카티논
"오늘의AI위키"의 AI를 통해 더욱 풍부하고 폭넓은 지식 경험을 누리세요.
1. 개요
카티논은 아프리카의 뿔과 아라비아 반도 지역에서 수천 년 동안 다행감 효과를 위해 씹어온 카트 잎의 주요 활성 성분이다. 암페타민과 유사한 효과를 보이며, 1975년 유엔 마약 연구소에 의해 카트 잎에서 발견되었다. 카티논은 중추 신경계에 영향을 미쳐 도파민, 에피네프린, 노르에피네프린, 세로토닌의 수송을 조절하며, 행복감, 흥분, 항우울 효과를 유발할 수 있다. 또한, 변비, 속쓰림, 심혈관 질환 등의 건강 문제를 일으킬 수 있다. 국제적으로는 향정신성 물질로 분류되어 있으며, 국가별로 규제가 다르다.
더 읽어볼만한 페이지
- 카티논 - 부프로피온
부프로피온은 노르에피네프린-도파민 재흡수 억제제로서 우울증, 금연 보조, ADHD, 성 기능 장애 개선, 체중 감소 등 다양한 용도로 사용되며, 금연 시 니코틴에 대한 갈망과 금단 증상을 완화하고, 일반적인 항우울제 치료에서 나타나는 부작용이 적다는 특징이 있다. - 암페타민 알칼로이드 - 에페드린
에페드린은 에피네프린과 유사한 심혈관 및 기관지 확장 효과를 가진 교감신경흥분제로, 과거 기침, 코막힘, 천식 치료에 사용되었으나 현재는 대체 약물로 대체되는 추세이며, 체중 감량 효과와 메스암페타민 제조에 사용될 수 있다는 점, 그리고 부작용 및 약물 상호작용 위험으로 인해 규제되고 있다. - 암페타민 알칼로이드 - 슈도에페드린
슈도에페드린은 코막힘 완화제로 널리 쓰이는 교감신경흥분제이며, 비염약 및 감기약 성분으로 사용되고 과다수면증, 기면증 치료 등에도 제한적으로 사용되지만 도핑 문제로 규제받기도 하며 각성 효과와 혈관 수축 작용으로 불면증, 혈압 상승 등의 부작용이 있을 수 있다. - 심장혈관계통에 작용하는 약 - 암페타민
암페타민은 페네틸아민 계열의 각성제로, 기면증이나 ADHD 치료에 사용되기도 했으나 중독성 문제로 현재는 규제 물질로 지정되었으며, 수행 능력 향상 효과로 스포츠 도핑 금지 약물로도 지정되었다. - 심장혈관계통에 작용하는 약 - 아데노신
아데노신은 다양한 생리적 과정을 조절하는 내인성 퓨린 뉴클레오사이드로, 심실상 빈맥 치료, 심장 스트레스 검사 보조제, 혈관 확장, 항염증, 항바이러스 효과 연구 등에 사용되며, 뇌에서 수면을 유도하고 주름 개선 화장품 성분으로도 활용된다.
카티논 - [화학 물질]에 관한 문서 | |
---|---|
일반 정보 | |
![]() | |
![]() | |
IUPAC 이름 | (S)-2-아미노-1-페닐프로판-1-온 |
화학식 | C9H11NO |
분자량 | 149.19g/mol |
smiles | O=C(c1ccccc1)[C@@H](N)C |
StdInChI | 1S/C9H11NO/c1-7(10)9(11)8-5-3-2-4-6-8/h2-7H,10H2,1H3/t7-/m0/s1 |
StdInChIKey | PUAQLLVFLMYYJJ-ZETCQYMHSA-N |
법적 규제 | |
오스트레일리아 | S9 |
브라질 | F2 |
브라질 설명 | RDC Nº 804 - 마약, 향정신성, 전구 물질 및 특별 통제 하의 기타 물질 목록 |
캐나다 | 스케줄 III |
독일 | Anlage I |
영국 | Class c |
미국 | 스케줄 I |
유엔 | P I |
약리학 | |
의존성 책임 | 신체적: 데이터 없음 심리적: 낮음-보통 |
대사 | 알려지지 않음 |
배출 반감기 | 0.7–2.3 시간 |
배설 | 알려지지 않음 |
식별자 | |
CAS 번호 | 71031-15-7 |
PubChem | 62258 |
DrugBank | DB01560 |
ChemSpiderID | 56062 |
ChEMBL | 2104047 |
UNII | 540EI4406J |
KEGG | C08301 |
ChEBI | 4110 |
2. 역사
카트는 수천 년 동안 아프리카의 뿔과 아라비아반도 지역에서 재배되었으며, 다행감 효과를 위해 씹는 풍습이 있었다. 1930년에 활성 성분이 처음 제기되었고, 당시 캐친이 주요 알칼로이드로 식별되었다.[29] 1960년대까지 카트의 주된 활성 성분은 카틴으로 여겨졌으나, 카트 내 카틴의 양이 관찰되는 효력을 내기에는 불충분하다는 점이 밝혀졌다. 1975년 유엔 마약 연구소는 예멘, 케냐, 마다가스카르의 카트 잎을 분석하여 카티논을 발견했다.[29] 카티논은 카틴과 분자가 비슷하지만 어린 식물에 더 풍부하다.
2. 1. 발견
카트는 수천 년 동안 아프리카의 뿔과 아라비아 반도 지역에서 재배되어 왔다. 주로 행복감을 느끼기 위해 씹는다. 1930년에 활성 성분이 처음 제안되었는데, 캐친이 식물에서 가장 우세한 알칼로이드로 확인되었기 때문이다.[4] 1960년대까지 캐친은 카트 잎의 주요 활성 성분으로 여겨졌지만, 카트 잎에 들어있는 캐친의 양으로는 관찰된 효과를 내기에 불충분하다는 사실이 밝혀졌다. 1975년, 유엔 마약 연구소에서 예멘, 케냐 및 마다가스카르에서 가져온 카트 잎을 분석한 결과, 다른 알칼로이드인 캐티논의 증거를 발견했다.[4] 캐티논은 분자 구조가 캐친과 유사하지만, 어린 식물에 훨씬 더 많이 존재한다. 이러한 발견은 과학자들이 캐티논이 카트의 진정한 활성 성분일 것이라고 추측하게 했다.[4]2. 2. 문화적 중요성

아라비아 반도와 동아프리카 지역의 2천만 명이 넘는 사람들이 매일 카트 잎을 씹는다. 특히 에티오피아(카트가 기원했다고 전해지는 곳), 케냐, 지부티, 소말리아, 예멘에서 이 지역의 문화와 경제에 중요한 부분을 차지한다. 남성들은 보통 파티나 다른 사교 모임에서 담배를 피우고 차를 마시면서 카트를 씹는다. 농부와 다른 노동자들도 하루가 지남에 따라 피로와 배고픔을 줄이기 위해 오후에 카트를 사용하는데, 이는 항피로제로서 카페인과 유사한 작용을 한다. 학생들과 운전자들은 더 오랫동안 정신을 바짝 차리기 위해 카트를 사용하는 것으로 알려져 있다.[6]
카트 잎은 원하는 효과를 얻기 위해 신선하게 씹어야 한다. 신선한 잎은 카티논의 농도가 더 높다. 수확 후 너무 오래 기다리면 카티논이 덜 강력한 형태인 카틴으로 분해된다. 빨리 씹어야 한다는 필요성 때문에, 역사적으로 이 습관은 식물이 자라는 지역에서만 널리 퍼져 있었다. 그러나 최근 몇 년 동안 도로와 항공 운송이 개선되면서 카트 씹는 습관은 전 세계로 퍼져나갔다.
예멘에서 카트 재배는 농부들에게 매우 수익성이 높은 산업이다. 카트 식물은 재배되는 기후에 따라 다르게 자라며, 각 식물은 서로 다른 양의 카티논을 생성한다.[7] 일반적으로 해안의 더운 기후에서 가장 잘 자란다. 예멘에서는 카트 식물이 재배되는 지역의 이름을 따서 명명된다. Nehmi 카트 식물은 카티논의 가장 높은 농도인 342.5mg/100g을 함유하고 있는 것으로 알려져 있다.[7]
3. 생물학적 효과
카트 식물이 의료 목적으로 사용된 것은 10세기 아라비아 의사의 서적에서 처음 기록되었다.[31] 행복감과 흥분을 유발하여 항우울제로 사용되었다. 동물 연구에 따르면 카트를 꾸준히 씹으면 약물 의존성이 생길 수 있다.[31] 카트의 각성 작용은 주성분인 카티논에 의한 것이다. 카티논은 체내에서 흡수, 배설되거나 각성 효과가 약한 카틴으로 대사된다. 신선한 카트 잎은 건조된 잎보다 카티논 함량이 높아 정신 활성 작용이 더 강하다.
3. 1. 작용 기전
카티논은 도파민 방출을 자극하고, 중추 신경계(CNS)에서 에피네프린, 노르에피네프린, 세로토닌의 재흡수를 억제한다.[7] 이러한 신경 전달 물질은 모두 모노아민으로, 방향족 고리와 2개의 탄소로 분리된 아민 그룹의 일반적인 구조를 공유한다. 카티논은 소수성 분자이므로 세포막 및 혈액-뇌 장벽과 같은 장벽을 쉽게 통과할 수 있다.[17] 이러한 특성 덕분에 시냅스 틈에서 뉴런 사이의 모노아민 수송체와 상호 작용할 수 있다. 카티논은 도파민 또는 그 전구체로 미리 표지된 뇌 선조체 제제에서 도파민 방출을 유도한다.[15]카티논의 대사 산물인 카틴과 노르에페드린 역시 중추 신경계 자극을 나타내지만, 훨씬 약한 효과를 보인다.[16] 카티논이 신체에 미치는 영향은 도파민 수용체 길항제를 미리 투여하면 상쇄될 수 있다.[16] 길항제는 카티논에 의해 방출된 시냅스 도파민이 도파민 수용체에 결합하여 작용하는 것을 막는다.
카티논은 또한 사전 접합 아드레날린 수용체(α2 아드레날린)를 차단하고 5-HT7 수용체를 활성화하여 내장과 기도에서 콜린성 농도에 영향을 미칠 수 있으며, 이는 평활근 수축을 억제한다.[17] 또한 구강 건조, 시야 흐림, 혈압 및 심박수 증가를 유발할 수 있다.[7]
카트 잎은 식물 줄기에서 제거되어 뺨 안에서 뭉쳐 씹는다. 씹으면 잎에서 즙이 나오는데, 여기에는 알칼로이드 카티논이 포함되어 있다. 카티논의 흡수는 구강 점막과 위, 소장의 두 단계로 이루어진다.[5] 위와 소장은 섭취된 알칼로이드 흡수에 매우 중요하다.[5] 카트 잎을 씹은 지 약 2.3시간 후, 혈장 내 카티논의 최대 농도에 도달한다. 평균 체류 시간은 5.2 ± 3.4시간이다.[5] 카티논의 제거 반감기는 1.5 ± 0.8시간이다.[5] 흡수 및 제거에 대한 2구획 모델이 이 데이터를 가장 잘 설명한다. 그러나 섭취한 카티논의 최대 7%만이 소변에서 회수된다.[5] 이는 카티논이 체내에서 분해되고 있음을 나타낸다. 카티논은 선택적으로 R,S-(-)-노르에페드린과 카틴으로 대사되는 것으로 나타났다. 카티논의 케톤기 환원은 카틴을 생성한다. 이 환원은 간 효소에 의해 촉매된다. 카티논의 자발적인 분해는 카티논이 재배 후 신선하게 씹어야 하는 이유이다.[5]
3. 2. 약리학
카트는 수천 년 동안 다행감 효과를 위해 씹는 형태로 사용되었다. 1930년대에 카트의 활성 성분으로 카틴이 처음 제기되었으나, 1975년 유엔 마약 연구소의 분석 결과 카티논이라는 다른 알칼로이드가 발견되었다.[29] 카티논은 카틴과 유사하지만 어린 식물에 더 풍부하다.카티논은 중추 신경계(CNS)에서 도파민 방출을 자극하고 에피네프린, 노르에피네프린, 세로토닌의 재흡수를 억제한다.[7] 카티논은 소수성 분자로 세포막과 혈액-뇌 장벽을 통과하여 뉴런 사이의 모노아민 수송체와 상호 작용하며, 뇌 선조체 제제에서 도파민 방출을 유도한다.[15]
카티논의 대사 산물인 카틴과 노르에페드린도 중추 신경계 자극 효과가 있지만, 카티논보다 약하다.[16] 도파민 수용체 길항제를 미리 투여하면 카티논의 효과를 상쇄할 수 있다.[16]
카티논은 아드레날린 수용체 (α2 아드레날린)를 차단하고 5-HT7 수용체를 활성화하여 내장과 기도에서 콜린성 농도에 영향을 미쳐 평활근 수축을 억제한다.[17] 또한 구강 건조, 시야 흐림, 혈압 및 심박수 증가를 유발할 수 있다.[7]
카트 잎을 씹으면 즙이 나오는데, 여기에는 알칼로이드 카티논이 포함되어 있다. 카티논의 흡수는 구강 점막과 위, 소장에서 두 단계로 이루어진다.[5] 씹은 지 약 2.3시간 후 혈장 내 카티논의 최대 농도에 도달하며, 평균 체류 시간은 5.2 ± 3.4시간, 제거 반감기는 1.5 ± 0.8시간이다.[5] 섭취된 카티논의 최대 7%만이 소변으로 회수되는데, 이는 카티논이 체내에서 분해됨을 의미한다.[5] 카티논은 R,S-(-)-노르에페드린과 카틴으로 대사되며, 카티논의 케톤 기 환원은 카틴을 생성한다. 카티논의 자발적인 분해 때문에 카트는 재배 후 신선하게 씹어야 한다.[5]
카트 식물에서 추출할 수 있는 카티논은 카트의 각성 작용의 주요 원인으로 여겨진다. 흡수된 카티논은 배설될 뿐만 아니라, 각성제로서의 효과가 약한 카틴으로 대사되기도 한다. 이는 카트 잎을 섭취한 후 시간이 지남에 따라 각성 작용이 약해지는 이유이다. 또한, 신선한 카트 잎은 건조된 잎보다 카틴에 대한 카티논의 비율이 높아 정신 활성 작용이 더 강하다.
4. 건강에 미치는 영향
카트 식물이 의료 목적으로 사용된 것은 10세기 아라비아 의사가 출판한 서적에서 처음 문서화되었다.[31] 행복감과 흥분을 유발했기 때문에 항우울제로 사용되었다. 동물 연구에 따르면 카트를 꾸준히 씹는 경우 약물 의존성을 유발할 수 있다.[31]
카트 잎은 식물 줄기에서 제거되어 뺨 안에서 뭉쳐 씹는다. 씹으면 잎에서 즙이 나오는데, 여기에는 알칼로이드 카티논이 포함되어 있다. 카티논의 흡수는 구강 점막과 위, 소장에서 일어난다.[5] 위와 소장은 섭취된 알칼로이드 흡수에 매우 중요하다.[5] 카트 잎을 씹은 지 약 2.3시간 후, 혈장 내 카티논의 최대 농도에 도달한다. 평균 체류 시간은 5.2 ± 3.4시간이다.[5] 카티논의 제거 반감기는 1.5 ± 0.8시간이다.[5] 흡수 및 제거에 대한 2구획 모델이 이 데이터를 가장 잘 설명한다. 그러나 섭취한 카티논의 최대 7%만이 소변에서 회수된다.[5] 이는 카티논이 체내에서 분해되고 있음을 나타낸다. 카티논은 선택적으로 R,S-(-)-노르에페드린과 카틴으로 대사되는 것으로 나타났다. 카티논의 케톤기 환원은 카틴을 생성한다. 이 환원은 간 효소에 의해 촉매된다. 카티논의 자발적인 분해는 카티논이 재배 후 신선하게 씹어야 하는 이유이다.[5]
카트 씹기와 신체에 대한 카티논의 영향은 사람마다 다르지만, 신선한 카티논을 섭취한 후 나타나는 일반적인 행동 패턴은 다음과 같다:[7]
중추 신경계와 관련이 없는 다른 영향도 있다. 카트를 씹는 사람은 카트 세션 후에 변비와 속쓰림이 생길 수 있다. 카티논의 장기적인 영향에는 잇몸 질환 또는 구강암, 심혈관 질환 및 우울증이 포함될 수 있다.[7] 카티논의 금단 증상에는 열감, 무기력 및 적어도 처음 이틀 동안 약물을 사용하고 싶은 강한 충동이 포함된다.[7]
5. 화학
카트는 아프리카의 뿔과 아라비아 반도 지역에서 행복감을 느끼기 위해 씹는 용도로 재배되어 왔다. 카트의 활성 성분은 1930년에 처음 제안되었는데, 당시에는 캐친이 식물에서 가장 우세한 알칼로이드로 확인되었기 때문이다.[4] 그러나 1975년 예멘, 케냐, 마다가스카르에서 가져온 카트 잎을 유엔 마약 연구소에서 분석한 결과, 캐티논이라는 다른 알칼로이드가 발견되었다.[4] 캐티논은 분자 구조가 캐친과 유사하지만 어린 식물에 훨씬 더 많이 존재한다. 이후 연구를 통해 캐티논이 카트의 주요 활성 성분임이 밝혀졌다.[5]
카트 잎을 씹으면 즙이 나오는데, 여기에는 알칼로이드인 카티논이 포함되어 있다. 카티논의 흡수는 구강 점막, 위, 소장에서 일어난다.[5] 섭취된 카티논은 약 2.3시간 후 혈장 내 최대 농도에 도달하며, 평균 체류 시간은 5.2 ± 3.4시간, 제거 반감기는 1.5 ± 0.8시간이다.[5] 섭취된 카티논의 최대 7%만이 소변으로 회수되는데, 이는 카티논이 체내에서 분해됨을 의미한다.[5] 카티논은 R,S-(-)-노르에페드린과 카틴으로 대사되며, 카티논의 케톤기 환원은 간 효소에 의해 촉매된다. 카티논의 자발적인 분해는 카트를 재배 후 신선하게 씹어야 하는 이유이다.[5]
카티논은 에페드린, 카틴, 암페타민 등과 유사한 분자 구조를 가지며, 혈액-뇌 장벽을 쉽게 통과하여 도파민 방출을 촉진한다.[23][24] 카티논은 케톤기를 갖는다는 점에서 다른 많은 모노아민 정신 자극제와 다르며, 항우울제인 부프로피온,[25] 정신 자극제인 메토카티논 등이 카티논 골격을 공유한다.
5. 1. 생합성
카트는 수천 년 동안 아프리카의 뿔과 아라비아 반도 지역에서 재배되었으며, 주로 행복감을 느끼기 위해 씹는 풍습이 있었다. 1930년대에는 카트의 활성 성분으로 캐친이 유력하게 제기되었으나, 1975년 유엔 마약 연구소의 분석 결과 캐티논이 발견되면서 새로운 국면을 맞았다.[4] 캐티논은 캐친과 구조적으로 유사하지만 어린 식물에 더 많이 존재하며, 1994년 연구를 통해 카트의 실제 활성 성분임이 확인되었다.[5]
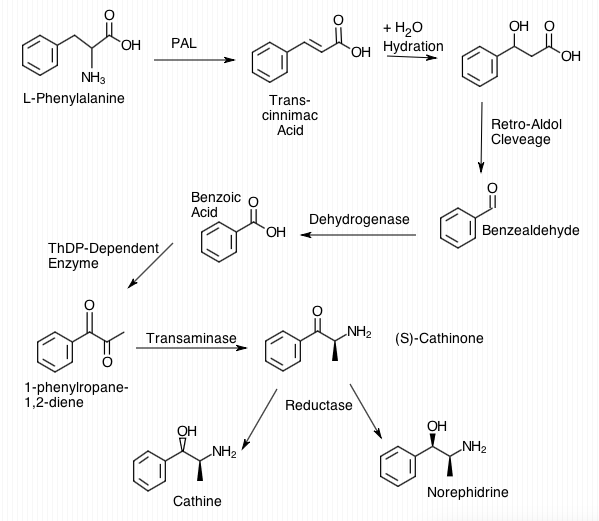
카트 식물에서 카티논 합성은 L-페닐알라닌에서 시작된다. 첫 단계는 L-페닐알라닌 암모니아 분해효소(PAL)에 의해 암모니아기가 제거되고 탄소-탄소 이중 결합이 생성되어 계피산이 형성되는 과정이다.[18] 이후 계피산은 베타 산화 경로 또는 비-베타 산화 경로를 통해 각각 벤조일-CoA 또는 벤조산을 생성한다.[18] 이 두 분자는 티아민 피로인산 의존성 효소(ThDP 의존성 효소)에 의해 촉매되는 축합 반응을 통해 피루브산과 함께 CO2를 생성하여 1-페닐프로판-1,2-디온으로 전환된다.[18] 1-페닐프로판-1,2-디온은 트랜스아미나제 반응을 거쳐 케톤이 암모니아기로 대체되면서 (S)-카티논이 만들어진다. (S)-카티논은 환원 반응을 통해 덜 강력하지만 구조적으로 유사한 카틴 또는 노르에페드린으로 전환될 수 있으며, 이들 또한 식물에서 발견된다.[18]
CoA 의존성 경로는 베타 산화 경로와 비-베타 산화 경로가 혼합된 형태로 볼 수 있다. 이 경로에서는 L-페닐알라닌에서 생성된 트랜스-계피산이 조효소 A(CoA)와 결합하며, 이는 베타 산화 경로의 시작과 유사하다.[18] 이후 이중 결합에서 수화 반응이 일어나고, 생성물은 CoA를 잃어 비-베타 산화 경로의 중간체인 벤즈알데히드를 생성한다. 벤즈알데히드는 벤조산으로 전환되어 나머지 합성이 진행된다.[18]
카티논은 카트 식물에서 추출할 수 있으며, 카트의 각성 작용의 주요 원인으로 여겨진다. 흡수된 카티논은 배설되거나 각성 효과가 약한 카틴으로 대사되기도 한다. 신선한 카트 잎은 건조된 잎보다 카틴에 대한 카티논의 비율이 높아 정신 활성 작용이 더 강하다.
5. 2. 인공 합성
카티논은 프로피온산과 벤젠의 프리델-크래프츠 아실화 반응을 통해 프로피오페논으로부터 합성될 수 있다.[17] 생성된 프로피오페논은 브로민화될 수 있으며, 브로민은 암모니아로 치환되어 카티논의 라세미 혼합물을 생성한다. 거울상체 순수 (S)-카티논을 생성하기 위해서는 다른 합성 전략을 사용해야 한다. 이 합성 경로는 광학 활성 아미노산인 S-알라닌의 N-아세틸화로 시작한다.[17] 그런 다음 오염화 인 (PCl5)을 사용하여 카복실산을 염소화하여 아실 클로라이드를 형성한다. 동시에 염화 알루미늄 촉매를 사용하여 벤젠에 대한 프리델-크래프츠 아실화 반응을 수행한다. 마지막으로, 아세틸 보호기를 염산으로 가열하여 제거하여 거울상체 순수 S-(-)-카티논을 생성한다.[17]카티논은 α-브로모프로피오페논을 원료로 하는 인공적인 화학 합성이 가능하다.
5. 3. 구조
카트는 아프리카의 뿔과 아라비아 반도 지역에서 수천 년 동안 재배되었으며, 주로 행복감을 느끼기 위해 씹는 풍습이 있다. 1975년 유엔 마약 연구소는 카트 잎에서 캐티논이라는 알칼로이드를 발견했는데, 이는 암페타민과 유사한 증상을 유발하는 활성 성분으로 밝혀졌다.[4][5]카트 식물에서 카티논은 L-페닐알라닌으로부터 합성되며, 베타 산화 경로, 비-베타 산화 경로, 또는 CoA 의존성 경로를 거친다. 이 과정에서 1-페닐프로판-1,2-디온이 생성되고, 이는 트랜스아미나제 반응을 통해 (S)-카티논으로 전환된다. (S)-카티논은 환원 반응을 통해 덜 강력한 카틴 또는 노르에페드린을 생성할 수도 있다.[18]
카티논은 실험실에서 프로피오페논을 이용하여 합성할 수도 있다. 프리델-크래프츠 아실화 반응을 통해 프로피오페논을 생성하고, 이를 브롬화 및 암모니아 치환 반응을 거쳐 라세미 카티논을 얻는다. 거울상체 순수 (S)-카티논은 S-알라닌의 N-아세틸화로 시작하는 다른 합성 전략을 통해 얻을 수 있다.[17]
카티논은 ''카타 잎''에서 추출하거나, ''α''-브로모프로피오페논(프로피오페논)으로부터 합성할 수 있다. 카티논은 1급 아민과 케톤을 모두 가지고 있어 이합체가 될 가능성이 높다.[19]
카티논의 구조는 케톤의 환원 여부에 따라 카틴, 노르에페드린과 유사하며, 암페타민과도 밀접한 관련이 있다. 카티논은 메스카티논과 구조적으로 관련이 있는데, 이는 암페타민이 메스암페타민과 관련 있는 방식과 유사하다. 시간이 지남에 따라 카티논은 카틴으로 자연적으로 환원되는데, 이는 오래된 카트 잎이 어린 잎보다 자극성이 덜한 이유이다.[20]
카티논은 에페드린, 카틴, 암페타민 등과 유사한 분자 구조를 가지며, 혈액-뇌 장벽을 쉽게 통과하여 도파민 방출을 촉진한다.[23][24]
카티논은 케톤기를 갖는다는 점에서 다른 많은 모노아민 정신 자극제와 다르며, 항우울제인 부프로피온,[25] 정신 자극제인 메토카티논 등이 카티논 골격을 공유한다.
6. 구조 활성 상관
카티논은 ''카타''에서 추출하거나, ''α''-브로모프로피오페논(프로피오페논)으로부터 쉽게 합성할 수 있다. 카티논의 구조는 다른 분자들과 매우 유사하다. 케톤을 환원시키면 입체 화학을 유지할 경우 카틴이 되고, 입체 화학이 반전되면 노르에페드린이 된다. 카틴은 카티논보다 덜 강력한 형태이며, 카티논의 자발적인 환원은 오래된 카트 식물이 어린 식물보다 자극성이 덜한 이유이다. 카티논과 암페타민은 암페타민에 케톤 C=O 그룹이 없을 뿐이라는 점에서 밀접하게 관련되어 있다.[20] 카티논은 메스카티논과 구조적으로 관련이 있는데, 이는 암페타민이 메스암페타민과 관련 있는 방식과 유사하다. 카티논은 측쇄의 ''β''(베타) 위치에 케톤 산소 원자(C=O)를 가지고 있다는 점에서 암페타민과 다르다.
카티논의 분자 구조는 에페드린, 카틴, 암페타민 등 모노아민의 정신 자극제와 유사하다. 벤젠 고리에 수산기를 갖지 않는 이러한 화합물은 혈액-뇌 장벽을 통과하기 쉽다.[23]
카티논은 케톤기를 갖는다는 점에서 다른 많은 모노아민 정신 자극제와 다르다. 카티논과 골격을 공유하는 다른 모노아민 정신 자극제로는 항우울제인 부프로피온[25], 정신 자극제인 메토카티논 등이 있다. 카티논의 화학 구조와 메토카티논의 관계는 암페타민과 메스암페타민의 관계와 같다. 카티논은 측쇄의 β 위치에 케톤기를 갖는다는 점에서 암페타민과 다르다.
카티논에 해당하는 알코올인 카틴은 카티논에 비해 각성제로서의 효과가 약한 것으로 알려져 있다.
분자의 아미노 말단에 R 그룹을 추가하는 것을 포함하여 많은 카티논 유도체가 있다. 이러한 유도체 중 일부는 의학적 용도로도 사용된다. 부프로피온은 가장 일반적으로 처방되는 항우울제 중 하나이며, 그 구조는 질소에 부착된 3급 부틸 그룹과 주 탄소 사슬에 메타- 위치로 벤젠 고리에 부착된 염소를 가진 카티논이다.[20]
다른 카티논 유도체는 강력한 정신 활성 약물이다. 그러한 약물 중 하나는 메틸론으로, MDMA와 구조적으로 유사한 약물이다.
7. 법적 규제
국제적으로 카티논은 향정신성 물질에 관한 협약에 따라 Schedule I 약물로 분류된다.[8][26] 1993년경, DEA는 카티논을 통제 물질법의 Schedule I에 추가했다.
카트 판매는 일부 국가에서는 합법이지만 다른 곳에서는 불법이다. 치환된 카티논은 미국에서 "목욕 소금"으로 알려진 오락용 약물 혼합물의 주요 성분으로 자주 사용되었다.[9][10][11][12][27]
7. 1. 국가별 규제 현황
지역 | 규제 여부 |
---|---|
에리트레아 | 불법 |
에티오피아 | 합법 |
소말리아 | 합법 |
지부티 | 합법 |
케냐 | 합법. 카토닌과 카틴은 클래스 C 약물로 분류됨 |
남아프리카 공화국 | 카트는 보호 식물임 |
중국 | 불법 |
이스라엘 | 합법 |
말레이시아 | 불법 |
사우디아라비아 | 불법 |
예멘 | 카트는 합법. 식물의 경작 및 판매는 정부의 규제를 받음 |
덴마크 | 불법 |
핀란드 | 불법 |
프랑스 | 카트는 흥분제로서는 금지됨 |
독일 | 카트는 불법. 카토닌 파생물은 처방전이 있으면 구매 가능 |
아일랜드 | 허가 없이는 불법 |
네덜란드 | 카티논과 카틴은 불법. 카트는 2012년에 불법으로 발표됨 |
노르웨이 | 불법 |
폴란드 | 불법 |
스웨덴 | 불법 |
스위스 | 불법 |
영국 | 불법 |
캐나다 | 의료 수행자의 승인 없이 취득 불법 |
미국 | 불법 |
오스트레일리아 | 규제 |
뉴질랜드 | 불법 |
조지아 | 카트 식물 그 자체는 판매와 씹기가 허용됨. 카트가 포함된 음료의 제조 및 판매는 불법 |
불가리아 | 불법[30] |
터키 | 불법[13] |
국제적으로, 카티논은 향정신성 물질에 관한 협약에 따라 Schedule I 약물로 분류된다.[8][26] 1993년경, DEA는 카티논을 통제 물질법의 Schedule I에 추가했다.
카트의 판매는 일부 관할 구역에서는 합법이지만 다른 곳에서는 불법이다 (카트 (규제) 참조). 치환된 카티논 또한 미국에서 일반적으로 "목욕 소금"으로 알려진 오락용 약물 혼합물의 주요 성분으로 자주 사용되었다.[9][10][11][12][27]
참조
[1]
웹사이트
RDC Nº 804 - Listas de Substâncias Entorpecentes, Psicotrópicas, Precursoras e Outras sob Controle Especial
https://www.in.gov.b[...]
Diário Oficial da União
2023-07-24
[2]
논문
Development of a rational scale to assess the harm of drugs of potential misuse
2007-03
[3]
논문
Pharmacokinetics of cathinone, cathine and norephedrine after the chewing of khat leaves
2003-07
[4]
논문
Mechanism of action of cathinone: the active ingredient of khat (Catha edulis)
2000-06
[5]
논문
Pharmacodynamics and pharmacokinetics of khat: a controlled study
1994-05
[6]
뉴스
Yemen's khat habit soaks up water
http://news.bbc.co.u[...]
BBC
2007-04-07
[7]
논문
Khat: pharmacological and medical aspects and its social use in Yemen
2002-08
[8]
웹사이트
List of psychotropic substances under international control
http://www.incb.org/[...]
United Nations
[9]
뉴스
Synthetic Street Drug Camouflaged as Bath Salts Has Dangerous, Bizarre Effects
https://www.pbs.org/[...]
PBS NewsHour
2013-12-07
[10]
웹사이트
Drugs and dance as Israelis blot out intifada
https://www.theguard[...]
2015-04-19
[11]
웹사이트
What you need to know about flakka, the latest drug causing erratic behaviour
http://globalnews.ca[...]
2015-04-19
[12]
웹사이트
The rising tide of 'legal highs'
https://www.chemistr[...]
2018-08-03
[13]
웹사이트
Başbakanlık Mevzuatı Geliştirme ve Yayın Genel Müdürlüğü
https://www.resmigaz[...]
[14]
웹사이트
НАРЕДБА за реда за класифициране на растенията и веществата като наркотични
http://www.mh.govern[...]
Republic of Bulgaria
2017-08-26
[15]
논문
Cathinone, an alkaloid from khat leaves with an amphetamine-like releasing effect
[16]
웹사이트
Cathinone
http://www.drugbank.[...]
2015-03-10
[17]
웹사이트
Cathinone: History, Synthesis, and Human Applications
http://www.slideshar[...]
2015-03-08
[18]
논문
Expressed sequence tag analysis of khat (Catha edulis) provides a putative molecular biochemical basis for the biosynthesis of phenylpropylamino alkaloids
2011-10
[19]
웹사이트
4-Hydroxy-5-methoxy-N,N-dimethyltryptamine, Psilocybe mushrooms, Psilocin
http://www.cognitive[...]
2013-09-10
[20]
웹사이트
Synthetic cathinones drug profile
http://www.emcdda.eu[...]
EMCDDA
2015-03-08
[21]
논문
Synthesis and absolute configuration of cyclic synthetic cathinones derived from α-tetralone
2024-02
[22]
논문
Illicit cathinone ("Hagigat") poisoning
[23]
서적
化学構造と薬理作用 - 医薬品を化学的に読む
廣川書店
2010-10-20
[24]
논문
Cathinone, an alkaloid from khat leaves with an amphetamine-like releasing effect
[25]
논문
Generic legislation of new psychoactive drugs
http://www.undrugcon[...]
[26]
웹사이트
List of psychotropic substances under international control
http://www.incb.org/[...]
United Nations
2013-07-08
[27]
문서
bathsalts
http://www.pbs.org/n[...]
[28]
논문
Pharmacokinetics of cathinone, cathine and norephedrine after the chewing of khat leaves
2003
[29]
논문
Mechanism of Action of Cathinone: The Active Ingredient of Khat (Catha Edulis)
https://www.ajol.inf[...]
2009
[30]
웹인용
Archived copy
http://www.mh.govern[...]
2017-08-26
[31]
논문
Khat: Pharmacological and Medical Aspects and Its Social Use in Yemen
2002
본 사이트는 AI가 위키백과와 뉴스 기사,정부 간행물,학술 논문등을 바탕으로 정보를 가공하여 제공하는 백과사전형 서비스입니다.
모든 문서는 AI에 의해 자동 생성되며, CC BY-SA 4.0 라이선스에 따라 이용할 수 있습니다.
하지만, 위키백과나 뉴스 기사 자체에 오류, 부정확한 정보, 또는 가짜 뉴스가 포함될 수 있으며, AI는 이러한 내용을 완벽하게 걸러내지 못할 수 있습니다.
따라서 제공되는 정보에 일부 오류나 편향이 있을 수 있으므로, 중요한 정보는 반드시 다른 출처를 통해 교차 검증하시기 바랍니다.
문의하기 : help@durumis.com