핵 생성
"오늘의AI위키"의 AI를 통해 더욱 풍부하고 폭넓은 지식 경험을 누리세요.
1. 개요
핵 생성은 새로운 상이 형성되는 확률적인 과정으로, 동일한 조건에서도 시스템에 따라 핵 생성 시점이 다를 수 있다. 고전 핵 생성 이론은 이러한 현상을 설명하는 데 사용되지만, 특정 물질의 핵 생성 실험 결과를 설명하는 데 한계가 있다. 핵 생성은 액체에서 고체로의 상 변화뿐만 아니라 알츠하이머병과 관련된 아밀로이드 응집체 형성, 세포 내 미세소관 형성 등 다양한 현상에서 나타난다. 핵 생성은 균일 핵 생성과 불균일 핵 생성으로 구분되며, 불균일 핵 생성은 표면에서 핵이 형성되는 현상으로 균일 핵 생성보다 더 일반적이다. 핵 생성 속도는 온도, 과냉각도, 표면 장력 등 다양한 요인에 의해 영향을 받으며, 컴퓨터 시뮬레이션을 통해 핵 생성 현상을 연구하기도 한다. 핵 생성은 기상학, 나노 입자 제조, 결정화, 유체 및 고체의 상전이 등 다양한 분야에서 중요한 역할을 한다.
더 읽어볼만한 페이지
| 핵 생성 |
|---|
2. 핵 생성의 특징
핵 생성은 일반적으로 확률적 과정이므로, 동일한 조건의 두 시스템에서도 서로 다른 시간에 발생한다.[17][6][1][2] 핵 생성의 일반적인 메커니즘은 오른쪽 애니메이션과 같다. 기존 상(흰색)에서 새로운 상(빨간색)의 미세한 변동이 나타나고 붕괴하다가, 새로운 상의 큰 변동이 성장하면서 핵이 형성되고 시스템을 변환시킨다. 이러한 현상을 설명하는 표준 이론은 고전 핵 생성 이론이지만, 이 이론은 증기에서 액체로의 핵 생성 실험 결과를 정확하게 예측하지 못하는 경우가 있다.[3]
과냉각된 작은 물방울에서 얼음이 핵 생성되는 경우처럼, 핵 생성이 한 단계로 발생한다면 핵 생성이 일어나지 않을 확률은 지수 감소를 겪는다.[4] 고전 핵 생성 이론은 핵 생성 속도와 온도 등의 변수 변화를 추정하는 데 사용되는 이론이다. 이 이론은 과포화 상태에서 핵 생성을 기다리는 시간이 매우 빠르게 감소한다는 것을 보여준다.[17][6][2] 핵 생성은 알츠하이머병과 관련된 아밀로이드 응집체 형성[5]이나 세포 내 미세소관의 자기 조직화[5]와 같은 현상에도 관여한다.
불균일 핵 생성은 표면에서 핵이 생성되는 현상으로, 균일 핵 생성보다 훨씬 일반적이다.[17][1] 과냉각된 물방울에서 불순물을 제거하면 -35°C 이하에서 얼지만,[17][1][4] 불순물이 있으면 -5°C 이상에서도 얼 수 있다.[17] 고전 핵 생성 이론에 따르면 핵 생성은 깁스 자유 에너지 장벽 ΔG*에 의해 지수적으로 느려진다. 이 장벽은 성장하는 핵 표면 형성으로 인한 자유 에너지 손실 때문에 발생한다. 균일 핵 생성에서 핵은 구로 근사화되지만, 표면의 핵은 완전한 구가 아니므로 계면 면적이 줄어들어 핵 생성 장벽이 낮아진다.[6]
금 나노 입자의 컴퓨터 시뮬레이션에서는 결정상이 액체-금 표면에서 핵 생성되는 경우가 있음이 확인되었다.[7] 액체와 용액은 결정보다 불안정한 조건에서도 결정 형성이 지연되는 과냉각 현상을 보일 수 있다. 이는 결정 핵 생성에 상당한 장벽이 존재하기 때문이며, 고고도 저온 구름에 0°C 이하의 액체 물방울이 많은 이유이기도 하다.
작은 물방울에서는 결정화를 위해 하나의 핵 생성 사건만 필요할 수 있으며, 첫 결정이 나타날 때까지의 시간을 핵 생성 시간으로 정의한다. 탄산 칼슘 결정 핵 생성은 과포화도와 칼슘 대 탄산 이온 비율에 영향을 받는다.[10] 큰 부피에서는 여러 핵 생성 사건이 발생하며, 아브라미 방정식으로 핵 생성과 성장을 결합한 결정화 모델을 설명할 수 있다.

파운드와 라 메르의 과냉각 액체 주석 방울 실험[15]에서는 핵 생성이 다른 시간에 발생하여 분율이 즉시 0으로 떨어지지 않고 곰퍼츠 함수로 피팅되는 곡선을 보인다. 이들은 불순물 입자에 의한 핵 생성, 푸아송 분포 등을 가정하여 데이터를 모델링했다.[15] 이 데이터는 불균일 핵 생성의 증거와 핵 생성의 확률적 특성을 보여준다.
핵 생성은 다음과 같은 다양한 분야에서 중요한 역할을 한다.
- 기상학에서 구름 응결핵과 인공 강우
- 나노 입자 결정화[22]
- 균질 용액에서의 결정화
- 아세트산 나트륨을 사용한 에코 카이로의 캐비테이션
- 탄산수의 이산화 탄소 거품 발생 (예: 끓임돌, 락 캔디, 멘토스 가이저, 샴페인 스테어러)
- 막 비등, 라이덴프로스트 효과
- 중합체[23], 합금, 세라믹스
- 화학, 생물 물리학에서 중합 과정 (예: 결정화, 아밀로이드 형성)
- 분자 생물학에서 단량체 클러스터로부터의 중합 (예: 액틴 결합, 미세 섬유 중합)
균질 용액에서의 핵 생성은 '''균질 핵 생성'''이라고 하며, 새로운 상과의 경계면을 제공한다. 액체 온도가 불균일 핵 생성 온도(융점)보다 낮지만 균질 핵 생성 온도(순수 물질의 응고점)보다 높은 상태를 과냉각이라고 한다. 이는 비정질 고체와 같은 준안정 상태 구조를 만들 때 유용하지만, 공정 화학이나 주조에서는 바람직하지 않다. 과냉각은 과포화 상태를 유발하여 핵 생성의 구동력이 된다.
핵이 너무 작으면(불안정 핵, 또는 어린 핵 "embryo") 핵 생성이 촉진되지 않는다. 핵의 크기가 임계 반지름 r=r*를 넘으면 핵 생성이 촉진된다. 반지름 r의 클러스터 형성에 필요한 에너지는 다음과 같다.[24]
:
여기서 Gv는 음수이고, σ는 표면 장력이다.[25] 임계 반지름은 다음과 같다.
:
이때, 이 된다.[25]
임계 반지름보다 큰 클러스터는 자유 에너지를 획득하므로, 이후 성장은 확산에 의해 제한된다.[26] 임계 반지름 클러스터 생성에 필요한 자유 에너지는 다음과 같다.
::
과냉각도 를 이용해 r*와 ΔG*를 나타내면 다음과 같다.
:
:
이는 과냉각도가 클수록 상 변태가 촉진되고, 임계 반지름과 에너지가 작아짐을 의미한다. 불균일 핵 생성은 불순물, 용기 벽 등과의 경계면에서 발생하며, 균일 핵 생성보다 낮은 에너지로 핵 생성이 일어난다. 이는 젖음성과 관련이 깊으며, 접촉각이 0°에 가까울수록 핵 생성을 촉진한다. 불균일 핵 생성에 필요한 자유 에너지는 다음과 같다.
::
여기서,
불균일 핵 생성은 에너지 장벽이 낮아 필요한 과냉각도도 작다.
2. 1. 컴퓨터 시뮬레이션 연구
현대 컴퓨터는 간단한 모델에 대해 핵 생성 속도를 정확하게 계산할 수 있다. 이러한 계산 결과는 고전 핵 생성 이론과 비교되어 왔다. 예를 들어, 열 운동하는 완벽하게 단단한 구를 가정한 하드 구 모델은 콜로이드의 간단한 모델로 볼 수 있는데, 이 모델에 대한 컴퓨터 시뮬레이션 결과, 고전 이론은 매우 합리적인 근사 이론임이 밝혀졌다.[8]간단한 모델의 경우 고전 핵 생성 이론이 잘 작동하지만, 복잡한 분자가 용액에서 결정화되는 경우에도 동일하게 잘 작동하는지는 알 수 없다.
2. 2. 스피노달 영역
위상 전이 과정은 스피노달 분해 관점에서 설명할 수 있다. 스피노달 분해에서는 상 분리가 시스템이 조성의 작은 섭동에도 에너지가 감소하여 섭동이 자발적으로 성장하는 불안정한 영역에 진입할 때까지 지연된다.[9] 위상 그림의 이 영역을 스피노달 영역이라고 하며, 상 분리 과정은 스피노달 분해라고 하며 칸-힐리어드 방정식에 의해 지배될 수 있다.3. 결정 핵 생성
결정 핵 생성은 액체나 용액이 과냉각 또는 과포화 상태가 되면 일어날 수 있지만, 상당한 에너지 장벽 때문에 지연될 수 있다. 핵 생성은 일반적으로 확률적 (무작위) 과정이므로, 두 개의 동일한 시스템에서도 서로 다른 시간에 발생한다.[17][6][1][2]
일반적인 메커니즘은 오른쪽 애니메이션과 같다. 기존 상(흰색)에서 새로운 상(빨간색)의 미세한 변동이 나타나고 지속적으로 붕괴하다가, 새로운 빨간색 상의 유난히 큰 변동이 너무 커져서 성장하는 것이 유리해진다. 그러면 이 빨간색 상의 핵이 성장하여 시스템을 이 상으로 변환한다. 이러한 동작을 설명하는 표준 이론은 고전 핵 생성 이론이라고 한다. 그러나 이 이론은 아르곤과 같은 모델 물질에 대해서도 증기에서 액체로의 핵 생성에 대한 실험 결과를 설명하는 데 실패한다.[3]
새로운 열역학적 상의 핵 생성(예: 0°C 이하의 물에서 얼음 형성)의 경우, 핵 생성이 ''발생하지 않았을'' 확률은 지수 감소를 겪어야 한다. 이는 과냉각된 작은 물방울에서 얼음의 핵 생성에서 볼 수 있다.[4] 고전 핵 생성 이론은 핵 생성 속도와 온도와 같은 변수에 따라 어떻게 변하는지 추정하기 위해 널리 사용되는 근사 이론이다. 이 이론은 과포화 상태일 때 핵 생성을 기다려야 하는 시간이 매우 빠르게 감소한다는 것을 정확하게 예측한다.[17][6][2]
핵 생성 후 성장을 통해 형성되는 것은 액체와 결정과 같은 새로운 상만이 아니다. 알츠하이머병과 관련된 아밀로이드 응집체와 같은 물체를 형성하는 자기 조립 과정 또한 핵 생성으로 시작한다.[5] 세포 내의 미세소관과 같은 에너지 소모적인 자기 조직화 시스템도 미세소관 핵 생성과 성장을 보인다.
액체와 용액은 여러 경우에 결정보다 열역학적으로 훨씬 덜 안정적인 조건까지 냉각 또는 농축될 수 있지만, 수분, 수 시간, 수 주 또는 그 이상 동안 결정이 형성되지 않을 수 있다. 이 과정을 과냉각이라고 한다. 결정 핵 생성은 상당한 장벽에 의해 방해를 받는다. 이로 인해 고고도 저온 구름에는 0°C 이하의 소량의 액체 물방울이 다수 포함될 수 있다.
작은 부피에서는 하나의 핵 생성 사건만으로도 결정화가 일어날 수 있으며, 핵 생성 시간은 확률적으로 분포한다.
3. 1. 일차 핵 생성과 이차 핵 생성
일차 핵 생성은 새로운 상이 처음 형성되는 것을 의미하며, 이차 핵 생성은 이미 존재하는 결정으로부터 새로운 결정 핵이 생성되는 것을 의미한다.[14] 특히 결정화 연구에서 이차 핵 생성은 중요할 수 있다.첫 번째 결정이 나타나기까지의 시간을 일차 핵 생성 시간이라고 하며, 이는 이차 핵 생성 시간과 구별하기 위함이다. 일차 핵 생성은 최초로 형성되는 핵을 설명하며, 이차 핵 생성은 이미 존재하는 결정으로부터 생성된 결정 핵을 의미한다.[14] 일차 핵 생성은 새로운 상이 이미 존재할 필요가 없는 상전이를 설명하는데, 이는 해당 상의 최초 핵이 형성되기 때문이거나, 새로운 상의 기존 조각과 멀리 떨어진 곳에서 핵이 형성되기 때문이다.
예를 들어, 결정이 용액에 있고 시스템이 전단력을 받는 경우, 작은 결정 핵이 성장하는 결정에서 떨어져 나가 시스템 내 결정의 수를 증가시킬 수 있다. 따라서 일차 핵 생성과 이차 핵 생성 모두 시스템 내 결정의 수를 증가시키지만, 그 메커니즘은 매우 다르며 이차 핵 생성은 이미 존재하는 결정에 의존한다.[14]
3. 2. 작은 부피에서의 결정화 관찰
작은 부피, 예를 들어 작은 물방울에서는 결정화를 위해 하나의 핵 생성 이벤트만 필요할 수 있다. 이러한 작은 부피에서 첫 번째 결정이 나타날 때까지의 시간은 일반적으로 핵 생성 시간으로 정의된다. 더 큰 부피에서는 많은 핵 생성 이벤트가 발생한다. 탄산 칼슘 결정 핵 생성은 과포화도뿐만 아니라 수용액 내 칼슘 대 탄산 이온의 비율에도 달려 있다.[10]
결정의 핵 생성은 일반적으로 실험적으로 연구하기 어렵다. 핵은 현미경적이며, 따라서 직접 관찰하기에는 너무 작다. 큰 액체 부피에서는 일반적으로 여러 개의 핵 생성 이벤트가 발생하며, 핵 생성 효과를 핵 생성된 상의 성장 효과와 구별하기 어렵다. 이러한 문제는 작은 방울을 사용하여 극복할 수 있다. 핵 생성은 확률적이므로, 핵 생성 이벤트에 대한 통계를 얻기 위해 많은 방울이 필요하다.
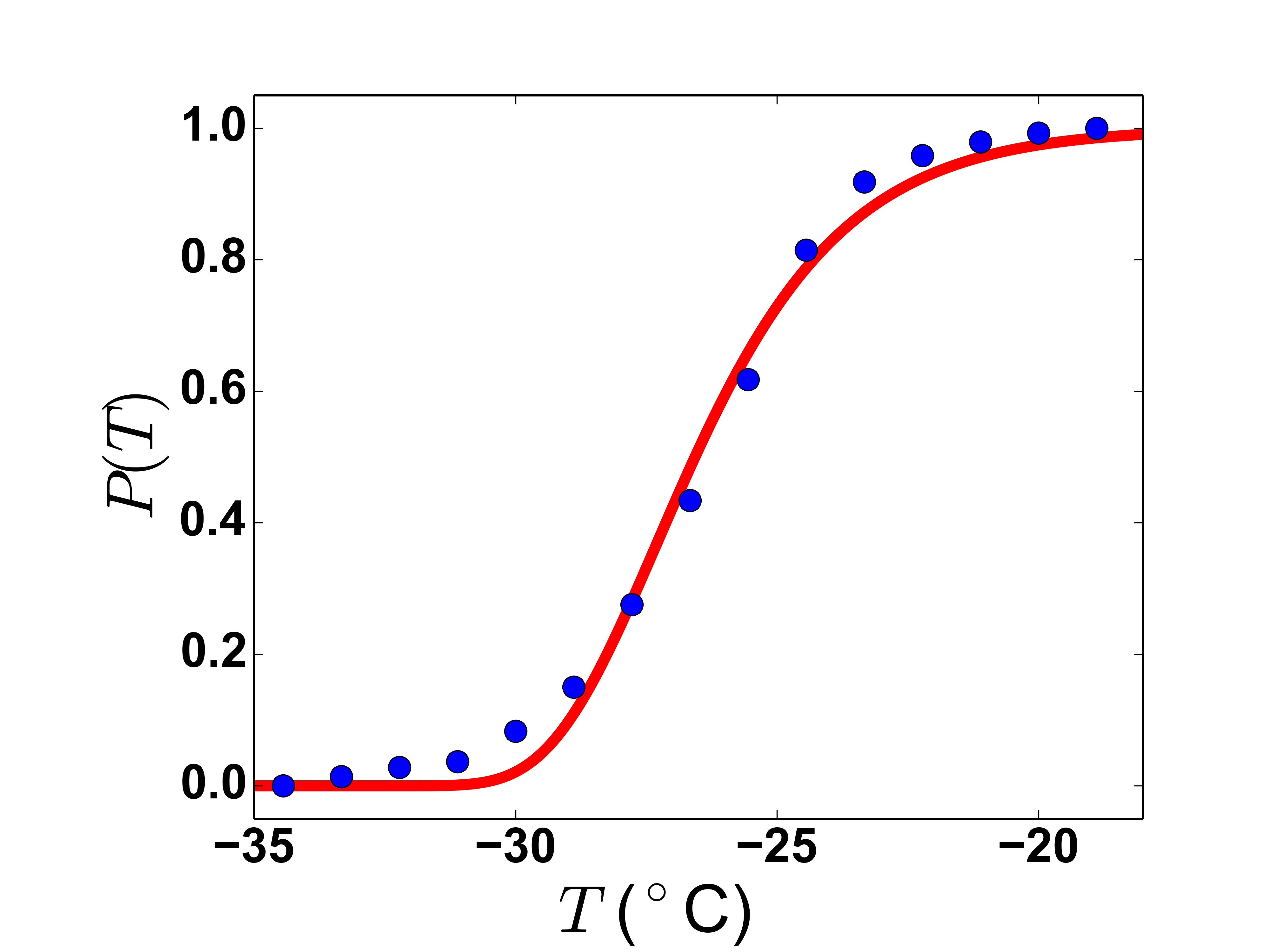
오른쪽에는 핵 생성 데이터의 예가 나와 있다. 이것은 과냉각 액체 주석의 작은 방울에서 결정 상의 일정한 온도 및 과포화에서의 핵 생성에 대한 것으로, 파운드와 라 메르의 연구이다.[15]
핵 생성은 다른 방울에서 다른 시간에 발생하므로, 분율은 특정 시간에 한 번에 0으로 급격히 떨어지는 단순한 계단 함수가 아니다. 빨간색 곡선은 곰퍼츠 함수를 데이터에 맞춘 것이다. 이는 파운드와 라 메르가 데이터를 모델링하기 위해 사용한 모델의 단순화된 버전이다.[15] 이 모델은 액체 주석 방울 내의 불순물 입자로 인해 핵 생성이 발생한다고 가정하며, 모든 불순물 입자가 동일한 속도로 핵 생성을 생성한다는 단순화된 가정을 한다. 또한 이러한 입자가 액체 주석 방울 사이에 푸아송 분포되어 있다고 가정한다. 맞춤 값은 단일 불순물 입자로 인한 핵 생성 속도가 0.02/s이고, 방울당 평균 불순물 입자 수는 1.2개이다. 주석 방울의 약 30%는 결코 얼지 않는다는 점에 유의해야 한다. 데이터는 약 0.3의 분율에서 평탄해진다. 모델 내에서 이는 우연히 이러한 방울에는 불순물 입자가 하나도 없어서 이종 핵 생성이 없기 때문이라고 가정한다. 균일 핵 생성은 이 실험의 시간 척도에서는 무시할 수 있다고 가정한다. 나머지 방울은 확률적인 방식으로 얼며, 하나의 불순물 입자가 있는 경우 0.02/s, 두 개의 불순물 입자가 있는 경우 0.04/s 등의 속도로 얼게 된다.
이 데이터는 단지 하나의 예일 뿐이지만, 이종 핵 생성에 대한 명확한 증거가 있고 핵 생성이 명확하게 확률적이라는 점에서 결정의 핵 생성의 일반적인 특징을 보여준다.
3. 3. 얼음 핵 생성

작은 물방울이 어는 것은 특히 구름의 형성과 역학에서 중요한 과정이다.[17] 물은 (대기압에서) 0°C에서 얼지 않고, 물의 부피가 감소하고 물에 녹아있는 화학 물질의 농도가 증가함에 따라 어는점이 낮아지는 경향을 보인다.[17] 따라서 구름에서 발견되는 작은 물방울은 0°C 이하에서도 액체 상태로 남아있을 수 있다.
작은 물방울의 어는점에 대한 실험 데이터는 위 그림과 같다. 이 그림은 온도의 함수에 따라, 아직 얼지 않고 액체 상태로 남아있는 물방울의 비율을 보여준다. 어는점 중 가장 높은 온도는 -19°C에 가깝고, 마지막 물방울이 어는 온도는 거의 -35°C이다.[16]
4. 핵 생성의 예시
핵 생성의 예시는 다음과 같다.
- 고층 대기에서는 구름 응결핵의 공급량이 적어 인공 강우와 같은 기상학에서 중요한 개념으로 다루어진다.[22]
- 나노 입자의 결정화 과정과 관련이 있으며, 기상 공정에서의 합성에 중요하다.
- 천연, 인공을 불문하고 균질한 용액에서의 결정화 과정은 핵 생성으로 시작한다.
- 아세트산 나트륨을 사용한 에코 카이로에서는 금속판을 구부릴 때의 캐비테이션을 핵 생성 중심으로 이용하여 결정화를 일으킨다.
- -
- 탄산수가 상압 하에 놓이면 즉시 핵 생성에 의해 이산화 탄소 거품이 발생한다. 핵 생성은 계면의 존재에 의해 촉진되며, 끓임돌이나 락 캔디 등이 그 예시이다. 멘토스 가이저(멘토스 콜라)는 극적인 사례이다.
- 샴페인 스틱에는 이를 응용한 제품이 있으며, 표면적이나 각이 많은 형상에 의해 탄산을 효율적으로 배출할 수 있다.
- 액체의 압력이 감소하는 경우, 끓는점이 저하되어 과열 상태가 되어 액체의 벌크 부분에서 핵 생성이 일어날 수 있다. 하지만 이보다, 젖음성이 낮은 용기의 표면의 균열 등에 작은 기포가 부착되어 여기가 핵 생성 부위가 되는 경우가 많다. 이 때문에 과열을 일으키기 위해서는 용기의 표면이 매끄럽고 젖기 쉬우며, 액체가 탈기되어 있을 필요가 있다.
- 막 비등이나 라이덴프로스트 효과는 벌크 부분에서의 균질 핵 생성에 의해 일어나는 현상이다.
- 중합체[23]·합금·세라믹스 등에서 중요한 개념이다.
- 화학·생물 물리학에서는, 중합 과정의 중간체로서의 다량체 형성에 이 단어가 사용된다. 이는 결정화나 아밀로이드 형성을 설명하는 모델로서 유용하다.
- 분자 생물학에서는 단량체의 작은 클러스터로부터 급속한 중합이 일어나, 폴리머 구조가 생성될 때의 용어로 사용된다. 예를 들어 2분자의 액틴 결합은 느슨하지만, 3분자가 결합함으로써 안정화된다. 이 삼량체에 추가로 분자가 결합하여 핵 생성 부위가 생긴다. 이는 미세 섬유의 중합 과정에서 율속 단계가 된다.
4. 1. 유체(기체 및 액체)의 핵 생성
구름은 습한 공기가 냉각될 때 (종종 공기가 상승하기 때문에) 과포화된 공기로부터 많은 작은 물방울이 핵 생성되면서 형성된다.[17] 공기가 운반할 수 있는 수증기의 양은 온도가 낮아짐에 따라 감소한다. 과도한 증기는 핵 생성되기 시작하여 작은 물방울을 형성하며, 이 물방울이 구름을 형성한다. 액체 물방울의 핵 생성은 불균일하며, 구름 응결 핵이라고 하는 입자에서 발생한다. 구름 씨앗 파종은 구름의 형성을 빠르게 하기 위해 인공 응결 핵을 추가하는 과정이다.탄산 액체의 용기로부터 압력이 해제된 직후 이산화 탄소 거품이 핵 생성된다.
끓음에서 핵 생성은 압력이 감소하여 액체가 압력에 따라 달라지는 끓는점과 관련하여 과열될 경우 벌크 액체에서 발생할 수 있다. 더 자주, 핵 생성은 가열 표면, 즉 핵 생성 지점에서 발생한다. 일반적으로 핵 생성 지점은 자유 가스-액체 표면이 유지되는 작은 틈새 또는 가열 표면의 습윤 특성이 낮은 지점이다. 액체를 탈기하고 가열 표면이 깨끗하고 매끄럽고 액체에 의해 잘 습윤된 재료로 만들어지면 액체의 상당한 과열을 달성할 수 있다.
일부 샴페인 스틱은 높은 표면적과 날카로운 모서리를 통해 많은 핵 생성 지점을 제공하여 거품의 방출을 가속화하고 와인에서 탄산을 제거함으로써 작동한다.
다이어트 콜라와 멘토스 분출은 또 다른 예를 제공한다. 멘토스 사탕 표면은 탄산 음료에서 이산화 탄소 거품 형성을 위한 핵 생성 지점을 제공한다.
거품 상자와 안개 상자는 각각 거품과 물방울의 핵 생성에 의존한다.
4. 2. 결정 핵 생성
고전 핵 생성 이론을 포함한 기존 이론은 결정 핵생성 속도가 시간에 의존하지 않는 정상 상태 핵생성을 잘 설명하지만, 초기 비정상 상태 과도 핵생성[11]과 잠복기는 과학계의 더 많은 관심을 필요로 한다. 결정 핵생성 전에 과냉각 액체의 화학적 정렬이 핵생성의 에너지 장벽을 감소시키는 것으로 제안되었다.[12][13]
작은 물방울이 얼음으로 어는 것은 특히 구름의 형성 및 역학에서 중요한 과정이다.[17] 물은 (대기압에서) 0°C에서 얼지 않고, 물의 부피가 감소하고 물에 녹아있는 화학 물질의 농도가 증가함에 따라 온도가 낮아지는 경향을 보인다.[17]
따라서 구름에서 발견되는 작은 물방울은 0°C 이하에서도 액체 상태로 남아있을 수 있다.
작은 물방울의 어는점에 대한 실험 데이터는 오른쪽 그림과 같다. 이 그림은 온도의 함수로, 아직 얼지 않고 액체 상태로 남아있는 물방울의 큰 집합의 비율을 보여준다. 어는점 중 가장 높은 온도는 -19°C에 가깝고, 마지막 물방울이 어는 온도는 거의 -35°C이다.[16]
- 지구에서 가장 흔한 결정화 과정은 얼음의 형성이다. 액체 물은 이미 얼음이 존재하지 않는 한 0°C에서 얼지 않으며, 얼음을 핵 생성하고 물을 얼리려면 0°C 이하로 상당히 냉각해야 한다. 예를 들어, 매우 순수한 물의 작은 방울은 -30°C 이하까지 액체 상태로 유지될 수 있다.[17]
- 우리가 만들고 사용하는 많은 재료는 결정성이지만 액체로 만들어진다. 예를 들어, 틀에 주조된 액체 철로 만들어진 결정성 철이 그렇다. 따라서 결정성 재료의 핵 생성은 산업에서 널리 연구되고 있다.[18] 이는 촉매 역할을 할 수 있는 금속 초미세 분말의 제조와 같은 경우에 화학 산업에서 널리 사용된다. 예를 들어, TiO2 나노입자에 증착된 백금은 물의 분해를 촉매한다.[19] 이는 반도체 산업에서 중요한 요소인데, 반도체의 밴드 갭 에너지가 나노클러스터의 크기에 의해 영향을 받기 때문이다.[20]
- 나노 입자의 결정화 과정과 관련이 있으며[22], 기상 공정에서의 합성에 중요하다.
- 천연, 인공을 불문하고 균질한 용액에서의 결정화 과정은 핵 생성으로 시작한다.
4. 3. 고체 내 핵 생성
결정질이 아닌 유리의 결정 핵 생성 및 성장은 물론, 결정 내 불순물 석출물의 핵 생성 및 성장, 즉 결정립계에서 그리고 결정립계 사이에 핵 생성 및 성장은 산업적으로 매우 중요하다. 예를 들어 금속에서 고체 상태의 핵 생성 및 석출물 성장은 연성과 같은 기계적 특성을 변경하는 데 중요한 역할을 하며, 반도체에서는 집적 회로 제조 중 불순물을 포획하는 데 중요한 역할을 한다.[21]5. 핵 생성 메커니즘 (일본어판 번역 및 추가)
핵 생성 메커니즘은 크게 균일 핵 생성과 불균일 핵 생성으로 나눌 수 있다.
균일 핵 생성 (Homogeneous Nucleation)균일 핵 생성은 불순물이 없는 균일한 용액에서 핵이 자발적으로 형성되는 현상으로, 일어나기 어렵다.[24] 과냉각 상태에서 과포화는 핵 생성의 구동력이 된다. 형성된 고체 내 압력이 액체 압력보다 작으면 액체와 고체 사이의 단위 부피당 자유 에너지 변화()가 발생한다. 이 변화량은 부피 증가에 따른 자유 에너지 획득과 새로운 표면의 표면 에너지에 의한 에너지 손실의 차이로 결정되며, 전체 자유 에너지 변화()가 음수일 때 핵 생성이 일어난다.
핵이 너무 작으면(불안정 핵 또는 어린 핵 "embryo") 부피 증가에 따른 에너지가 표면 에너지를 상회할 수 없어 핵 생성이 촉진되지 않는다. 그러나 핵의 반지름이 임계 반지름()을 넘으면 핵 생성이 촉진된다.[25] 임계 반지름보다 큰 클러스터는 자유 에너지를 획득하므로, 이후 성장은 확산에 의해 제한된다.[26]
과냉각도()가 클수록 상 변태가 촉진되고, 임계 반지름과 에너지가 작아진다.
불균일 핵 생성 (Heterogeneous Nucleation)불균일 핵 생성은 표면에서 핵이 생성되는 현상으로, 균일 핵 생성보다 훨씬 일반적이다.[1][17] 과냉각된 물방울에서 불순물이 있으면 -5°C 부근에서 얼지만, 불순물이 없으면 약 -35°C 이하에서 언다.[1][4][17]
고전 핵 생성 이론에서 핵 생성은 깁스 자유 에너지의 장벽 ΔG* 높이에 따라 지수적으로 느려진다. 균일 핵 생성은 핵이 구형으로 근사화되지만, 불균일 핵 생성은 계면 면적이 구형보다 작아 핵 생성 장벽이 낮아져 핵 생성이 가속화된다.[6] 불균일 핵 생성은 불순물, 용기 벽 등 경계면에서 발생하며, 젖음성과 관련이 깊다. 접촉각이 0°에 가까울수록 핵 생성이 잘 일어난다.
불균일 핵 생성은 다음과 같은 다양한 현상과 관련 있다.
- 기상학적 현상 (인공 강우 참고)
- 나노 입자 결정화[22] 및 기상 공정 합성
- 결정화 과정
- 아세트산 나트륨 사용 에코 카이로에서 금속판을 구부릴 때 캐비테이션 이용 결정화
- 탄산수가 상압 하에 놓일 때 이산화 탄소 거품 발생 (끓임돌, 락 캔디, 멘토스 가이저 등)
- 샴페인 스테어러
- 액체 압력 감소 시 끓는점 저하로 과열 상태에서 액체 벌크 부분 핵 생성
- 막 비등, 라이덴프로스트 효과
- 중합체[23], 합금, 세라믹스 등
- 화학, 생물 물리학에서 중합 과정
- 분자 생물학에서 폴리머 구조 생성
핵 생성 속도 (Nucleation Rate)핵 생성 속도 ''I''는 임계 클러스터 평균 수와 클러스터 확산 속도에 의존한다.[24]
::
(n*: 임계 클러스터 평균 수, β: 클러스터 확산 속도)
온도가 너무 낮으면 확산 속도가 낮아 핵 생성 속도가 느려지고, 온도가 너무 높으면 분자가 핵에서 빠져나가 핵 생성 속도가 느려진다.[27]
5. 1. 균질 핵 생성 (일본어판 번역)
균질 핵 생성은 불순물이 없는 균일한 용액에서 핵이 자발적으로 형성되는 현상으로, 일어나기 어렵다.[24] 형성된 핵은 새로운 상과의 경계면을 제공하게 된다.액체 온도가 불균질 핵 생성 온도(융점)보다 낮지만, 균질 핵 생성 온도(순수 물질의 응고점)보다 높은 상태를 과냉각이라고 한다. 이는 비정질 고체와 같은 준안정 상태의 구조를 만들 때 유용하지만, 공정 화학이나 주조에서는 바람직하지 않은 상태이다. 과냉각으로 인해 과포화 상태가 생겨 핵 생성의 구동력이 된다. 이는 형성된 고체 내의 압력이 액체의 압력보다 작을 때 일어나 액체와 고체 사이의 단위 부피당 자유 에너지 의 변화를 가져온다. 이 변화량은 부피가 증가함에 따른 자유 에너지 획득과 새로운 표면의 표면 에너지에 의한 에너지 손실의 차이로 결정된다. 전체적인 자유 에너지 변화 가 음수가 되었을 때 핵 생성이 일어난다.
핵이 너무 작으면 (불안정 핵, 또는 어린 핵 "embryo"), 부피 증가에 따른 에너지가 표면 에너지를 상회할 수 없어 핵 생성이 촉진되지 않는다. 핵의 크기는 그 반지름으로 나타내는데, 이것이 임계 반지름 r=r*를 넘으면 핵 생성이 촉진되게 된다.
클러스터 형성 시 단위 부피당 -Gv J (여기서 Gv는 음수)의 에너지를 획득하지만, 새롭게 생성되는 단위 면적당 σ의 에너지를 손실한다고 할 때, 반지름 r의 클러스터 형성에 필요한 에너지는 다음과 같다.[24]
:
첫 번째 항은 부피 증가에 따른 에너지 획득, 두 번째 항은 새로운 표면의 표면 장력()에 의한 에너지 손실을 나타낸다.[25]
이 클러스터에 분자를 더하려면 에너지가 필요하다(이기 때문). 하지만, 반지름이 임계 반지름
:
에 도달하면 이 된다.[25]
임계 반지름보다 큰 클러스터에 분자를 첨가하는 경우에는 자유 에너지를 획득하므로, 이 이후의 클러스터 성장은 핵 생성이 아니라 확산에 의해 제한되게 된다.[26]
임계 반지름의 클러스터 생성에 필요한 자유 에너지는
::
가 되며, 이 점에서 는 최대, 이 된다.[25]
를 평형 온도, 융해열()의 식으로 나타내면,
:
융점에서의 평형점()에서 이 식을 평가하면,
:
를 이전 식에 대입하면,
:
더욱이, 과냉각도 이므로,
:
가 된다. 일단 이 점을 넘으면 클러스터의 성장에 따른 새로운 표면의 형성에 충분한 에너지가 공급되게 된다. 최종적으로 새로운 열역학적 평형에 도달할 때까지 핵은 성장해 간다.
・ 를 를 사용하여 나타내면,
:
:
이는, 과냉각도가 클수록 상 변태가 촉진되고, 임계 반지름·에너지가 작아진다는 것을 의미한다.
5. 2. 불균일 핵 생성 (일본어판 번역)
불균일 핵 생성은 표면에서 핵이 생성되는 현상으로, 균일 핵 생성보다 훨씬 더 일반적으로 일어난다.[1][17] 예를 들어 과냉각된 물방울에서 얼음 핵이 생성될 때, 불순물을 제거하면 약 -35°C 이하에서 얼지만,[1][4][17] 불순물이 있으면 -5°C 또는 그 이상에서 얼 수 있다.[17]고전 핵 생성 이론에 따르면, 핵 생성은 깁스 자유 에너지의 장벽 ΔG*의 높이에 따라 지수적으로 느려진다. 이 장벽은 성장하는 핵의 표면을 형성하는 데 드는 자유 에너지 손실 때문에 발생한다. 균일 핵 생성에서는 핵이 구형으로 근사화되지만, 표면의 액체 방울은 완전한 구형이 아니므로 계면 면적이 구형보다 작다. 이로 인해 핵 생성 장벽이 낮아져 핵 생성이 가속화된다.[6]
핵 생성은 액체 표면에서도 시작될 수 있다. 예를 들어, 금 나노 입자의 컴퓨터 시뮬레이션에서 결정상이 액체-금 표면에서 핵 생성되는 경우가 있음을 보여준다.[7]
일반적으로 불균일 핵 생성은 불순물, 용기 벽 등과의 경계면에서 발생하며, 균일 핵 생성보다 낮은 에너지로 핵 생성이 가능하다. 이러한 곳에서는 표면 에너지가 낮아져 에너지 장벽이 낮아지기 때문에 핵 생성이 촉진된다. 이는 젖음성과 관련이 깊으며, 접촉각이 0°에 가까울수록 핵 생성이 더 잘 일어난다.
불균일 핵 생성에 필요한 자유 에너지는 균일 핵 생성 시의 에너지와 접촉각 함수의 곱으로 나타낼 수 있다.
::
여기서,
에너지 장벽이 낮아지므로 필요한 과냉도도 작아진다. 접촉각은 클러스터 형상에 영향을 주어 임계 반경은 변하지 않지만, 클러스터 부피는 작아도 된다.
불균일 핵 생성에서는 벽과 유체가 분리되면서 방출되는 에너지도 중요하다. 예를 들어 페트병 표면에 CO2 거품이 생길 때, 물과 병의 접촉면이 분리되면서 방출되는 에너지는 거품과 물, 거품과 병의 접촉면을 형성하는 에너지가 된다. 이 현상은 침전 입자의 결정립계 형성에도 나타나며, 금속의 시효를 방해하기도 한다.
불균일 핵 생성은 다음과 같은 다양한 현상과 관련이 있다.
- 고층 대기에서 구름 응결핵이 적을 때와 같은 기상학적 현상 (인공 강우 참고)
- 나노 입자의 결정화 과정[22] 및 기상 공정에서의 합성
- 천연, 인공 여부와 관계없이 균질한 용액에서의 결정화 과정
- 아세트산 나트륨을 사용한 에코 카이로에서 금속판을 구부릴 때의 캐비테이션을 이용한 결정화
- 탄산수가 상압 하에 놓일 때 이산화 탄소 거품 발생 (끓임돌, 락 캔디, 멘토스 가이저 등)
- 샴페인 스테어러
- 액체의 압력 감소 시 끓는점 저하로 인한 과열 상태에서 액체 벌크 부분의 핵 생성 (젖음성이 낮은 용기 표면의 균열에 작은 기포가 부착되어 핵 생성 부위가 되는 경우가 많음)
- 막 비등, 라이덴프로스트 효과
- 중합체[23], 합금, 세라믹스 등
- 화학, 생물 물리학에서 중합 과정의 중간체로서 다량체 형성
- 분자 생물학에서 단량체의 작은 클러스터로부터 급속한 중합으로 폴리머 구조 생성 (예: 액틴 결합)
5. 3. 핵 생성 속도 (일본어판 번역)
핵 생성 속도 ''I''는 임계 클러스터의 평균 수 ''n''*와 클러스터의 확산 속도 에 의존하며, 다음과 같이 표현된다.[24]::
''n''*는 다음과 같이 주어진다.
::
여기서,
- Δ''G''* : 임계 반지름에 해당하는 임계 자유 에너지
- ''N'' : 단위 부피당 잠재적 핵 생성 부위의 수
- ''kB'' : 볼츠만 상수
일정 크기에 도달한 클러스터 수는 계의 전체 분자 수, 클러스터 생성에 필요한 자유 에너지, 온도의 함수가 된다. 클러스터 수는 온도와 함께 증가한다.
임계 핵에 새로운 원자가 더해질 확률은 Volmer-Weber 이론에 따르면 다음과 같다.[25]
::
여기서 ''A''는 분자가 결합하는 표면의 형상, 입자의 진동 주파수에 의존하는 계수이고, ''Q''는 분자의 이동에 필요한 활성화 에너지이다.
이를 통해 핵 생성 부위에서의 확산을 고려할 수 있다. 하지만 이 이론의 문제는 임계 반지름 이상의 클러스터 형성을 무시하고, 클러스터의 크기 분포가 일정하다고 가정한다는 것이다.[26]
핵 생성 속도는 다음과 같이 표현된다.
::
여기서,
- γ:표면 장력
- Δ''Hs'':단위 부피당 엔탈피
- ''Tm'':융점
- θ:접촉각
온도가 너무 낮으면 확산 속도가 낮아 핵 생성 부위에 도달하는 입자도 적어지고 핵 생성 속도는 느려진다. 그러나 온도가 너무 높으면 분자가 핵에서 빠져나가고, 역시 핵 생성 속도는 느려진다.[27]
정상 상태에서의 핵 형성에 필요한 시간 는 다음과 같이 표현된다.
::
여기서 ''a''는 평균 입자 직경이다.
6. 현대적 이론 (일본어판 번역)
현대 컴퓨터는 간단한 모델에 대해 정확한 핵 생성 속도를 계산할 수 있을 정도로 발전했다. 예를 들어, 하드 구(hard sphere) 모델에서 결정상 핵 생성의 경우, 고전 이론은 꽤 합리적인 근사 이론으로 평가받는다.[8] 그러나 복잡한 분자가 용액에서 결정화되는 경우에도 고전 이론이 잘 작동하는지는 확실하지 않다.
지난 50년간 축적된 실험 결과를 바탕으로 고전 핵 생성 이론(CNT)의 문제점을 보완하기 위해 새로운 핵 생성 모델들이 개발되고 있다.
수정된 이론
::
여기서,
이 이론에 따르면, 핵 생성 속도는 다음과 같다.
::
여기서 ''I''는 고전 이론으로 계산된 핵 생성 속도이다. 계수는 단량체의 표면 에너지를 나타낸다.
::
여기서
- τ・''kn'' ・qo는 임의의 계수
- ''V''는 계의 부피
계수 ''k''n은 클러스터의 표면 에너지와 거시적인 액적과의 차이를 반영한다. 두 번째와 세 번째 항은 액적의 자유 에너지에 대한 병진, 진동, 회전의 자유도를 고려한다. 네 번째 항은 준안정 상태의 완화를 고려한 것이다.
이러한 수정 이론들은 모델의 적합성을 향상시켰지만, 다양한 상황에 적용 가능한 모델을 개발하기 위한 연구는 계속 진행 중이다.
6. 1. 고전 이론의 문제점 (일본어판 번역)
고전 핵 생성 이론에는 몇 가지 가정이 있다. 예를 들어, 미세한 핵을 열역학적 평형 특성인 계면 장력 σ를 사용하여 자유 에너지를 추정하는, 잘 정의된 표면을 가진 거시적 액적으로 취급한다. 그러나 핵은 불과 분자 10개 정도의 크기일 수 있는데, 이렇게 작은 것을 부피와 표면으로 취급할 수 있는지는 항상 명확하지 않다. 또한 핵 생성은 본질적으로 열역학적 평형에서 벗어나는 현상이므로, 평형 특성을 사용하여 그 속도를 추정할 수 있는지도 항상 분명하지 않다.[8]하지만 현대 컴퓨터는 간단한 모델에 대해 본질적으로 정확한 핵 생성 속도를 계산할 수 있을 정도로 강력하다. 이 계산 결과는 고전 이론과 비교되어 왔다. 예를 들어, 하드 구 모델에서 결정상 핵 생성의 경우를 살펴보자. 이는 열 운동하는 완벽하게 단단한 구의 모델이며, 일부 콜로이드의 간단한 모델이다. 하드 구의 결정화에 대해 고전 이론은 매우 합리적인 근사 이론이다.[8] 따라서 연구 가능한 간단한 모델의 경우 고전 핵 생성 이론은 상당히 잘 작동하지만, 복잡한 분자가 용액에서 결정화되는 경우에도 동일하게 잘 작동하는지는 알 수 없다.
고전적 핵 생성 이론(CNT)은 분자의 거시적 성질을 미시적인 움직임에 적용할 수 있다고 전제하지만, 이는 분자 10개 정도의 작은 클러스터의 밀도, 표면 장력, 포화 증기압 등을 다룰 때 무너진다. 또한 핵 주변에서의 입자 상호 작용도 고려되지 않아 실제 문제에 응용이 제한된다.
6. 2. 수정된 이론 (일본어판 번역)
지난 50년간 축적된 실험 결과를 바탕으로 새로운 핵 생성 모델들이 개발되고 있다. 그 중 하나는 자기-일관성 이론(Self-consistent theory, SCT)이다.[29] 이 이론에 따르면, 필요한 임계 자유 에너지()는 다음과 같이 표현된다.::
여기서,
이 이론에 따르면, 핵 생성 속도는 다음과 같다.
::
여기서 ''I''는 고전 이론으로 계산된 핵 생성 속도이다. 계수는 단량체의 표면 에너지를 나타낸다.
또 다른 현대적 이론으로는 딜만-메이어(Dillmann-Meier) 이론이 있다. 이 이론에 따르면 자유 에너지 변화는 다음과 같이 나타난다.
::
여기서
- τ・''kn'' ・qo는 임의의 계수
- ''V''는 계의 부피
계수 ''k''n은 클러스터의 표면 에너지와 거시적인 액적과의 차이를 반영한다. 두 번째와 세 번째 항은 액적의 자유 에너지에 대한 병진, 진동, 회전의 자유도를 고려한다. 네 번째 항은 준안정 상태의 완화를 고려한 것이다. 많은 연구자들이 이 방정식을 통해 클러스터 형성 에너지에 대한 중요한 통찰력을 얻을 수 있다고 생각한다.[30]
이러한 수정으로 모델의 적합성은 향상되었지만, 다양한 상황에 대응할 수 있는 모델을 만들기 위한 연구는 계속되고 있다.
7. 핵 생성 연구의 응용 (일본어판 번역 및 수정)
핵 생성 현상은 다양한 과학 기술 분야에서 주목받고 있다. 화학 공업에서는 촉매로 사용되는 금속 초분산 분말을 만들 때 많이 활용된다. 예를 들어 이산화 타이타늄(TiO₂) 나노 입자에 백금을 결합시킨 촉매는 물에서 수소를 합성하는 데 사용될 수 있다.[31] 반도체 산업에서도 핵 생성은 중요한데, 금속 나노 클러스터의 크기에 따라 갭 폭이 달라지기 때문이다.[32]
8. 실험적 연구 (일본어판 번역)
핵 생성 속도를 실험적으로 구하는 것은 어려운 경우가 있다. 핵 생성을 일으키려면 충분한 과냉각이 필요한데, 그 온도에서는 핵의 성장 속도가 너무 느려서 측정할 수 없는 경우가 있기 때문이다. 이러한 문제에 대해 구스타프 타만(Gustav Tammann)이 개발한 방법이 있다.[33]
이 방법에서는 저온 Tn에서 핵 생성을 일으키고, 고온 Tg에서 결정을 성장시킨다. 조건으로는 Tn에서의 핵 생성 속도가 Tg에서의 속도보다 충분히 빠르고(I(Tn)>> I(Tg)), Tg에서의 성장 속도가 Tn에서의 속도보다 충분히 느려야 한다(U(Tg) >> U(Tn)). 또한, 고온에서는 임계 반경도 커지므로, 가열을 너무 많이 하면 클러스터가 임계 반경에 도달하지 못하고 용해되어 버린다. 따라서 가열은 신중하게 수행해야 한다.
코스터(Koster)는 비정질 금속을 위한 방법을 제안하고 있다.[27] 이 방법은 결정의 크기가 다른 경우에 대해서도 고려하고 있으며, 성장률로부터 언제 결정이 형성되었는지 결정하는 것을 시도하고 있다. 이것은 균일 핵 생성, 불균일 핵 생성 모두에 사용할 수 있다.
참조
[1]
논문
Quantitative Studies of Crystal Nucleation at Constant Supersaturation: Experimental Data and Models
[2]
논문
Classical Becker-Döring cluster equations: Rigorous results on metastability and long-time behaviour
[3]
논문
Homogeneous nucleation and droplet growth in supersaturated argon vapor: The cryogenic nucleation pulse chamber
[4]
논문
Laboratory evidence for volume-dominated nucleation of ice in supercooled water microdroplets
[5]
논문
Modelling amyloid fibril formation kinetics: mechanisms of nucleation and growth
[6]
논문
Nucleation: theory and applications to protein solutions and colloidal suspensions
http://personal.ph.s[...]
[7]
논문
Surface Nucleation in the Freezing of Gold Nanoparticles
[8]
논문
Numerical prediction of absolute crystallization rates in hard-sphere colloids
https://pure.uva.nl/[...]
[9]
논문
A limit of stability in supercooled liquid clusters
[10]
논문
"Controlling CaCO3 particle size with {Ca2+}:{CO32-} ratios in aqueous environments" Crystal Growth & Design
2021-01-28
[11]
논문
Transient nucleation in condensed systems
https://pubs.aip.org[...]
1983-12-15
[12]
논문
Local chemical ordering within the incubation period as a trigger for nanocrystallization of a highly supercooled Ti-based liquid
https://linkinghub.e[...]
2018-10
[13]
논문
Homogeneous crystal nucleation in silicate glasses: A 40 years perspective
https://linkinghub.e[...]
2006-08
[14]
서적
Industrial Crystallization
https://archive.org/[...]
Springer
1976
[15]
논문
Kinetics of Crystalline Nucleus Formation in Supercooled Liquid Tin
[16]
간행물
Photomicrographic Investigation of Spontaneous Freezing Temperatures of Supercooled Water Droplets
https://ntrs.nasa.go[...]
1950
[17]
서적
Microphysics of Clouds and Precipitation
Kluwer
[18]
서적
Nucleation in Condensed Matter: Applications in Materials and Biology
https://archive.org/[...]
Elsevier Science & Technology
2010
[19]
논문
A molecular water-reduction catalyst: Surface derivatization of titania colloids and suspensions with a platinum complex
[20]
논문
Synthesis and characterization of surface-modified colloidal cadmium telluride quantum dots
[21]
논문
Mechanisms of Nucleation and Growth of Nanoparticles in Solution
https://pubs.acs.org[...]
2014-08-13
[22]
문서
Surface nucleation in the freezing of gold nanoparticles.
[23]
서적
Introduction to Polymers
CRC Press, NY
[24]
서적
Homogeneous nucleation theory
https://books.google[...]
Academic Press, NY
[25]
웹사이트
核生成と界面
http://ist.ksc.kwans[...]
[26]
논문
Diffusion-limited growth of precipitate particles
http://scitation.aip[...]
[27]
서적
Nucleation Theory and Applications. Nucleation and Crystallization Kinetics in Silicate Glasses: Theory and Experiment
Wiley-VCH Verlag GmbH & Co.
[28]
논문
A limit of stability in supercooled liquid clusters
[29]
논문
[30]
논문
Nucleation: theory and experiment
[31]
논문
[32]
논문
[33]
논문
본 사이트는 AI가 위키백과와 뉴스 기사,정부 간행물,학술 논문등을 바탕으로 정보를 가공하여 제공하는 백과사전형 서비스입니다.
모든 문서는 AI에 의해 자동 생성되며, CC BY-SA 4.0 라이선스에 따라 이용할 수 있습니다.
하지만, 위키백과나 뉴스 기사 자체에 오류, 부정확한 정보, 또는 가짜 뉴스가 포함될 수 있으며, AI는 이러한 내용을 완벽하게 걸러내지 못할 수 있습니다.
따라서 제공되는 정보에 일부 오류나 편향이 있을 수 있으므로, 중요한 정보는 반드시 다른 출처를 통해 교차 검증하시기 바랍니다.
문의하기 : help@durumis.com