재배열 반응
"오늘의AI위키"의 AI를 통해 더욱 풍부하고 폭넓은 지식 경험을 누리세요.
1. 개요
재배열 반응은 화학 화합물 내에서 원자 또는 원자단의 위치가 바뀌는 유기 반응을 총칭한다. 전위 반응은 반응 메커니즘, 이동하는 원자단의 종류, 반응 조건 등에 따라 친핵성, 친전자성, 시그마트로피, 라디칼 전위 등으로 분류된다. 1,2-전위, 1,3-전위와 같은 특정 위치에서의 전위 반응과 고리형 전위 반응, 올레핀 복분해 반응 등 다양한 유형이 존재한다.
더 읽어볼만한 페이지
재배열 반응 | |
---|---|
재배열 반응 | |
유형 | 유기 반응 |
상세 정보 | |
설명 | 분자가 구조 이성질체로 변환되는 반응 |
관련 반응 | 알릴 재배열 베크만 재배열 커티우스 재배열 파보르스키 재배열 호프만 재배열 로시 재배열 볼프 재배열 클라이젠 재배열 디멘 재배열 프리스 재배열 뉴메릭-하우스 재배열 오버하우저 재배열 피셔-헵 재배열 밤베르거 재배열 핀켈슈타인 반응 알베르트-바흐라흐 재배열 윌거로드 반응 블랑 반응 (고리형) 채드본스-헤이그 변환 코프 제거 스마일즈 재배열 좀머렛 재배열 브라운 수소화 붕소 첨가 반응 에션모저-타나베 분열 바그너-메이어바인 재배열 휘티히 재배열 할로폼 반응 티파노-데미아노프 재배열 스티븐스 재배열 보르셰-드레이젤 고리화 반응 카로티 반응 포스터-피셔 인돌 합성 베르티히 반응 하우저-피셔 고리화 반응 라이머-티만 반응 다킨-웨스트 반응 딜스-알더 반응 에놀 반응 그리그 반응 만니히 반응 마이클 반응 페트리안 반응 비티히 반응 율만 반응 에드워즈 반응 히야마 연결 반응 네기시 연결 반응 스즈키 반응 스티예 반응 소노가시라 연결 반응 부흐발트-하르트비히 아미네이션 반응 헤크 반응 후스겐 고리화 반응 샤르프레스 비대칭 다이하이드록실화 반응 베이리스-힐만 반응 에셜-클라이젠 재배열 존슨-클라이젠 재배열 아자-클라이젠 재배열 아이르랜드-클라이젠 재배열 |
2. 주요 전위 반응
전위 반응은 반응 메커니즘, 이동하는 원자단의 종류, 반응 조건 등에 따라 다양하게 분류할 수 있다. 주요 전위 반응은 다음과 같다.
반응 종류 | 설명 | 예시 |
---|---|---|
친핵성 전위 | 전자가 풍부한 원자단이 전자가 부족한 원자로 이동하는 반응 | 바그너-메르바인 전위, 피나콜-피나콜론 전위, 벤질-벤질산 전위, 알릴 전위, 울프 전위, 파보르스키 전위, 푸메러 전위, 루프 전위, 마이어-슈스터 전위, 밤베르거 전위, 프리치-부텐베르크-비첼 전위, 스마일스 전위, 프리스 전위, 벡만 전위, 쿠르티우스 전위, 로센 전위, 호프만 전위, 슈미트 반응, 바이어-빌리거 산화, 크리게 전위, 데이킨 반응, 디엔온-페놀 전위 |
친전자성 전위 | 전자가 부족한 원자단이 전자가 풍부한 원자로 이동하는 반응 | 스티븐스 전위, 솜레-하우저 전위, 비티히 전위 |
시그마트로피 전위 | 시그마 결합을 통해 원자단이 이동하는 반응 | 클라이젠 전위, 코프 전위, 엔 반응, 벤지딘 전위 |
라디칼 전위 | 자유 라디칼을 통해 원자단이 이동하는 반응 |
2. 1. 1,2-전위 반응
1,2-재배열은 화학 화합물에서 치환기가 한 원자에서 다른 원자로 이동하는 유기 반응이다. 1,2 이동에서 이동은 인접한 두 원자 사이에서 일어나지만, 더 큰 거리로 이동하는 것도 가능하다. 골격 이성질체화는 실험실에서는 일반적으로 사용되지 않지만, 정유 공장에서는 대규모로 활용된다. 일반적으로 직쇄 알케인은 촉매 존재 하에 가열하여 분지형 이성질체로 전환된다. 예를 들어 n-부탄은 아이소부탄으로, 펜테인은 아이소펜테인으로 이성질체화된다. 고도로 분지된 알케인은 내연 기관에 유리한 연소 특성을 갖는다.[2]1,2-재배열의 추가적인 예시로는 바그너-메르바인 재배열이 있다.
또한, 특정 나일론의 생산과 관련된 베크만 재배열도 1,2-재배열의 예시 중 하나이다.[3][4]
2. 2. 1,3-전위 반응
1,3-전위 반응은 분자 내에서 1, 3 위치에 있는 두 원자 사이에서 치환기가 이동하는 반응이다.예시는 다음과 같다.
- 프리스 전위
- 베르베논에서 크리산테논으로의 1,3-알킬 이동
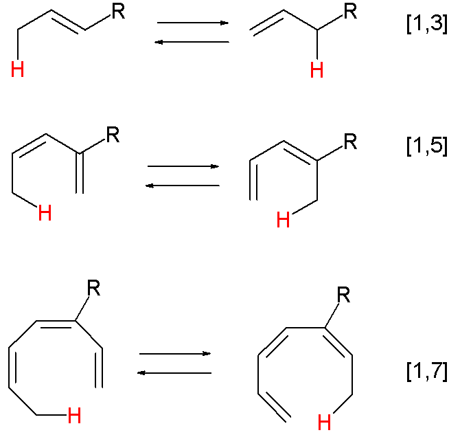
2. 3. 고리형 전위 반응 (Pericyclic reactions)
고리형 전위 반응은 여러 개의 탄소-탄소 결합이 동시에 생성되고 끊어지는 반응으로, 분자의 전이 상태가 고리형 구조를 가지며 반응이 일관된 방식으로 진행된다. 수소화물 이동, 클라이젠 전위 등이 이에 해당한다.[5]
2. 4. 올레핀 복분해 반응 (Olefin metathesis)
올레핀 복분해 반응은 두 개의 알켄에서 알킬리덴 조각을 형식적으로 교환하는 반응이다. 이는 카벤, 더 정확히는 전이 금속 카벤 착물 중간체를 갖는 촉매 반응이다.이 예시(에텐 분해)에서, 한 쌍의 비닐기 화합물은 에틸렌의 방출과 함께 새로운 대칭 알켄을 형성한다.
2. 5. 기타 전위 반응
친핵성 전위, 친전자성 전위, 라디칼 전위 등 다양한 메커니즘으로 진행되는 전위 반응이 있다.- '''라디칼 전위'''
2. 5. 1. 친핵성 전위
- 바그너-메르바인 전위
- 피나콜-피나콜론 전위
- 벤질-벤질산 전위
- 알릴 전위
- 울프 전위
- 파보르스키 전위
- 푸메러 전위
- 루프 전위
- 마이어-슈스터 전위
- 밤베르거 전위
- 프리치-부텐베르크-비첼 전위
- 스마일스 전위
- 프리스 전위
- 벡만 전위
- 쿠르티우스 전위
- 로센 전위
- 호프만 전위
- 슈미트 반응
- 바이어-빌리거 산화
- 크리게 전위
- 데이킨 반응
- 디엔온-페놀 전위
2. 5. 2. 친전자성 전위
- 스티븐스 전위
- 솜레-하우저 전위
- 비티히 전위
2. 5. 3. 시그마트로피 전위
- 클라이젠 전위
- 코프 전위
- 엔 반응
- 벤지딘 전위
참조
[1]
문서
"#REDIRECT"
[2]
백과사전
Hydrocarbons
Wiley-VCH
[3]
서적
Organic chemistry
Oxford University Press
2012
[4]
간행물
Ring-Opening Polymerization—An Introductory Review
2013-04-25
[5]
간행물
The thermal, aliphatic Claisen rearrangement
1988-12
본 사이트는 AI가 위키백과와 뉴스 기사,정부 간행물,학술 논문등을 바탕으로 정보를 가공하여 제공하는 백과사전형 서비스입니다.
모든 문서는 AI에 의해 자동 생성되며, CC BY-SA 4.0 라이선스에 따라 이용할 수 있습니다.
하지만, 위키백과나 뉴스 기사 자체에 오류, 부정확한 정보, 또는 가짜 뉴스가 포함될 수 있으며, AI는 이러한 내용을 완벽하게 걸러내지 못할 수 있습니다.
따라서 제공되는 정보에 일부 오류나 편향이 있을 수 있으므로, 중요한 정보는 반드시 다른 출처를 통해 교차 검증하시기 바랍니다.
문의하기 : help@durumis.com