공중합체
"오늘의AI위키"의 AI를 통해 더욱 풍부하고 폭넓은 지식 경험을 누리세요.
1. 개요
공중합체는 둘 이상의 단량체가 화학적으로 결합하여 형성된 고분자를 의미하며, 결합 방식과 단량체의 종류에 따라 선형, 가지형 등 다양한 형태로 분류된다. 선형 공중합체는 블록, 교대, 주기, 통계 공중합체로 나뉘며, 가지형 공중합체는 그래프트, 성형 공중합체 등이 있다. 공중합체의 특성은 분광학, 산란 기술, 열 분석, 크로마토그래피 등 다양한 분석 기술을 통해 분석된다. 공중합은 플라스틱, 고무, 섬유, 접착제 등 다양한 분야에 응용되며, 특히 HIPS, 열가소성 엘라스토머, 약물 전달 시스템 등에 활용된다.
더 읽어볼만한 페이지
- 공중합체 - ETFE
ETFE는 강도가 높고 자외선에 강하며 재활용이 가능한 불소 기반의 열가소성 플라스틱 필름으로, 건축, 항공 우주, 전기 등 다양한 분야에서 활용된다. - 공중합체 - ABS 수지
ABS 수지는 내충격성, 내약품성, 가공성이 우수하고 금속 대체재로 사용되며, 1948년에 특허를 취득하여 1954년 상용화된 열가소성 플라스틱이다. - 고분자화학 - 치글러-나타 촉매
치글러-나타 촉매는 카를 치글러와 줄리오 나타가 발견한 촉매로, 올레핀 중합 반응을 촉진하여 폴리에틸렌, 폴리프로필렌과 같은 다양한 폴리올레핀 생산에 사용되며, 특히 입체 규칙성 고분자 합성에 중요한 역할을 한다. - 고분자화학 - 유리 전이
유리 전이는 액체가 냉각 또는 압축될 때 고체와 유사해지는 현상으로, 점도 급증을 특징으로 하며 결정화와 달리 뚜렷한 구조 변화는 없고, 유리 전이 온도(Tg)는 유리 상태와 과냉각 액체 사이 전이가 일어나는 특정 온도를 의미하며, 재료의 열적, 역학적 특성에 영향을 미친다.
| 공중합체 | |
|---|---|
| 정의 | |
| 설명 | 둘 이상의 단량체로부터 유도된 중합체 |
| 분류 | |
| 구조 | 공중합체 단일 중합체 |
| 과학 | |
| 특성 | 구조 배열성 형태 분해 상 거동 마크-호윙크 이론 UCST LCST 플로리-허긴스 용액 이론 코일-글로불 전이 |
| 합성 | 중합 사슬 성장 중합 자유 라디칼 중합 제어된 라디칼 중합 ATRP RAFT 니트록사이드 매개 라디칼 중합 단계 성장 중합 축합 중합 첨가 중합 |
| 특성화 | GPC FTIR X선 결정학 DSC NMR TGA DMA 유변학 유변 측정 점도 측정 |
| 응용 | 압출 블로우 성형 적용된 코팅 보호 코팅 3D 프린팅 소비재 타이어 흰색 타이어 조리 기구 및 제빵 기구 베이클라이트 식품 용기 레코드판 케블라 플라스틱 병 비닐 봉투 |
2. 공중합의 종류
공중합은 결합 방식과 단량체의 종류에 따라 다양한 형태로 나뉜다. 둘 이상의 단량체(모노머)를 조합하여 각 단량체의 장점을 모두 갖추거나, 한쪽의 결점을 보완한 고분자를 만들 수 있다.
잘 알려진 공중합의 예로는 합성고무인 스티렌-부타디엔공중합물, 아크릴로니트릴-부타디엔공중합물 등이 있다. 플라스틱에도 다음과 같은 공중합물이 있다.
- 염화비닐-염화비닐리덴공중합물
- ABS 수지
- 내부가소화 염화비닐
2. 1. 선형 공중합체
선형 공중합체는 단량체들이 사슬 형태로 연결된 구조를 가지는 공중합체이다. 또는 인 일반적 형태의 중합을 선형 단계 공중합이라고 한다. 크고 적절한 몰질량을 가진 공중합체를 단계중합으로 얻으려면 높은 반응도를 가져야 한다. 이렇게 되면 얻은 공중합체 내의 단량체 조성은 초기에 넣은 단량체의 조성과 같게 된다. 단량체들의 서로간의 반응성이 반복 단위 분포에 영향을 미치게 된다.[45]형태의 공중합에서 서로 다른 반응성인 두 가지(또는 그 이상)의 단량체를 단계 중합시키면 블록 공중합체가 얻어진다. 반응성이 더 큰 작용기를 가진 단량체가 우선 반응하게 되어 올리고머 사슬이 우선 얻어지게 된다. 반응성이 작은 단량체는 먼저 반응하는 단량체가 거의 소모된 후에 공중합에 참여하게 된다. 따라서 그 공중합체 속에는 같은 반복 단위가 연속해서 나오게 되어 블록 공중합체가 만들어진다.
예를 들어 한 가지 다이카복실산을 다이올과 다이아민 혼합물과 반응시키면 아민기(
선형 공중합체는 다음과 같이 분류할 수 있다.
- '''블록 공중합체''': 한 단량체의 블록이 다른 단량체의 블록과 연결되어 만들어진다.
- '''교대 공중합체''': A와 B 단량체가 규칙적으로 번갈아 배열된 구조를 가진다.
- '''주기 공중합체''': 셋 이상의 단량체가 반복적인 패턴으로 배열된 구조를 갖는다.
- '''통계적 공중합체''': 단량체들이 통계적 규칙에 따라 배열된다.
2. 1. 1. 블록 공중합체 (Block copolymers)
블록 공중합체는 한 종류의 단량체로 이루어진 블록이 다른 종류의 단량체로 이루어진 블록과 공유 결합으로 연결된 중합체이다. 주로 이온 결합에 의해 형성된다.[61]
A블록-B블록 순으로 이어지는 것을 AB 이블록 공중합체, A블록-B블록-A블록이 있는 것은 ABA 삼중블록 공중합체, 주사슬에 3가지 다른 블록이 존재하면 ABC형 공중합체라고 한다.
블록 공중합체는 두 단량체로부터 만들어진 동종 중합체의 물리적 성질을 모두 가진다.[61] 예를 들어, 폴리스티렌-b-폴리(메틸 메타크릴레이트) (PS-b-PMMA)는 스티렌을 먼저 중합한 후, 폴리스티렌 사슬의 반응성 말단으로부터 메틸 메타크릴레이트(MMA)를 중합하여 만든다. 이 고분자는 두 개의 서로 다른 화학적 블록을 포함하기 때문에 "이중 블록 공중합체"이다. 삼중 블록, 사중 블록, 다중 블록 등도 만들 수 있다.[7]
블록 공중합체는 주기적인 나노 구조를 만들기 위해 "마이크로상으로 분리"될 수 있다는 점에서 흥미로운 주제이다.[66][67] 예를 들어, 스티렌-부타디엔-스티렌(SBS) 블록 공중합체는 크레이튼이라고 불리며, 신발 밑창이나 접착제에 사용된다.[23][24]

thumb
마이크로 규모의 미세 구조를 조사하기 위해서는 TEM이 이용된다. 부타디엔 모체는 사산화 오스뮴(OsO4)에 염색되어 사진에서 상의 대비를 구별할 수 있게 해준다. 이 물질은 리빙 중합을 통해 생성되어 블록들이 거의 단분산되어 규칙적인 미세 구조를 갖게끔 해준다.
마이크로상 분리는 기름과 물이 섞이지 않는 현상과 유사하다. 블록 간의 비호환성으로 인해 블록 공중합체는 상 분리 현상을 겪지만, 블록들이 공유 결합으로 연결되어 있어 거시적으로 분리되지는 않는다. 대신, 블록들은 나노미터 크기의 구조를 형성한다. 이블록(diblock) 공중합체에서, 블록의 길이가 충분히 다르면 한 블록은 다른 블록의 매트릭스 내에 나노미터 크기의 구를 형성한다. (예: 폴리스티렌 내의 PMMA) 블록의 길이가 비슷하면 육각형의 원통 모양이나 층상 구조(라멜라)를 형성하며, 원통형과 층상 구조 사이에는 자이로이드 구조가 존재한다.
블록 공중합체로 만들어진 나노 규모의 구조들은 컴퓨터 메모리, 나노 기술에 사용되는 기구를 만드는 데 사용된다.[68] 또한, 블록 공중합체는 안정성과 조정가능성이 뛰어나 모델 지질 이중층 및 리포솜 속 인지질의 대체제로 종종 쓰이기도 한다.[69][70]
고분자 과학자들은 열역학 개념을 이용하여 블록들의 상호 작용을 설명한다.[71][72] 생성물의 중합도(''n'')와 플로리-허긴스(Flory-Huggins) 상호작용 매개변수(χ)는 두 블록의 비호환성과 마이크로상 분리 여부를 나타낸다. 예를 들어, 대칭적인 구성을 갖는 이블록 공중합체는 χ''N'' 값이 10.5 이상이면 마이크로상으로 분리된다.
블록 공중합체는 얇은 필름막에서 고밀도 데이터 저장을 위한 반도체 물질의 석판술에 사용되는 틀로서의 역할을 제공해 줄 수 있어 많은 관심을 받고 있다.[75]
2. 1. 2. 교대 공중합체 (Alternating copolymers)
교대 공중합체는 A와 B 단량체가 규칙적으로 번갈아 배열된 구조를 가지며, 종종 -A-B-A-B-A-B-A-B-A-B- 또는 -(-A-B-)n- 형태로 나타난다. 공중합체 조성식에서 반응성 비 r1과 r2가 0에 가까울 때, 중합체 내 각 단량체의 몰 비는 일반적으로 1에 가깝다. 예를 들어, 자유 라디칼 공중합에서 r1 = 0.097 및 r2 = 0.001[52]인 스타이렌 말레산 무수물 공중합체는 스타이렌으로 끝나는 대부분의 사슬에 말레산 무수물 단위체가 추가되고, 말레산 무수물로 끝나는 거의 모든 사슬에 스타이렌 단위체가 추가되어 대부분 교대 구조를 이룬다.[8]두 이작용성 단량체 A-A 및 B-B (각 A와 B는 해당 단량체의 작용기이다.)의 축합 반응에 의해 형성된 단계-성장 공중합체 -(-A-A-B-B-)n-은 원칙적으로 이 두 단량체의 완벽하게 교대되는 공중합체이지만, 일반적으로 이량체 반복 단위 A-A-B-B의 단일중합체로 간주된다.[12] 나일론 66이 그 예시인데, 반복 단위는 -OC-(CH2)4-CO-NH-(CH2)6-NH-이며, 이산 카르복실산 단량체와 다이아민 단량체로 형성된다.
2. 1. 3. 주기 공중합체 (Periodic copolymers)
주기 공중합체는 셋 이상의 단량체가 반복적인 패턴으로 배열된 구조를 갖는다. 예를 들어, 두 종류의 단량체 A와 B의 경우, (A-B-A-B-B-A-A-A-A-B-B-B)n과 같은 반복 패턴을 형성할 수 있다.2. 1. 4. 통계적 공중합체 (Statistical copolymers)
통계적 공중합체는 단량체들이 통계적 규칙에 따라 배열된 고분자이다. 특정 지점에서 특정 유형의 단량체를 찾을 확률이 그 단량체의 몰분율과 같으면, 이 고분자는 무작위 공중합체라고도 불린다.[54]통계적 공중합체는 두 단량체의 반응 속도에 따라 결정되며, 보통 "무작위"라는 용어와 혼용되어 사용된다.[15] 무작위 공중합체는 각 단일 중합체의 특성을 섞어 상업적으로 유용한 특성을 나타낸다. 예를 들어, 스티렌-부타다이엔 고무와 스티렌-아크릴 수지 등이 있다.[56] 공중합은 중합체의 유리 전이 온도(Tg)를 조절하는 데 유용하며, 유리 전이 온도는 각 단일 중합체의 Tg 값 사이에서 각 성분의 몰분율 또는 질량 분율에 따라 결정된다.[15]
고분자 조성에는 각 단량체의 반응성 비가 중요하다. 예를 들어, 단량체 A의 반응성 비(rA)가 1보다 작으면, 단량체 A는 다른 단량체 B와 더 쉽게 반응한다. 두 반응성 비가 모두 1보다 작으면, 공비 혼합물의 공비점과 같은 지점이 나타나는데, 이 지점에서 단량체의 초기 몰 분율은 중합체 내의 각 단량체의 몰 분율과 같다.[15]
무작위 공중합체를 합성하는 일반적인 방법은 자유 라디칼 중합이다. 이 방법은 비교적 분산된 중합체 사슬을 생성하며, 가격이 저렴하고 고분자량 중합체를 빠르게 만들 수 있다.[19] 분산도를 더 잘 제어하기 위해 음이온 중합을 사용할 수 있지만, 이 방법은 비싸고 매우 깨끗한 반응 조건이 필요하다. 낮은 분산도의 무작위 공중합체는 원자 이동 라디칼 중합(ATRP), 니트록사이드 매개 라디칼 중합(NMP), 가역적 부가-분열 사슬 이동 중합(RAFT)과 같은 리빙 라디칼 공중합으로 합성할 수 있다.[20]
2. 2. 가지형 공중합체 (Branched copolymers)
가지형 공중합체(branched copolymers)는 주 사슬에 곁가지가 달린 형태의 공중합체이다. 비선형 공중합체는 다양한 구조 형성이 가능하다. 가지형 공중합체의 종류에는 그래프트 공중합체, 성형 공중합체 외에, 브러시 공중합체, 빗살 공중합체, 덴드리머 등이 있다.2. 2. 1. 그래프트 공중합체 (Graft copolymers)
'''그래프트 공중합체'''(graft copolymers)는 곁사슬이 주형 사슬과 구조적으로 구별되는 특별한 형태의 가지형 공중합체이다. 일반적으로 주형 사슬은 하나의 단량체(A)로부터 형성되고 가지는 다른 단량체(B)로부터 형성된다. 곁 사슬은 주형 사슬과 구조적으로 다르고, 각각의 그래프팅된 사슬은 동종 중합체일 수도 있고 공중합체일 수 있다.[76]
블록 공중합체와 마찬가지로, 두 단량체를 단순히 혼합하는 것이 아니라 공유결합으로 섞이게 하기 때문에 공중합체는 두 단량체의 성질을 모두 갖는다.
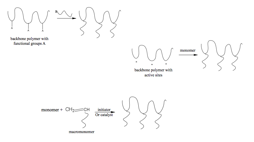
그래프트 공중합체의 합성 방법은 넓게 다음의 세 가지 범주로 묶을 수 있다.[77]
# '''grafting from''': 고분자 주형 사슬 위에 활성자리가 있고, 그 자리에 다른 단량체가 붙어 가지화되는 공중합
# '''grafting through''': 거대단량체와 주형 사슬-형성 단량체의 공중합
# '''grafting to''': 반응성 가지(A')를 가지는 고분자 주형 사슬(A'-backbone)과, 다른 고분자 말단기 사슬(B'-R)의 커플링 공중합(backbone-A'-B'-R coupling)

최근 그래프트 공중합체는 약물 전달 시스템, 계면활성제, 물 필터 등 다양한 분야에 널리 응용되고 있다.[80] 이는 다른 공중합체들과 달리 독특한 구조를 가지기 때문이다.
그 중 하나의 예는 HIPS(high impact polystyrene)로 폴리스티렌 주형 사슬에 폴리부타다이엔 곁 사슬이 그래프팅된 형태이다. 이는 1961년 Charles F. Fryling에 의해 발견되었다.[81] HIPS는 값싼 플라스틱 재질로 훌륭한 내충격성, 가공성, 안정성과 저렴한 가격 등의 장점이 있다.[82] HIPS는 제작에 용이하고 내충격성, 가공성이 필요할 때 자주 사용된다.

HIPS는 폴리부타다이엔을 스타이렌에 녹여 공중합시켜 만든다. 이 반응은 동시에 두 공중합을 진행시키는데, 하나는 스타이렌이 폴리스타이렌이 되는 공중합이고, 다른 하나는 스타이렌-고무 그래프트 공중합이다.[81]
폴리부타다이엔은 반복단위 당 하나의 C=C 이중 결합을 갖는 합성 고무이기 때문에 폴리스타이렌 사슬은 폴리부타다이엔에 그래프팅될 수 있다. 자라던 폴리스타이렌 사슬은 폴리부타다이엔의 이중결합에 첨가되어 폴리스타이렌 가지를 형성한다. HIPS는 그래프팅되지 않은 폴리스타이렌 사슬과 폴리부타다이엔이 혼합하여 형성된다. 이 예시에서 폴리부타다이엔 사슬은 물질이 부딪힐 때 에너지를 흡수하기 때문에 일반적인 폴리스타이렌보다 훨씬 덜 깨진다는 장점이 있다.[22]
2. 2. 2. 성형 공중합체 (Star shaped polymer)
성형 공중합체(star shaped polymer)는 중심 코어에 연결된 여러 개의 선형 사슬(팔)로 구성된 가지형 공중합체의 가장 간단한 종류이다. 중합체의 중심은 원자, 분자, 또는 거대 분자일 수 있고 체인(팔)은 가변 길이의 유기 사슬로 구성된다. 팔의 길이와 구조가 모두 동등한 중합체를 동종, 가변 길이와 구조를 가진 중합체를 이종으로 간주한다.
'''구조'''
성형 공중합체는 적어도 세 개의 중합체 사슬(팔)이 뻗어 나오는 다중 작용성 중심분자로 구성된다.[84] 이 팔은 화학적으로 동일(homo)하거나 다를(hetero) 수 있다. 추가적으로, 개별 사슬은 다수의 중합체로 구성될 수 있고, 그 결과 star-블록 또는 star-공중합체가 생성된다. 이러한 중합체의 특성은 화학 구조뿐만 아니라 팔의 길이와 수에 따라 결정된다.[84]
'''합성'''
성형 공중합체는 다양한 방법을 통해 합성될 수 있다. 가장 일반적인 합성에는 리빙 사슬이 개시제로 사용되는 팔 우선 접근법과 코어가 개시제로 사용되는 코어 우선 접근법이 있다. 다른 합성 경로에는 제어 졸 겔 공정, -기 전달 중합, 전이 금속 촉매, 리빙 음이온 중합, 리빙 양이온 중합, 개환 중합, 개환 메타테스 중합(ROMP) 및 제어 라디칼 중합이 포함된다.
'''팔 우선'''
팔-제1 방법에서, 알려진 특성을 갖는 다기능성 리빙 중합체가 반응의 전구체로 사용된다. 그들의 사슬 끝에 있는 활성 부위는 적절하게 반응성 다기능성 중합체 코어와 직접 반응하여 성형 공중합체를 생성할 수 있다. 이 접근법에서 생성된 중합체는 동종 사슬 그룹으로 구성된다. 팔 우선 합성 경로는 성형 중합체의 가장 효율적인 합성법이다.[83][85] 이것은 각 단계가 직접 제어되고 평가될 수 있기 때문이다. 팔과 코어는 화학양론적 반응 이전에 분리되고 특성화될 수 있으며, 최종 성형 중합체의 기능성은 정확하고 직접적으로 측정될 수 있다.

팔-우선 합성에 대한 일반적인 접근법은 음이온 중합을 이용하는 것이다. 이것은 음이온성인 팔을 사용하고 팔이 반응할 수 있는 비활성화 그룹을 포함하는 코어와 반응시키는 것이다.[85] 코어의 비활성화 그룹은 종종 클로로실란, 염소 이탈기 또는 비활성화 알켄이다. 클로로실란 유도체는 특히 반응성 코어로서 작용하며, 탄소 음이온 리빙 중합체와 정량적으로(또는 정량적으로 매우 가까운) 반응할 수 있고, 이 반응은 탄소 음이온이 Si-Cl기와 친전자성 치환을 수행하는 것을 포함한다. 이와 같은 경우에, 코어는 잘 특성화된 성형 중합체로 이어진다. 코어 및 팔 둘 다 반응성이 있기 때문에, 본질적으로 모든 Si-Cl은 친전자성 치환을 겪고, 따라서 생성된 성형 중합체는 다소 좁은 다분산 지수(PDI)를 갖는다.[85]
'''코어 우선'''

코어 우선 접근법에서 다작용성 코어는 여러 팔에 대해 동시에 개시제 역할을 한다. 이 접근법은 적절하고 안정적인 코어를 찾는 것이 어렵고 합성된 성형 고분자를 특성화하는 것이 어렵다는 점에서 팔 우선 접근법보다 더 복잡하다는 것을 증명한다.[85]

코어 우선 접근법은 다기능성 코어를 만들기 위해 포타슘 나프탈레나이드를 사용하여 다이바이닐벤젠(DVB)를 기능화함으로써 1988년에 처음 시도되었다.[86] 코어는 에틸렌 옥사이드와 반응하여 보다 별 형태의 중합체를 만들 수 있다. 대부분의 코어 우선 접근법은 전형적으로 높은 점도와 겔화에 의한 문제가 존재하였다. 성망형 중합체는 크기 배제 크로마토그래피 및 광산란 기술로 특징지어진다.
3. 공중합 반응성 비
공중합에서 각 단량체의 반응성은 반응성 비(reactivity ratio)로 나타내며, 이는 공중합체의 조성과 구조를 결정하는 중요한 요인이다. 반응성 비는 단량체와 성장 사슬 말단과의 반응 속도 상수의 비로 정의된다.
:: 및
- : 단량체 1로 끝나는 중합체 사슬에 단량체 1이 첨가되는 속도 상수
- : 단량체 1로 끝나는 중합체 사슬에 단량체 2가 첨가되는 속도 상수
- : 단량체 2로 끝나는 중합체 사슬에 단량체 2가 첨가되는 속도 상수
- : 단량체 2로 끝나는 중합체 사슬에 단량체 1이 첨가되는 속도 상수
메이요-루이스 방정식(공중합 반응 방정식)을 통해 반응성 비와 공중합체의 조성 관계를 알 수 있다.[46]
::
- : 단량체 1의 농도
- : 단량체 2의 농도
| 단량체 A | 단량체 B | rA | rB | rArB |
|---|---|---|---|---|
| 스타이렌 | 뷰타다이엔 | 0.78 | 1.39 | 1.08 |
| 스타이렌 | 메타크릴산 메틸 | 0.52 | 0.46 | 0.24 |
| 스타이렌 | 아크릴산 메틸 | 0.75 | 0.18 | 0.14 |
| 스타이렌 | 아크릴로나이트릴 | 0.40 | 0.04 | 0.02 |
| 스타이렌 | 말레산 무수물 | 0.02 | 0 | 0 |
| 스타이렌 | 염화 비닐 | 17 | 0.02 | 0.34 |
| 아세트산 비닐 | 염화 비닐 | 0.23 | 1.68 | 0.39 |
| 아세트산 비닐 | 아크릴로나이트릴 | 0.06 | 1.05 | 0.24 |
| 아세트산 비닐 | 스타이렌 | 0.01 | 55 | 0.55 |
| 메타크릴산 메틸 | 아크릴산 메틸 | 1.69 | 0.34 | 0.57 |
| 메타크릴산 메틸 | n-뷰틸 아크릴레이트 | 1.8 | 0.37 | 0.67 |
| 메타크릴산 메틸 | 아크릴로나이트릴 | 1.20 | 0.15 | 0.18 |
| 메타크릴산 메틸 | 아세트산 비닐 | 20 | 0.015 | 0.30 |
| trans-스틸벤 | 말레산 무수물 | 0.03 | 0.03 | 0.001 |
3. 1. 반응성 비에 영향을 주는 인자
자유 라디칼 중합으로 형성되는 단량체의 반응성은 치환기가 대응하는 고분자 라디칼을 안정화시킬 수 있는 능력에 의존한다. 고분자 라디칼의 안정성이 커질수록 단량체의 반응으로 보다 더 쉽게 형성된다. 따라서 반응성 단량체는 홀전자의 비편재화에 의하여 고분자 라디칼을 안정시키는 치환기를 가진다. 높은 반응성의 단량체는 낮은 반응성인 고분자 라디칼을 만들고 그 반대도 같은 개념으로 생각할 수 있다. 공명 안정화가 증가하는 순서로 치환기를 배열하면 다음과 같다.[50]
단량체의 반응성 비는 단량체의 입체 효과에 영향을 받는다. 1,2-이치환 단량체에서 2-위치의 치환기가 성장 반응에 입체 장애를 주어 낮은 반응성을 갖는다.[50]
Q-e 개요(scheme)를 통해 단량체들의 반응성과 극성의 정도를 개략적으로 비교하고, 상대적 반응 속도 계수를 추정할 수 있다. 단량체()와 반응하는 고분자 라디칼()의 반응 속도 은 다음과 같은 식으로 주어진다.[50]
:
:
:
Q는 반응성을 나타내고, e는 라디칼의 극성(polarity)을 나타낸다. Q는 단량체 반응성이 증가함에 따라서 증가하고, e는 전자가 풍부할수록 음(-)의 값을 갖는다.
| 단량체 | Q | e |
|---|---|---|
| 아이소프렌 | 3.33 | -1.22 |
| 뷰타다이엔 | 2.39 | -1.05 |
| 스티렌 | 1.00 | -0.80 |
| 메타크릴산 메틸 | 0.74 | 0.40 |
| 아크릴로나이트릴 | 0.60 | 1.20 |
| 아크릴산 에틸 | 0.52 | 0.22 |
| 말레산 무수물 | 0.23 | 2.25 |
| 염화 비닐 | 0.044 | 0.20 |
| 아세트산 비닐 | 0.026 | -0.22 |
4. 공중합체의 특성 분석
공중합체의 특성 분석에는 다른 고분자 재료의 특성 분석 기술과 유사한 기술들이 사용된다. 이러한 기술들은 재료의 평균 분자량, 분자 크기, 화학 조성, 분자 균질성, 물리화학적 특성 등을 결정하는 데 사용될 수 있다.[38] 그러나 공중합체는 이종 특성을 가진 기본 고분자 성분으로 만들어지기 때문에, 이들을 정확하게 특성화하기 위해서는 여러 특성 분석 기술이 필요할 수 있다.[33]
4. 1. 분광학적 분석
핵자기 공명 분광법(NMR), 적외선 분광법(IR), 자외선-가시광선 분광법(UV-Vis)과 같은 분광 기술은 공중합체의 분자 구조와 화학 조성을 식별하는 데 자주 사용된다.[38] 특히 NMR은 고분자 사슬의 택티시티와 구성을 나타낼 수 있으며, IR은 공중합체에 부착된 작용기를 식별할 수 있다.4. 2. 산란 기술
산란 기술은 공중합체의 특성 분석에 사용되는 기술이다. 정적 광산란(SLS), 동적 광산란(DLS), 소각 중성자 산란(SANS), 소각 X선 산란(SAXS) 등을 통해 합성된 공중합체의 분자량, 크기, 형태 등을 분석할 수 있다.[34] 정적 광산란과 동적 광산란은 빛을 이용하여 용액 내 공중합체의 평균 분자량과 거동을 결정하는 반면, 소각 중성자 산란은 중성자를 사용하여 분자량과 사슬 길이를 결정한다. 소각 X선 산란(SAXS)은 미세 상 분리된 블록 공중합체 또는 현탁된 미셀의 나노미터 형태와 특징적인 특징 크기를 결정하는 데 사용된다.4. 3. 열 분석
시차 주사 열량 측정법(DSC)은 온도의 함수에 따라 공중합체의 열적 변화를 결정하는 데 사용되는 열 분석 기술이다.[35] 이 기술은 재료와 기준 물질을 일정하게 증가하는 온도로 유지하는 데 필요한 열 흐름을 측정하여 공중합체가 결정화 또는 용융과 같은 상전이를 겪고 있는지 여부를 나타낼 수 있다.열 중량 분석(TGA)은 온도의 함수에 따라 공중합체의 열적 안정성을 평가하는 데 사용되는 또 다른 열 분석 기술이다. 이는 상전이, 열 분해 및 산화 환원 반응과 같은 물리화학적 특성의 변화에 대한 정보를 제공한다.[36]
4. 4. 크로마토그래피
크기 배제 크로마토그래피(SEC)는 수력학적 부피를 기반으로 서로 다른 분자량을 가진 공중합체를 분리할 수 있다.[37] 여기서 수력학적 부피와의 관계를 도출하여 분자량을 결정할 수 있다. 더 큰 공중합체는 칼럼과 상호작용을 덜 하므로 먼저 용출되는 경향이 있다. 수집된 재료는 일반적으로 광산란 방법, 굴절계 또는 점도계를 통해 감지하여 용출된 공중합체의 농도를 결정한다.5. 공중합의 응용
공중합은 플라스틱, 고무, 섬유, 접착제, 코팅제, 약물 전달 시스템, 계면활성제, 멤브레인 등 다양한 분야에 응용된다.
블록 공중합체는 열가소성 엘라스토머 (TPE) 개발에 응용된다.[38] 초기 상업용 TPE는 폴리우레탄(TPU)으로부터 개발되었으며, 자동차 범퍼와 스노모빌 트레드에 사용된다. 스티렌계 TPE는 신발, 역청 개질, 열가소성 혼합, 접착제, 케이블 절연 및 개스킷에 사용된다. 폴리에스터 (TPES)와 폴리아미드 (TPA)를 기반으로 하는 새로운 TPE는 호스 튜빙, 스포츠 용품 및 자동차 부품에 사용된다.[38]
양친매성 블록 공중합체는 미셀과 나노입자를 형성할 수 있어 약물 전달을 위한 운송 수단 연구에서 주목받고 있다.[39][40] 또한, 양친매성 블록 공중합체는 미셀 형성[38] 또는 필름 준비를 통해 물에서 유기 오염 물질을 제거하는 데 사용될 수 있다.[41]
스티렌-말레산(SMA) 교대 공중합체는 pH에 따라 양쪽성 성질을 나타내어 다양한 환경에서 컨포메이션을 변화시킬 수 있다.[42] SMA는 염료 및 잉크의 분산제로, 약물 전달체로, 그리고 막 가용화에 사용되어 왔다.[42]
참조
[1]
논문
Glossary of basic terms in polymer science (IUPAC Recommendations 1996)
[2]
웹사이트
Nylon-12/6/66 Copolymer
http://www.cosmetics[...]
2021-04-12
[3]
웹사이트
copolymer
https://goldbook.iup[...]
IUPAC
2024-04-01
[4]
논문
Copolymerization. I. A Basis for Comparing the Behavior of Monomers in Copolymerization; The Copolymerization of Styrene and Methyl Methacrylate
[5]
문서
Cowie, p.4
[6]
웹사이트
block copolymer
https://goldbook.iup[...]
IUPAC
2024-04-01
[7]
서적
Block copolymers: synthetic strategies, physical properties, and applications
Wiley
[8]
서적
Polymer Science and Technology
Prentice Hall
2003
[9]
논문
Olefin Polymer Technologies-History and Recent Progress at the Dow Chemical Company
[10]
논문
Block Index for Characterizing Olefin Block Copolymers
2007
[11]
웹사이트
alternating copolymer
https://goldbook.iup[...]
IUPAC
2024-04-01
[12]
서적
Polymers: Chemistry and Physics of Modern Materials
https://archive.org/[...]
Blackie (USA: Chapman and Hall)
1991
[13]
웹사이트
statistical copolymer
https://goldbook.iup[...]
IUPAC
2024-04-01
[14]
문서
Painter P. C. and Coleman M. M., ''Fundamentals of Polymer Science'', CRC Press, 1997, p 14.
[15]
서적
Introduction to Polymer Science and Chemistry
CRC Press
[16]
논문
Copolymerization: 1. General Remarks; 2: Selective Examples of Copolymerizations
[17]
간행물
Free Radical Copolymerization Reactivity Ratios
The Wiley Database of Polymer Properties
[18]
논문
Ethene−Norbornene Copolymerization with Homogeneous Metallocene and Half-Sandwich Catalysts: Kinetics and Relationships between Catalyst Structure and Polymer Structure. 3. Copolymerization Parameters and Copolymerization Diagrams
[19]
논문
Free-Radical Copolymerization of Fullerenes with Styrene
[20]
논문
Controlled radical polymerization
[21]
논문
Glossary of basic terms in polymer science (IUPAC Recommendations 1996)
[22]
서적
The Elements of Polymer Science and Engineering
https://archive.org/[...]
Academic Press
1982
[23]
서적
"The Physics of Block Copolymers"
Oxford University Press
[24]
서적
"Developments in Block Copolymer Science and Technology"
Wiley
[25]
논문
Self-assembled diblock copolymer "nanoreactors" as catalysts for metal nanoparticle synthesis
[26]
논문
Reconstitution of Channel Proteins in (Polymerized) ABA Triblock Copolymer Membranes
Wiley
2000-12-15
[27]
논문
Mimicking the cell membrane with block copolymer membranes
Wiley
2012-03-11
[28]
논문
Block Copolymer Thermodynamics: Theory and Experiment
[29]
논문
Flory-Huggins parameter χ, from binary mixtures of Lennard-Jones particles to block copolymer melts
[30]
논문
Adsorption of block co-polymers from selective solvents on curved surfaces
[31]
서적
"Block Copolymers in Solution"
Wiley
[32]
논문
Ordering in Thin Films of Block Copolymers: Fundamentals to Potential Applications
[33]
논문
Characterization of Copolymers and Blends by Quintuple-Detector Size-Exclusion Chromatography
https://pubs.acs.org[...]
2012-06-05
[34]
논문
Directed self-assembly of block copolymers: a tutorial review of strategies for enabling nanotechnology with soft matter
https://pubs.rsc.org[...]
2014-03-21
[35]
서적
Principles of instrumental analysis
https://www.worldcat[...]
Saunders College Pub.
1998
[36]
논문
Thermogravimetric analysis. A review
https://pubs.rsc.org[...]
1963-01-01
[37]
서적
Modern theory of polymer solutions.
https://www.worldcat[...]
Harper & Row
1971
[38]
서적
Block Copolymers
http://doi.wiley.com[...]
John Wiley & Sons, Inc.
2002-11-15
[39]
논문
Polymeric nanoparticles, micelles and polymersomes from amphiphilic block copolymer
http://link.springer[...]
2010
[40]
논문
Advanced drug delivery devices via self-assembly of amphiphilic block copolymers
https://www.scienced[...]
2012-12-01
[41]
논문
Nanocellulose-Block Copolymer Films for the Removal of Emerging Organic Contaminants from Aqueous Solutions
2019
[42]
논문
Recent advances in alternating copolymers: The synthesis, modification, and applications of precision polymers
2017-05-05
[43]
논문
Tunable wettability and pH-responsiveness of plasma copolymers of acrylic acid and octafluorocyclobutane
[44]
웹사이트
IUPAC - copolymer (C01335)
http://goldbook.iupa[...]
IUPAC
2020-05-08
[45]
서적
Introduction to polymers
2013-02-28
[46]
서적
Introduction to polymers
2013-02-28
[47]
서적
Introduction to polymers
2013-02-28
[48]
서적
Introduction to polymers
2013-02-28
[49]
서적
Introduction to polymers
2013-02-28
[50]
서적
Introduction to polymers
2013-02-28
[51]
서적
Introduction to polymers
2013-02-28
[52]
서적
Polymer science and technology
https://www.worldcat[...]
2003
[53]
서적
Polymers: chemistry and physics of modern materials
https://www.worldcat[...]
1991
[54]
저널
Fundamentals of Polymer Science
http://dx.doi.org/10[...]
2019-01-25
[55]
간행물
Introduction to Polymer Science and Chemistry
2013
[56]
간행물
Copolymerization: 1. General Remarks; 2: Selective Examples of Copolymerizations
1985
[57]
서적
The Wiley Database of Polymer Properties
https://onlinelibrar[...]
2003-04-15
[58]
저널
Ethene−Norbornene Copolymerization with Homogeneous Metallocene and Half-Sandwich Catalysts: Kinetics and Relationships between Catalyst Structure and Polymer Structure. 3. Copolymerization Parameters and Copolymerization Diagrams
[59]
저널
Free-Radical Copolymerization of Fullerenes with Styrene
http://dx.doi.org/10[...]
1995-05
[60]
저널
Controlled radical polymerization
[61]
웹인용
Polymer Science: A Comprehensive Reference
https://www.scienced[...]
2012
[62]
서적
Introduction to polymers
2013-02-28
[63]
서적
Introduction to polymers
2013-02-28
[64]
서적
Introduction to polymers
2013-02-28
[65]
서적
Introduction to polymers
2013-02-28
[66]
간행물
The Physics of Block Copolymers
1998
[67]
간행물
Developments in Block Copolymer Science and Technology
2004
[68]
저널
Self-assembled diblock copolymer "nanoreactors" as catalysts for metal nanoparticle synthesis
[69]
저널
Reconstitution of Channel Proteins in (Polymerized) ABA Triblock Copolymer Membranes
Wiley
2000-12-15
[70]
저널
Mimicking the cell membrane with block copolymer membranes
Wiley
2012-03-11
[71]
논문
Block Copolymer Thermodynamics: Theory and Experiment
[72]
논문
Flory-Huggins parameter χ, from binary mixtures of Lennard-Jones particles to block copolymer melts
[73]
논문
Adsorption of block co-polymers from selective solvents on curved surfaces
[74]
서적
"Block Copolymers in Solution"
Wiley
[75]
논문
Ordering in Thin Films of Block Copolymers: Fundamentals to Potential Applications
[76]
논문
Glossary of basic terms in polymer science (IUPAC Recommendations 1996)
https://www.degruyte[...]
1996-01-01
[77]
서적
Introduction to polymers
자유아카데미
2013-02-28
[78]
웹인용
Graft Copolymers
http://www.cmu.edu/m[...]
Carnegie Mellon
2014-02-14
[79]
논문
Reactivity of Poly(ethylene oxide) Macromonomers in Radical Copolymerization
http://www.nature.co[...]
1985-07
[80]
논문
Synthesis of PEG and Quaternary Ammonium Grafted Silicone Copolymers as Nanoemulsifiers
https://pubs.acs.org[...]
2020-05-08
[81]
웹인용
High Impact Polystyrene
http://www.google.co[...]
Koppers Co Inc
2014-02-14
[82]
웹인용
(HIPS) High Impact Polystyrene
http://www.plasticsi[...]
2014-02-14
[83]
서적
Polymers with Star-Related Structures
https://linkinghub.e[...]
Elsevier
2012
[84]
논문
Star-shaped polymers having PEO arms
https://linkinghub.e[...]
2009-09
[85]
서적
Star and hyperbranched polymers
https://www.worldcat[...]
Marcel Dekker
1999
[86]
논문
"[No title found]"
https://onlinelibrar[...]
1988-12
본 사이트는 AI가 위키백과와 뉴스 기사,정부 간행물,학술 논문등을 바탕으로 정보를 가공하여 제공하는 백과사전형 서비스입니다.
모든 문서는 AI에 의해 자동 생성되며, CC BY-SA 4.0 라이선스에 따라 이용할 수 있습니다.
하지만, 위키백과나 뉴스 기사 자체에 오류, 부정확한 정보, 또는 가짜 뉴스가 포함될 수 있으며, AI는 이러한 내용을 완벽하게 걸러내지 못할 수 있습니다.
따라서 제공되는 정보에 일부 오류나 편향이 있을 수 있으므로, 중요한 정보는 반드시 다른 출처를 통해 교차 검증하시기 바랍니다.
문의하기 : help@durumis.com