTexts
[21]
서적
Biochemistry
https://archive.org/[...]
W.H. Freeman
2002
[22]
서적
Principles of Biochemistry
W.H. Freeman
[23]
저널
The clockwork of metabolism
[24]
웹인용
Glossary of Terms Used in Bioinorganic Chemistry: Anabolism
http://www.chem.qmul[...]
International Union of Pure and Applied Chemistry
2007-10-30
[25]
서적
Biology
https://cnx.org/cont[...]
OpenStax
[26]
서적
Molecular Biology of the Cell
https://www.ncbi.nlm[...]
CRC Press
2018-11-01
[27]
서적
Bioenergetics
https://archive.org/[...]
Academic Press
2002
[28]
서적
Biochemistry Free and Easy
https://biochem.scie[...]
Oregon State University
2022-09-26
[29]
서적
Fundamentals of biochemistry : life at the molecular level
https://archive.org/[...]
Wiley
2013
[30]
서적
Phospholipids: biochemical, pharmaceutical, and analytical considerations
2013-11-11
[31]
서적
Biochemistry Online
LibreTexts
[32]
서적
Biochemistry
https://archive.org/[...]
W.H. Freeman
2002
[33]
서적
Principles of Biochemistry
W.H. Freeman
[34]
저널
The clockwork of metabolism
본 사이트는 AI가 위키백과와 뉴스 기사,정부 간행물,학술 논문등을 바탕으로 정보를 가공하여 제공하는 백과사전형 서비스입니다.
모든 문서는 AI에 의해 자동 생성되며, CC BY-SA 4.0 라이선스에 따라 이용할 수 있습니다.
하지만, 위키백과나 뉴스 기사 자체에 오류, 부정확한 정보, 또는 가짜 뉴스가 포함될 수 있으며, AI는 이러한 내용을 완벽하게 걸러내지 못할 수 있습니다.
따라서 제공되는 정보에 일부 오류나 편향이 있을 수 있으므로, 중요한 정보는 반드시 다른 출처를 통해 교차 검증하시기 바랍니다.
문의하기 : help@durumis.com