다카바진
"오늘의AI위키"의 AI를 통해 더욱 풍부하고 폭넓은 지식 경험을 누리세요.
1. 개요
다카바진은 항암제로, 전이성 흑색종, 호지킨 림프종, 육종, 갈색세포종 치료에 사용된다. 전이성 흑색종에는 단독 요법으로, 호지킨 림프종에는 ABVD 요법의 일부로, 육종에는 MAID 요법의 일부로 사용되며, 프로카바진과 유사한 효과를 보인다. 부작용으로는 식욕 부진, 백혈구 감소, 혈소판 감소, 구토, 간 손상 등이 있으며, 스웨덴 국립 보건 복지 위원회는 간 문제로 인해 다카바진 사용을 피할 것을 권고했다. 1959년 서던 리서치에서 합성되었으며, 1975년 미국 FDA 승인을 받았다.
더 읽어볼만한 페이지
- 이미다졸 - 히스티딘
히스티딘은 이미다졸 곁사슬을 가진 필수 아미노산으로, 효소 촉매 반응, 금속 이온과의 결합, 다른 생물학적 활성 아민으로의 전환 등 다양한 생물학적 역할을 수행하며, 성인의 경우 체중 1kg당 14mg이 권장된다. - 이미다졸 - 온단세트론
온단세트론은 선택적 세로토닌 5-HT3 수용체 길항제로서 화학요법이나 수술 후 메스꺼움과 구토를 예방하고, 임신 중 입덧, 위장염 관련 구토 완화, 설사형 과민성 대장 증후군 증상 개선에 사용되지만, 두통, 변비, 설사 등의 흔한 부작용과 QT 연장과 같은 심각한 부작용 발생 가능성이 있다. - 기형 유발 물질 - 벤젠
벤젠은 6개의 탄소 원자가 정육각형으로 배열된 방향족 탄화수소로, 높은 안정성을 가지며 유기 화합물 합성에 중요하게 사용되지만 발암물질이므로 주의해야 한다. - 기형 유발 물질 - 괴물
괴물은 원래 신의 경고를 나타내는 비정상적 존재를 의미하는 단어였으나, 점차 혐오스럽고 끔찍한 존재라는 부정적 의미가 강화되어 다양한 매체에서 공포와 판타지의 대상으로 묘사된다. - 카복사마이드 - 아마이드
아마이드는 카복실산 유도체로 카보닐기에 질소 원자가 결합된 아마이드기를 가지며, 약한 염기성, 부분적인 이중 결합 특성, 수소 결합 형성 능력으로 인해 다양한 화학 반응 및 단백질 구조 형성에 중요한 역할을 한다. - 카복사마이드 - 글루타민
글루타민은 인체 내 가장 풍부한 아미노산으로 단백질 합성, 에너지 생산, 질소 대사 등 생화학적 과정에 필수적이며 암세포 성장과 관련이 있고, 주로 근육에서 생성되며 의약품 및 건강 보조제로 사용되지만 일부 암 환자에게는 부작용을 일으킬 수 있다.
다카바진 - [화학 물질]에 관한 문서 | |
---|---|
개요 | |
![]() | |
발음 | IPA: /dəˈkɑːrbəˌziːn/ |
상품명 | DTIC-Dome 기타 |
Drugs.com | drugs.com 다카바진 정보 |
MedlinePlus | a682750 |
투여 경로 | 정맥 |
ATC 코드 | L01AX04 |
법적 지위 (미국) | 처방전 필요 |
약물 정보 | |
생체 이용률 | 100% |
대사 | 광범위함 |
대사산물 | 해당 없음 |
제거 반감기 | 5시간 |
배설 | 콩팥 (40%는 변환되지 않은 다카바진으로 배설) |
식별자 | |
CAS 등록번호 | 4342-03-4 |
PubChem | 2942 |
ChEBI | 4305 |
DrugBank | DB00851 |
ChemSpider | 10481959 |
UNII | 7GR28W0FJI |
KEGG | D00288 C06936 |
ChEMBL | 476 |
동의어 | DTIC |
화학 정보 | |
IUPAC 명칭 | 5-(3,3-다이메틸-1-트라이아제닐)이미다졸-4-카복사마이드 |
분자식 | C6H10N6O |
SMILES | CN(C)N=Nc1[nH]cnc1C(N)=O |
StdInChI | 1S/C6H10N6O/c1-12(2)11-10-6-4(5(7)13)8-3-9-6/h3H,1-2H3,(H2,7,13)(H,8,9)/b11-10+ |
StdInChIKey | FDKXTQMXEQVLRF-ZHACJKMWSA-N |
추가 정보 (일본어 문서 기반) | |
상품명 (일본) | 다카르바진 (ダカルバジン) Dtic-dome |
임신 카테고리 | C |
법적 지위 (일본) | 극약 처방전 의약품 |
대사 (일본) | 5-아미노이미다졸-4-카르복사마이드(AIC) |
배설 (일본) | 뇨중 (23%가 미변화체) |
분자량 | 182.18 |
InChI | 1/C6H10N6O/c1-12(2)11-10-6-4(5(7)13)8-3-9-6/h3H,1-2H3,(H2,7,13)(H,8,9)/b11-10+ |
InChIKey | FDKXTQMXEQVLRF-ZHACJKMWBK |
2. 의학적 사용
다카바진은 전이성 흑색종 치료에 단일 약제로 사용되거나, 호지킨 림프종 치료를 위한 ABVD 화학 요법, 육종 치료를 위한 MAID 요법, 갈색세포종 치료를 위한 CVD 요법 등 다양한 화학 요법의 구성 요소로 사용된다.[21][22][23] 독일 임상 시험에서는 기형 발생 효과 없이 프로카바진만큼 효과가 있는 것으로 입증되어 소아 호지킨 림프종 치료에 사용되는 COPP 요법을 대체하기도 했다.[9][10][24]
2. 1. 전이성 흑색종
다카바진은 단일 약제로서 전이성 흑색종 치료에 널리 사용되며,[21] 호지킨 림프종 치료를 위한 ABVD 화학 요법[22]과 육종 치료를 위한 MAID 요법의 일부로 사용된다.[23] 프로카바진만큼 효과적인 것으로 입증되었다.[24]2006년 중반 기준으로, 다카바진은 전이성 흑색종 치료에 단일 제제로 널리 사용되며,[4][5] 호지킨 림프종 치료를 위한 ABVD 화학 요법 요법과[6] 육종 치료를 위한 MAID 요법의 일부로 사용된다.[7][8] 다카바진은 기형 발생 효과 없이 소아 호지킨 림프종에 대한 독일 임상 시험에서 프로카바진만큼 효과적인 것으로 입증되었다.[9] 따라서 COPDAC는 OEPA를 따른 TG2 & 3에 대한 어린이의 이전 COPP 요법을 대체했다.[10]
일본에서 다카바진은 악성 흑색종, 호지킨 림프종, 갈색세포종 치료에 사용된다.
다카바진은 전이성 악성 흑색종 치료에 단독 요법으로 사용되며, 다음과 같은 화학 요법의 일부로도 사용된다.
- ABVD 요법: 호지킨 림프종 치료 (아드리아마이신, 블레오마이신, 빈블라스틴, '''다카바진''')
- MAID 요법: 육종 치료 (메스나, 독소루비신, 이포스파미드, '''다카바진''')
- CVD 요법: 갈색세포종 치료 (사이클로포스파미드, 빈크리스틴, '''다카바진''')
2. 2. 호지킨 림프종
다카바진은 전이성 흑색종 치료에 단일 제제로 널리 사용되며,[4][5] 호지킨 림프종 치료를 위한 ABVD 화학 요법 요법과[6][22] 육종 치료를 위한 MAID 요법의 일부로 사용된다.[7][8][23] 다카바진은 기형 발생 효과 없이 소아 호지킨 림프종에 대한 독일 임상 시험에서 프로카바진만큼 효과적인 것으로 입증되었다.[9][24] 따라서 COPDAC는 OEPA를 따른 TG2 & 3에 대한 어린이의 이전 COPP 요법을 대체했다.[10] 일본에서의 적응증은 악성 흑색종, 호지킨 림프종, 갈색세포종이다.2. 3. 육종
다카바진은 육종 치료를 위한 MAID 요법 (메스나, 독소루비신, 이포스파미드, 다카르바진)의 일부로 사용된다.[7][8][23]2. 4. 갈색세포종
일본에서의 적응증은 악성 흑색종, 호지킨 림프종, 갈색세포종이다.[24] 다카르바진은 전이성 악성 흑색종 치료에 단독 요법으로 사용되며, 호지킨 림프종에는 ABVD 요법(아드리아마이신, 블레오마이신, 빈블라스틴, '''다카르바진''')으로, 육종에는 MAID 요법(메스나, 독소루비신, 이포스파미드, '''다카르바진''')으로, 갈색세포종에는 CVD 요법(사이클로포스파미드, 빈크리스틴, '''다카르바진''')의 일부로 사용된다.2. 5. 기타
다카바진은 전이성 악성 흑색종 치료에 단독 요법으로 사용되며, 호지킨 림프종 치료를 위한 ABVD 요법 (아드리아마이신, 블레오마이신, 빈블라스틴, 다카바진)과 육종 치료를 위한 MAID 요법 (메스나, 독소루비신, 이포스파미드, 다카바진), 갈색세포종 치료를 위한 CVD 요법 (사이클로포스파미드, 빈크리스틴, 다카바진)의 일부로 사용된다.[21][22][23] 프로카바진만큼 효과적인 것으로 입증되었다.[24]2006년 중반 기준으로, 다카바진은 전이성 흑색종 치료에 단일 제제로 널리 사용되며,[4][5] 호지킨 림프종 및 육종 치료를 위한 MAID 요법의 일부로 사용된다.[6][7][8] 소아 호지킨 림프종에 대한 독일 임상 시험에서 다카바진은 기형 발생 효과 없이 유사한 화학적 특성을 가진 프로카바진만큼 효과적인 것으로 입증되었다.[9] 따라서 COPDAC는 OEPA를 따른 TG2 & 3에 대한 어린이의 이전 COPP 요법을 대체했다.[10]
일본에서의 적응증은 악성 흑색종, 호지킨 림프종, 갈색세포종이다.
3. 작용 기전
다카바진은 간에서 효소에 의해 활성화되어 알킬화 화합물인 MTIC가 된다.[13] MTIC는 DNA를 메틸화, 변형시키고 교차 결합을 유발하여 DNA, RNA 및 단백질 합성을 억제한다.[14]
3. 1. 활성화
다카바진은 간 효소에 의해 활성화되어 알킬화 화합물인 5-(3-모노메틸-1-트라이아제닐)-1H-이미다졸-4-카복사마이드(MTIC)가 된다.[25] MTIC는 DNA를 메틸화, 변형시키고 교차결합을 유발하여 DNA, RNA, 단백질 합성을 억제한다.[26][13][14] 다카르바진은 DNA에 알킬기(CnH2n+1)를 부가하여 항종양 효과를 나타내는데, 간에서 탈메틸화되어 "MTIC"가 된 후, 디아조메탄을 방출하여 DNA를 알킬화한다.3. 2. DNA, RNA 및 단백질 합성 억제
다카바진은 간 효소에 의해 활성화되어 알킬화 화합물인 5-(3-모노메틸-1-트라이아제닐)-1H-이미다졸-4-카복사마이드(MTIC)를 형성한다.[25] 이는 DNA의 메틸화, 변형, 교차결합을 유발해 DNA, RNA, 단백질 합성을 억제한다.[26]다카르바진은 DNA에 알킬기(CnH2n+1)를 부가하여 항종양 효과를 나타낸다. 간에서 탈메틸화되어 "MTIC"가 된 후, 디아조메탄을 방출하여 DNA를 알킬화한다.[13][14]
4. 부작용
다카바진은 암세포뿐만 아니라 정상 세포의 성장도 방해하여 여러 부작용을 일으킬 수 있다. 일반적인 부작용 외에도 치료 중 임신 시 선천적 결함, 불임, 면역 억제 등의 심각한 부작용이 나타날 수 있다. 또한, 아나필락시스 쇼크, 골수 억제 (범혈구감소증, 빈혈, 백혈구 감소증, 혈소판 감소증 등), 간 정맥 혈전증 및 간세포 괴사를 동반하는 심각한 간 손상도 보고되었다.[12] 스웨덴 국립 보건 복지 위원회는 간 손상 위험 때문에 다카바진 사용을 피하도록 권고했다.[19]
4. 1. 일반적인 부작용
일반적인 부작용으로는 식욕 감퇴, 백혈구 감소, 혈소판 감소가 있다. 특히 메스꺼움과 구토를 유발해 환자들은 5-HT3 길항제와 덱사메타손을 복용하기도 한다.[27] 다른 부작용으로는 간독성 및 과민증이 있고, 임신 중 사용이 아기에게 안전한지는 불분명하다.[28] 스웨덴 보건복지위원회는 간 손상 때문에 다카바진을 피할 것을 제안했다.[29]다카바진은 구토 유발성이 매우 높은 것으로 간주되어[11] 대부분의 환자는 덱사메타손과 5-HT3 길항제 (예: 온단세트론) 및/또는 NK1 수용체 길항제 (예: 아레피탄트)와 같은 항구토제로 사전 투약될 것이다. 다른 중요한 부작용으로는 두통, 피로, 때때로 설사가 있다.
4. 2. 기타 부작용
일반적인 부작용으로는 식욕 감퇴, 백혈구 감소, 혈소판 감소가 있다. 특히 메스꺼움과 구토를 유발해 환자들은 5-HT3 길항제와 덱사메타손을 복용하기도 한다.[27] 다른 부작용으로는 간독성 및 과민증이 있고, 임신 중 사용이 아기에게 안전한지는 불분명하다.[28] 스웨덴 보건복지위원회는 간 손상 때문에 다카바진을 피할 것을 제안했다.[29]다카바진은 많은 화학 요법 약물과 마찬가지로 암세포뿐만 아니라 정상 세포의 성장도 방해하기 때문에 수많은 심각한 부작용을 일으킬 수 있다. 가장 심각한 가능한 부작용으로는 치료 중 임신했거나 임신한 자녀의 선천적 결함, 불임(영구적일 수 있음), 면역 억제(감염이나 질병에 대항하는 능력 감소) 등이 있다. 다카바진은 구토 유발성이 매우 높은 것으로 간주되어[11] 대부분의 환자는 덱사메타손과 5-HT3 길항제(예: 온단세트론) 및/또는 NK1 수용체 길항제(예: 아레피탄트)와 같은 항구토제로 사전 투약될 것이다. 다른 중요한 부작용으로는 두통, 피로, 때때로 설사가 있다.
스웨덴 국립 보건 복지 위원회는 블랙 박스 경고를 발송했으며 간 문제로 인해 다카바진을 피할 것을 권장한다.[12] 심각한 부작용으로는 아나필락시스 쇼크, 골수 억제(범혈구 감소증, 빈혈, 백혈구 감소증, 혈소판 감소증 등), 간 정맥 혈전증 및 간세포 괴사를 동반하는 심각한 간 손상이 있다.
다른 (분자 표적 약물을 제외한) 항암제와 마찬가지로 다카르바진은 정상 세포의 증식에도 손상을 준다. 아마도 가장 심각한 부작용은 불임(일시적 또는 영구적) 및 면역 억제일 것이다. 다카르바진은 구토를 유발하는 성질이 강하므로 일반적으로 파로노세트론이나 아레피탄트와 같은 제토제를 병용한다. 그 외의 중요한 부작용으로는 두통, 권태감, 설사가 있다.
스웨덴 보건복지청은 간 손상 발현 문제와 관련하여 블랙 박스 경고를 설정하고 다카르바진 사용을 피하도록 권고했다.[19]
4. 3. 심각한 부작용
일반적인 부작용으로 식욕 감퇴, 백혈구 감소, 혈소판 감소가 있다.[27] 특히 메스꺼움과 구토를 유발해 환자들은 5-HT3 길항제와 덱사메타손을 복용하기도 한다.[27] 다른 부작용으로는 간독성 및 과민증이 있고, 임신 중 사용이 아기에게 안전한지는 불분명하다.[28] 스웨덴 보건복지위원회는 간 손상 때문에 다카바진을 피할 것을 제안했다.[29]다카바진은 많은 화학 요법 약물과 마찬가지로 암세포뿐만 아니라 정상 세포의 성장도 방해하기 때문에 수많은 심각한 부작용을 일으킬 수 있다. 가장 심각한 가능한 부작용으로는 치료 중 임신했거나 임신한 자녀의 선천적 결함, 불임(영구적일 수 있음), 면역 억제(감염이나 질병에 대항하는 능력 감소) 등이 있다. 다카바진은 구토 유발성이 매우 높은 것으로 간주되어[11] 대부분의 환자는 덱사메타손과 5-HT3 길항제(예: 온단세트론) 및/또는 NK1 수용체 길항제(예: 아레피탄트)와 같은 항구토제로 사전 투약될 것이다. 다른 중요한 부작용으로는 두통, 피로, 때때로 설사가 있다.
스웨덴 국립 보건 복지 위원회는 블랙 박스 경고를 발송했으며 간 문제로 인해 다카바진을 피할 것을 권장한다.[12] 심각한 부작용으로는 아나필락시스 쇼크, 골수 억제(범혈구 감소증, 빈혈, 백혈구 감소증, 혈소판 감소증 등), 간 정맥 혈전증 및 간세포 괴사를 동반하는 심각한 간 손상이 있다.
다른 (분자 표적 약물을 제외한) 항암제와 마찬가지로 다카르바진은 정상 세포의 증식에도 손상을 준다. 아마도 가장 심각한 부작용은 불임(일시적 또는 영구적) 및 면역 억제일 것이다. 다카르바진은 구토를 유발하는 성질이 강하므로 일반적으로 파로노세트론이나 아레피탄트와 같은 제토제를 병용한다. 그 외의 중요한 부작용으로는 두통, 권태감, 설사가 있다.
스웨덴 보건복지청은 간 손상 발현 문제와 관련하여 블랙 박스 경고를 설정하고 다카르바진 사용을 피하도록 권고했다[19]。
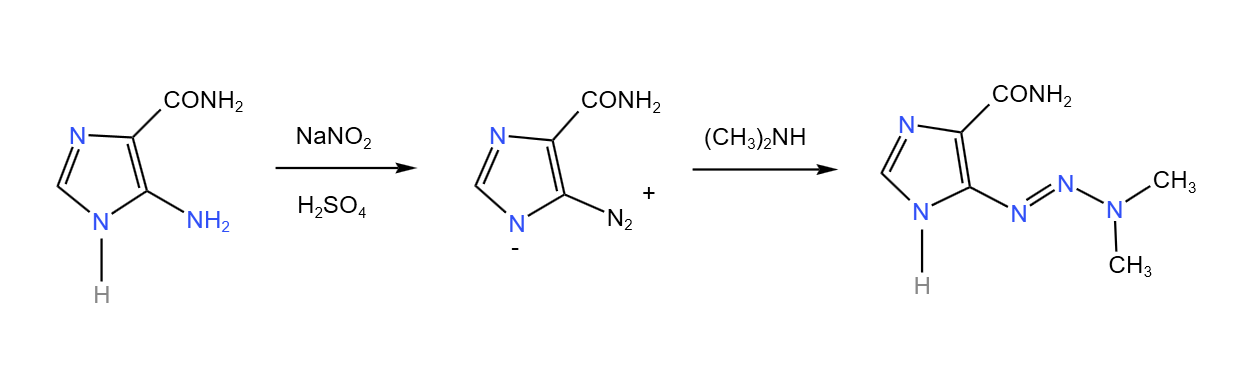
5. 합성
5-아미노이미다졸-4-카복사마이드에 아질산을 첨가하면 5-다이아조이미다졸-4-카복사마이드가 생성된다. 이를 다이메틸아민과 반응시키면 다카바진이 생성된다.[30][15]
6. 역사
다카바진은 암 화학 요법의 역사에서 중요한 위치를 차지하는 항암제이다. 1959년 서던 리서치에서 처음 합성되었고,[31] 1975년 미국 FDA의 승인을 받았다.
6. 1. 개발
다카바진은 1959년 앨라배마의 서던 리서치에서 처음 합성되었다.[16] 이 연구는 미국 연방 정부의 보조금으로 지원되었다. 다카바진은 1975년 5월 DTIC-Dome으로 미국 식품의약국(FDA)의 승인을 받았다. 이 약품은 처음에는 바이엘에서 판매했다.6. 2. 승인
다카바진은 1959년 앨라배마의 서던 리서치에서 처음 합성되었다.[16][31] 이 연구는 미국 연방 정부의 보조금으로 지원되었다. 1975년 5월 FDA에서 DTIC-Dome이라는 이름으로 승인받았으며, 처음에는 바이엘에서 판매했다.일본에서는 1985년 11월에 수입 승인되었고,[17] 2013년 3월에는 갈색세포종에 대한 적응증 추가 승인을 획득했다.[18]
7. 사회와 문화
다카바진의 제네릭 의약품은 APP, 베드포드, 메인 파마(호스피라), 테바에서 시판되고 있다.
참조
[1]
서적
The Dictionary of Drugs: Chemical Data: Chemical Data, Structures and Bibliographies
Springer
1990
[2]
웹사이트
Dacarbazine
https://www.drugs.co[...]
The American Society of Health-System Pharmacists
2016-12-08
[3]
서적
The selection and use of essential medicines 2023: web annex A: World Health Organization model list of essential medicines: 23rd list (2023)
World Health Organization
[4]
논문
Dacarbazine-based chemotherapy for metastatic melanoma: thirty-year experience overview
2000-03
[5]
논문
Treatment of metastatic melanoma: an overview
2009-05
[6]
논문
Treatment of stage I and II Hodgkin's lymphoma with ABVD chemotherapy: results after 7 years of a prospective study
2004-12
[7]
논문
Mesna, doxorubicin, ifosfamide, dacarbazine (MAID) regimen for adults with advanced sarcoma
1990-04
[8]
논문
Mesna, doxorubicin, ifosfamide, and dacarbazine (MAID) chemotherapy for gynecological sarcomas
2001
[9]
논문
Comparison of the efficacy of two different dosage dacarbazine-based regimens and two regimens without dacarbazine in metastatic melanoma: a single-centre randomized four-arm study
2002-02
[10]
논문
Procarbazine-free OEPA-COPDAC chemotherapy in boys and standard OPPA-COPP in girls have comparable effectiveness in pediatric Hodgkin's lymphoma: the GPOH-HD-2002 study
2010-08
[11]
논문
Difference in the emetic control among highly emetogenic chemotherapy regimens: Implementation for appropriate use of aprepitant
2013-01
[12]
웹사이트
Alla aktuella ändringar för Dacarbazine medac Pulver till infusionsvätska, lösning 500 mg, Medac
http://www.fass.se/L[...]
2011-08-19
[13]
논문
Impact of O6-methylguanine-DNA methyltransferase (MGMT) promoter methylation and MGMT expression on dacarbazine resistance of Hodgkin's lymphoma cells
2014-01
[14]
서적
LiverTox: Clinical and Research Information on Drug-Induced Liver Injury [Internet]
National Institute of Diabetes and Digestive and Kidney Diseases
[15]
서적
Synthesis of Essential Drugs
[16]
논문
Triazene compounds: Mechanism of action and related DNA repair systems
2007-10
[17]
웹사이트
ダカルバジン注用100 インタビューフォーム
http://www.info.pmda[...]
2013-03
[18]
웹사이트
ダカルバジン注用100の「褐色細胞腫」の適応追加承認取得について
http://www.kyowa-kir[...]
2013-03-25
[19]
URL
http://www.fass.se/L[...]
[20]
서적
The selection and use of essential medicines 2023: web annex A: World Health Organization model list of essential medicines: 23rd list (2023)
세계보건기구
[21]
논문
Dacarbazine-based chemotherapy for metastatic melanoma: thirty-year experience overview
2000
[22]
논문
Treatment of stage I and II Hodgkin's lymphoma with ABVD chemotherapy: results after 7 years of a prospective study
2004
[23]
논문
Mesna, doxorubicin, ifosfamide, dacarbazine (MAID) regimen for adults with advanced sarcoma
1990
[24]
논문
Comparison of the efficacy of two different dosage dacarbazine-based regimens and two regimens without dacarbazine in metastatic melanoma: a single-centre randomized four-arm study
2002
[25]
논문
Impact of O6-methylguanine-DNA methyltransferase (MGMT) promoter methylation and MGMT expression on dacarbazine resistance of Hodgkin's lymphoma cells
2014
[26]
서적
LiverTox: Clinical and Research Information on Drug-Induced Liver Injury [Internet]
National Institute of Diabetes and Digestive and Kidney Diseases
[27]
논문
Difference in the emetic control among highly emetogenic chemotherapy regimens: Implementation for appropriate use of aprepitant
2013
[28]
웹인용
Dacarbazine
https://www.drugs.co[...]
[29]
웹인용
Alla aktuella ändringar för Dacarbazine medac Pulver till infusionsvätska, lösning 500 mg, Medac
http://www.fass.se/L[...]
[30]
서적
Synthesis of Essential Drugs
[31]
논문
Triazene compounds: Mechanism of action and related DNA repair systems
2007
본 사이트는 AI가 위키백과와 뉴스 기사,정부 간행물,학술 논문등을 바탕으로 정보를 가공하여 제공하는 백과사전형 서비스입니다.
모든 문서는 AI에 의해 자동 생성되며, CC BY-SA 4.0 라이선스에 따라 이용할 수 있습니다.
하지만, 위키백과나 뉴스 기사 자체에 오류, 부정확한 정보, 또는 가짜 뉴스가 포함될 수 있으며, AI는 이러한 내용을 완벽하게 걸러내지 못할 수 있습니다.
따라서 제공되는 정보에 일부 오류나 편향이 있을 수 있으므로, 중요한 정보는 반드시 다른 출처를 통해 교차 검증하시기 바랍니다.
문의하기 : help@durumis.com