사이토글로빈
"오늘의AI위키"의 AI를 통해 더욱 풍부하고 폭넓은 지식 경험을 누리세요.
1. 개요
사이토글로빈은 조직 내 산소 확산을 촉진하고, 산화 질소 및 활성 산소를 제거하며, 산화 스트레스로부터 보호하는 기능을 하는 6배위 헴 단백질이다. 미오글로빈과 염기 서열 상 유사성을 가지며, N 말단과 C 말단에 아미노산 연장이 존재한다. 산화 환경에서 이황화 결합을 통해 산소 결합이 조절되며, 간성상세포를 구별하는 표지자로 활용될 수 있다.
더 읽어볼만한 페이지
- 헴 단백질 - 미오글로빈
미오글로빈은 근육 조직 내 산소 저장 단백질로, 헴기에 산소를 결합하며, 최초로 삼차 구조가 밝혀진 단백질이고, 헤모글로빈보다 산소 친화력이 높으며, 붉은 고기 색 결정, 대체육 활용, 근육 손상 진단 등과 관련된다. - 헴 단백질 - 메트헤모글로빈
메트헤모글로빈은 헤모글로빈의 일종으로, 헴 철 이온이 산화된 Fe3+ 상태로 존재하여 산소 결합 능력을 상실한 상태를 말하며, 후천적으로는 환경적 요인이나 약물에 의해, 선천적으로는 유전적 결함으로 인해 발생할 수 있다. - 인간 17번 염색체상 유전자 - 성장 호르몬
성장 호르몬은 뇌하수체에서 분비되어 성장 촉진과 신진대사 조절 기능을 수행하며, 결핍 시 왜소증, 과다 시 거인증 등을 유발할 수 있고, 의학적으로는 다양한 질환 치료에 사용된다. - 인간 17번 염색체상 유전자 - BRCA1
BRCA1은 DNA 복구, 전사 조절, 세포 주기 조절 등 다양한 기능을 수행하며 유방암 및 난소암과 관련되어, 이 유전자의 돌연변이는 유전성 유방-난소암 증후군을 유발하여 암 위험을 증가시킨다.
2. 기능
사이토글로빈은 조직 내 산소 확산을 촉진하고, 산화 질소 또는 활성 산소를 제거하며, 산화 스트레스 동안 보호 기능을 수행할 수 있는, 널리 발현되는 6배위 헤모글로빈이다.[13][14][5][6]
사이토글로빈은 미오글로빈과 염기 서열 상 동질성이 30~40% 일치하며, 유사한 산소 결합 친화성을 가진다. 주요 차이점 중 하나는 N 말단과 C 말단 모두에 20개의 아미노산 연장이 존재한다는 것이다.[7]
3. 구조
3. 1. 6배위 헴 구조
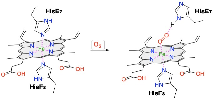
사이토글로빈은 6배위 헴 단백질이다. 헴 철은 양쪽의 히스티딘 잔기(HisF8 및 HisE7)와 배위된다. HisE7은 "내인성 리간드"로 간주된다. 산소 또는 다른 기체 리간드가 결합하려면 HisE7이 철로부터 분리되어야 하므로 결합 역학이 비교적 느리다.[8]
3. 2. 산화 환원 상태와 산소 결합
산화 환경에서 단백질의 Cys38과 Cys83 사이에 이황화 결합이 형성되어 HisE7이 비켜가도록 입체 구조 변화를 일으켜 산소 결합을 허용한다. 따라서 산소 결합은 조직의 산화 환원 상태에 따라 달라진다.[7]
4. 활용
CYGB 발현은 손상된 인간 간에서 간성상세포를 문맥 근섬유아세포와 구별할 수 있는 특정 표지자로 사용될 수 있다.[15][9]
참조
[1]
논문
Characterization of a stellate cell activation-associated protein (STAP) with peroxidase activity found in rat hepatic stellate cells
2001-07
[2]
논문
Neuroglobin and cytoglobin: Fresh blood for the vertebrate globin family
https://www.embopres[...]
2002-12
[3]
논문
Cytoglobin: a novel globin type ubiquitously expressed in vertebrate tissues
2002-04
[4]
웹사이트
Why Diving Marine Mammals Resist Brain Damage from Low Oxygen
https://www.scienced[...]
2007-12-20
[5]
웹사이트
Entrez Gene: CYGB cytoglobin
https://www.ncbi.nlm[...]
[6]
논문
A ubiquitously expressed human hexacoordinate hemoglobin
2002-05
[7]
논문
The role of globins in cardiovascular physiology
2022-04-01
[8]
논문
Neuroglobin and cytoglobin in search of their role in the vertebrate globin family
https://www.scienced[...]
2005-01-01
[9]
논문
Cytoglobin is expressed in hepatic stellate cells, but not in myofibroblasts, in normal and fibrotic human liver
2014-02
[10]
논문
Characterization of a stellate cell activation-associated protein (STAP) with peroxidase activity found in rat hepatic stellate cells
2001-07
[11]
논문
Cytoglobin: a novel globin type ubiquitously expressed in vertebrate tissues
2002-04
[12]
웹인용
Why Diving Marine Mammals Resist Brain Damage from Low Oxygen
https://www.scienced[...]
2007-12-20
[13]
웹인용
Entrez Gene: CYGB cytoglobin
https://www.ncbi.nlm[...]
[14]
논문
A ubiquitously expressed human hexacoordinate hemoglobin
2002-05
[15]
논문
Cytoglobin is expressed in hepatic stellate cells, but not in myofibroblasts, in normal and fibrotic human liver
2014-02
본 사이트는 AI가 위키백과와 뉴스 기사,정부 간행물,학술 논문등을 바탕으로 정보를 가공하여 제공하는 백과사전형 서비스입니다.
모든 문서는 AI에 의해 자동 생성되며, CC BY-SA 4.0 라이선스에 따라 이용할 수 있습니다.
하지만, 위키백과나 뉴스 기사 자체에 오류, 부정확한 정보, 또는 가짜 뉴스가 포함될 수 있으며, AI는 이러한 내용을 완벽하게 걸러내지 못할 수 있습니다.
따라서 제공되는 정보에 일부 오류나 편향이 있을 수 있으므로, 중요한 정보는 반드시 다른 출처를 통해 교차 검증하시기 바랍니다.
문의하기 : help@durumis.com
