스원 산화
"오늘의AI위키"의 AI를 통해 더욱 풍부하고 폭넓은 지식 경험을 누리세요.
1. 개요
스원 산화는 디메틸 설폭사이드(DMSO)를 활성화하여 알코올을 카르보닐 화합물로 산화시키는 유기 화학 반응이다. 옥살릴 클로라이드, 트리플루오로아세트산 무수물, 시아누르산 클로라이드, 카보디이미드, 삼산화황 피리딘 복합체 등 다양한 활성화제를 사용할 수 있다. 이 반응은 산에 민감한 화합물의 산화에 유용하며, 부산물인 디메틸 설파이드의 불쾌한 냄새를 제거하기 위해 표백제나 옥손 용액으로 처리할 수 있다. 코리-김 산화와 유사한 반응이다.
더 읽어볼만한 페이지
- 유기 산화 환원 반응 - 지질 과산화
지질 과산화는 자유 라디칼 연쇄반응으로 다가불포화지방산이 산화적으로 분해되는 과정으로, 지질 하이드로퍼옥사이드와 말론디알데히드 같은 최종 산물이 세포 손상과 DNA 손상을 유발하며, 항산화제와 효소들이 이를 억제하는 데 중요한 역할을 한다. - 유기 산화 환원 반응 - 수소화
수소화는 유기 화합물에 수소 가스를 첨가하는 반응으로, 금속 촉매를 사용하여 불포화 탄화수소를 포화시키는 데 주로 사용되며, 석유화학 및 식품 산업 등 다양한 분야에서 활용된다. - 인명 반응 - 마이야르 반응
마이야르 반응은 아미노산과 환원당이 고온에서 반응하여 풍미와 색깔을 내는 화학 반응으로, 식품의 갈변 현상과 향기 생성에 중요하지만 유해 물질 생성 가능성도 있어 식품 안전 논의 대상이 된다. - 인명 반응 - 만니히 반응
만니히 반응은 아민, 포름알데히드, 카르보닐 화합물을 사용하여 β-아미노 카르보닐 화합물을 생성하는 유기 반응이다.
| 스원 산화 | |
|---|---|
| 반응 정보 | |
| 이름 | 스원 산화 |
| 유형 | 유기 산화 환원 반응 |
| 명명 유래 | 다니엘 스원 |
| 유기화학 명명 반응 | swern-oxidation |
| RSC 온톨로지 ID | 0000154 |
2. 메커니즘
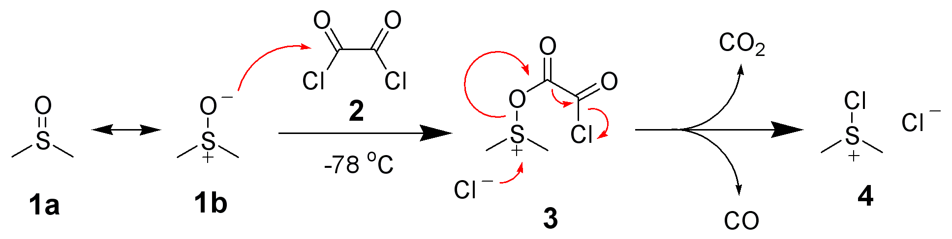
디메틸 설폭사이드(다이메틸 설폭사이드/dimethyl sulfoxide영어, DMSO, '''1a''')가 옥살릴 클로라이드('''2''')와 저온에서 반응하는 것이 스원 산화의 첫 단계이며, 형식적으로는 공명 기여 구조 '''1b'''로 나타낼 수 있다. 첫 번째 중간체인 '''3'''은 빠르게 분해되어 이산화탄소와 일산화탄소를 방출하고, 클로로(디메틸)설포늄 클로라이드('''4''')를 생성한다.
알코올 '''5'''를 첨가한 후, 클로로(디메틸)설포늄 클로라이드 '''4'''는 알코올과 반응하여 핵심적인 알콕시설포늄 이온 중간체인 '''6'''을 생성한다. 최소 2당량의 염기(일반적으로 트리에틸아민)를 첨가하면 알콕시설포늄 이온이 탈양성자화되어 황 일리드 '''7'''을 생성한다. 5원 고리 전이 상태에서, 황 일리드 '''7'''은 분해되어 디메틸 설파이드와 원하는 카르보닐 화합물 '''8'''을 생성한다.
염화 클로로디메틸설포늄'''4'''은 −20 ℃ 정도가 되면 급격히 분해되므로, 이 반응은 일반적으로 디클로로메탄을 용매로 하여 −60 ℃ 정도로 수행한다. −60 ℃에서 디클로로메탄에 용해되지 않는 물질에 대해서는 과량의 디메틸설폭사이드와 옥살릴 클로라이드를 사용하여 −10 ℃ 정도로 반응시킨다.
2. 1. 옥살릴 클로라이드를 이용한 활성화
스원 산화의 가장 일반적인 방법은 디메틸 설폭사이드(DMSO, '''1a''')를 옥살릴 클로라이드('''2''')와 저온에서 반응시키는 것이다. 이 반응을 통해 생성되는 첫 번째 중간체('''3''')는 빠르게 분해되어 이산화탄소와 일산화탄소를 방출하고, 클로로(디메틸)설포늄 클로라이드('''4''')를 생성한다.알코올 ('''5''')를 첨가하면, 클로로(디메틸)설포늄 클로라이드('''4''')는 알코올과 반응하여 핵심적인 알콕시설포늄 이온 중간체 ('''6''')을 생성한다. 최소 2당량의 염기(일반적으로 트리에틸아민)를 첨가하면 알콕시설포늄 이온이 탈양성자화되어 황 일리드('''7''')을 생성한다. 5원 고리 전이 상태에서 황 일리드 ('''7''')은 분해되어 디메틸 설파이드와 원하는 카르보닐 화합물 ('''8''')을 생성한다.
염화 클로로디메틸설포늄('''4''')은 −20 ℃ 정도가 되면 급격히 분해되므로, 이 반응은 일반적으로 디클로로메탄을 용매로 하여 −60 ℃ 정도로 수행한다. −60 ℃에서 디클로로메탄에 용해되지 않는 물질에 대해서는 과량의 디메틸설폭사이드와 옥살릴 클로라이드를 사용하여 −10 ℃ 정도로 반응시킨다.
2. 2. 기타 활성화제를 이용한 방법
옥살릴 클로라이드 외에도 다양한 활성화제를 사용하여 DMSO를 활성화할 수 있다.[11][12]- 트리플루오로아세트산 무수물: 옥살릴 클로라이드보다 높은 온도에서 반응을 진행할 수 있다. 알릴 알코올이나 벤질 알코올의 경우, 알콕시설포늄 염이 불안정하여 푸메러 전위를 일으킬 수 있으므로 주의해야 한다.
- 시아누르산 클로라이드: 옥살릴 클로라이드보다 높은 온도에서 반응을 진행할 수 있다.[11]
- 카보디이미드: 피츠너-모파트 산화라고도 불리며, DCC (디시클로헥실카보디이미드)를 사용한다.
- 삼산화황 피리딘 복합체: 파리크-도어링 산화라고도 불린다.
- 아세트산 무수물: 올브라이트-골드만 산화라고도 불린다.
- ''N''-클로로석신이미드: 디메틸 설파이드와 함께 사용되어 코리-김 산화를 일으킨다.
어떤 경우에는 트리에틸아민을 염기로 사용하면 새로 형성된 카르보닐의 알파 탄소에서 에피머화가 일어날 수 있다. 부피가 큰 염기, 예를 들어 다이아이소프로필에틸아민을 사용하면 이러한 부반응을 완화할 수 있다.
1974년 D. 스원(D. Swern) 등에 의해 발표된 방법으로, 이것이 스원 산화의 근본적인 방법이 된다.
무수 트리플루오로아세트산에 의해 다이메틸 설폭사이드가 트리플루오로아세틸화되어 트리플루오로아세틸다이메틸설포늄 염이 된 후, 알코올과 반응하여 알콕시설포늄 염이 된다.
이 방법에서는 알콕시설포늄 염의 안정성에 기질에 따라 차이가 있으므로 반응 온도 조절이 중요하다.
알릴 알코올, 벤질 알코올의 경우 알콕시설포늄 염이 불안정하여, −30 ℃ 이상에서는 푸멜러 전위를 일으켜 메틸티오메틸 에테르로 변화해 버린다. 따라서, 카르보닐기를 얻기 위해서는 −60 ℃를 유지한 채 마지막까지 반응시킬 필요가 있다.
한편, 다른 알코올에서는 알콕시설포늄 염이 일단 형성되면 실온에서도 상당히 안정하므로, −60 ℃에서 알콕시설포늄 염을 형성한 후, 실온까지 승온시킨 다음 염기를 첨가하는 것이 수율을 향상시킨다.
푸멜러 전위는 입체적으로 비어있는 알코올이 더 일어나기 쉬우므로, 이 방법은 입체적으로 부피가 큰 알코올의 산화에 적합하다.
- 무수초산: 1965년 J. D. Albright와 L. Goldman에 의해 보고된 방법이다. 이 방법에서 디메틸 설폭시드의 활성화는 실온 정도의 열이 필요하며, 이 조건에서는 프메러 전위가 일어나기 쉬우므로 적용할 수 있는 알코올은 제한된다.
- N,N'-디시클로헥실카보디이미드 (DCC): 1965년 K. E. Pfitzner와 J. G. Moffat에 의해 보고된 방법이다. 이 방법에서는 인산 등 약산이 촉매로 필요하며, 실온 정도에서 활성화된다. 무수 트리플루오로아세트산 계와는 반대로 1급 알코올의 산화에 적합하다. 난용성 디시클로헥실요소가 부생성되어 분리가 번거로울 수 있다.
- 삼산화 황-피리딘착체: 1967년 J. R. Parikh와 W. von E. Doering에 의해 보고된 방법.
- 오산화 이인: 1965년 K. Onodera 등에 의해 보고된 방법.
- 카르복실산 클로리드: 1978년 K. Omura와 D. Swern에 의해 보고된 방법.
- 염소: 1973년 E. J. 코리와 C. U. Kim에 의해 보고된 방법.
3. 반응 조건 및 고려 사항
다이메틸 설파이드(Dimethyl sulfide)는 스원 산화의 부산물로, 유기 화학에서 가장 불쾌한 냄새로 악명이 높다. 인간은 이 화합물을 0.02~0.1ppm(parts per million)의 낮은 농도에서도 감지할 수 있다.[13] 이 문제에 대한 간단한 해결책은 사용한 유리 기구를 표백제나 옥손 용액으로 헹구는 것이다. 이는 다이메틸 설파이드를 다시 냄새가 없고 무독성인 다이메틸 설폭사이드 또는 다이메틸 설폰으로 산화시킨다.[14]
반응 조건은 존스 산화와 같은 산성 산화 조건에서 분해될 수 있는 산에 민감한 화합물의 산화를 허용한다. 예를 들어, 톰슨과 히스콕의 세스퀴테르펜 이소벨랄(isovelleral) 합성[15]에 사용된 최종 단계에서는 스원 프로토콜을 사용하여 산에 민감한 시클로프로판메탄올 잔기의 재배열 반응을 피했다.
4. 유사 반응
코리-김 산화는 다이메틸 설파이드를 산화적으로 활성화하여 설포늄 염을 조제하여 알코올의 산화에 사용하는 방법이다. 1972년에 일라이어스 제임스 코리(Elias James Corey)와 C. U. 킴(C. U. Kim)에 의해 보고되었다. 활성화제로는 N-클로로석신이미드(''N''-클로로석신이미드, NCS)나 염소를 사용한다. 통상 활성화는 0℃에서 행하고, 알코올과의 반응은 −25℃ 정도에서 행한다. 염소는 탄소-탄소 이중 결합에 부가되어 버리므로 기질이 제한되지만, NCS에 비하면 공업적으로 적합하다.
5. 한국에서의 연구 및 활용
참조
[1]
논문
Oxidation of alcohols by "activated" dimethyl sulfoxide. A preparative, steric and mechanistic study
[2]
논문
Structure of the dimethyl sulfoxide-oxalyl chloride reaction product. Oxidation of heteroaromatic and diverse alcohols to carbonyl compounds
[3]
논문
Oxidation of long-chain and related alcohols to carbonyls by dimethyl sulfoxide "activated" by oxalyl chloride
[4]
간행물
Synthesis of 1,1-Dimethyl Ethyl-(''S'')-4-formyl-2,2-dimethyl-3-oxazolidinecarboxylate by Oxidation of the Alcohol
[5]
간행물
[6]
간행물
Selective hydroboration of a 1,3,7-triene: Homogeraniol
[7]
서적
Oxidation of alcohols to aldehydes and ketones: A guide to current common practice
Springer
[8]
논문
Activated dimethyl sulfoxide: Useful reagents for synthesis
[9]
논문
Oxidation of alcohols to carbonyl compounds via alkoxysulfonium ylides: The Moffatt, Swern, and related oxidations
[10]
논문
Oxidation of alcohols by activated dimethyl sulfoxide and related reactions: An update
[11]
논문
A Mild and Efficient Alternative to the Classical Swern Oxidation
[12]
논문
Dimethyl Sulfoxide-Trifluoroacetic Anhydride. New Reagent for Oxidation of Alcohols to Carbonyls
[13]
서적
Of Molecules and Mind
Oxford University Press
[14]
논문
Safe Handling of Boranes at Scale
[15]
논문
Total synthesis of some marasmane and lactarane sesquiterpenes
본 사이트는 AI가 위키백과와 뉴스 기사,정부 간행물,학술 논문등을 바탕으로 정보를 가공하여 제공하는 백과사전형 서비스입니다.
모든 문서는 AI에 의해 자동 생성되며, CC BY-SA 4.0 라이선스에 따라 이용할 수 있습니다.
하지만, 위키백과나 뉴스 기사 자체에 오류, 부정확한 정보, 또는 가짜 뉴스가 포함될 수 있으며, AI는 이러한 내용을 완벽하게 걸러내지 못할 수 있습니다.
따라서 제공되는 정보에 일부 오류나 편향이 있을 수 있으므로, 중요한 정보는 반드시 다른 출처를 통해 교차 검증하시기 바랍니다.
문의하기 : help@durumis.com