솔라닌
"오늘의AI위키"의 AI를 통해 더욱 풍부하고 폭넓은 지식 경험을 누리세요.
1. 개요
솔라닌은 가지과 식물에서 생성되는 독성 배당체 알칼로이드로, 주로 위장병과 신경병 증상을 유발한다. 섭취 시 메스꺼움, 설사, 구토, 심장 부정맥, 두통 등의 증상이 나타날 수 있으며, 심한 경우 환각, 마비, 사망에 이를 수 있다. 솔라닌은 콜린에스터레이스 저해 작용을 하며, 과다 섭취 시 체중 1kg당 2~5mg에서 독성 증상이 나타나고 3~6mg에서 치명적일 수 있다. 감자는 빛에 노출되면 솔라닌 생성이 증가하므로 어두운 곳에 보관해야 하며, 껍질에 솔라닌이 많이 함유되어 있어 섭취에 주의해야 한다. 솔라닌 중독 시 위 세척 및 흡착제 투여를 통해 치료한다.
솔라닌 중독은 다양한 증상으로 나타날 수 있으며, 섭취량과 개인의 민감도에 따라 증상의 정도가 달라진다. 솔라닌 중독은 위장 장애, 신경계 문제, 심한 경우 사망까지 초래할 수 있다.
솔라닌은 신경에 작용하는 독성을 가지며, 중독되면 용혈 작용을 나타내고, 빈맥, 두통, 구토, 위염, 설사, 식욕 부진 등을 일으킨다. 가역적이기는 하지만, 콜린에스터레이스 저해 작용도 있다. 햄스터를 이용한 동물 실험에서는 기형 발생이 보고되었다.[38]
2. 솔라닌 중독 증상
2. 1. 일반적인 증상
솔라닌의 독성은 주로 위장병, 신경병으로 표출된다. 증상으로는 메스꺼움, 설사, 구토, 위경련, 목구멍 화상, 부정맥, 악몽, 두통, 어지러움, 간지려움, 습진, 갑상선 문제, 관절의 염증 및 통증(관절염과 관절통)이 있다.[40][41][42] 심한 경우 환각, 무감각, 마비, 발열, 황달, 동공 팽창, 저체온증, 사망에 이를 수 있다.[40][41][42]
솔라닌을 과량 섭취하면 사망에 이를 수 있다. 한 연구에 따르면 몸무게 1kg당 2~5mg을 복용하면 독성 증상이 나타나고, 3~6mg/kg을 복용하면 치명적일 수 있다.[43]
증상은 보통 섭취 후 8~12시간 뒤에 나타나지만, 솔라닌 함량이 높은 식품을 섭취한 경우에는 10분 만에 나타날 수도 있다.
솔라닌은 신경에 작용하는 독성을 가지며, 중독되면 용혈 작용을 나타내고, 빈맥, 두통, 구토, 위염, 설사, 식욕 부진 등을 일으킨다. 콜린에스터레이스 저해 작용도 있지만, 가역적이다. 햄스터를 이용한 동물 실험에서는 기형 발생이 보고되었다.[38]
성인의 중독량은 약 200–400 mg이며, 소아의 경우에는 그 약 10분의 1 정도로 추정된다.[37] 저혈압, 신경 증상이 보이면 24시간 입원 관찰이 필요하다. 대량으로 섭취하면 혼수 상태에 빠져 사망하는 경우도 있다.[38]
2. 2. 심각한 증상
솔라닌의 독성은 주로 위장병, 신경병으로 표출된다. 증상으로는 메스꺼움, 설사, 구토, 복통, 목의 타는 듯한 느낌, 심장 부정맥, 악몽, 두통, 현기증, 가려움, 습진, 갑상선 문제, 관절의 염증 및 통증 등이 있다.[40][41][42] 더 심각한 경우, 환각, 감각 상실, 마비, 발열, 황달, 동공 확장, 저체온증, 사망 등이 보고되었다.[2][34][3]
과량의 솔라닌 섭취는 사망에 이를 수 있다. 한 연구에 따르면 체중 1kg당 2~5mg의 용량은 독성 증상을 유발할 수 있으며, 체중 1kg당 3~6mg의 용량은 치명적일 수 있다.[4]
성인의 중독량은 약 200–400 mg이며, 소아의 경우에는 그 약 10분의 1 정도로 추정된다.[37] 저혈압, 신경 증상의 조짐이 있으면 24시간 입원 관찰이 필요하다. 대량으로 섭취한 경우에는 혼수 상태에 빠져 사망하는 경우도 있다.[38]
2. 3. 중독량 및 증상 발현 시간
솔라닌의 독성은 주로 위장병, 신경병으로 나타난다. 증상으로는 메스꺼움, 설사, 구토, 위경련, 목구멍 화상, 부정맥, 악몽, 두통, 현기증, 가려움, 습진, 갑상선 문제, 관절의 염증 및 통증 등이 있다. 더 심각한 경우에는 환각, 감각 상실, 마비, 발열, 황달, 동공 확장, 저체온증, 사망 등이 보고되었다.[40][41][42]
과량의 솔라닌을 섭취하면 사망에 이를 수 있다. 한 연구에 따르면 체중 1kg당 2~5mg의 솔라닌을 섭취하면 독성 증상이 나타날 수 있으며, 체중 1kg당 3~6mg을 섭취하면 치명적일 수 있다.[43]
증상은 일반적으로 섭취 후 8~12시간 후에 나타나지만, 솔라닌 함량이 높은 음식을 먹은 후에는 10분 만에 빠르게 나타날 수도 있다.
솔라닌은 신경에 작용하는 독성을 가지며, 중독되면 용혈 작용을 나타내고, 빈맥, 두통, 구토, 위염, 설사, 식욕 부진 등을 일으킨다. 가역적이기는 하지만, 콜린에스터레이스 저해 작용도 있다. 이 외에도, 햄스터를 이용한 동물 실험에서는 기형 발생이 보고되었다.[38]
성인의 중독량은 약 200–400 mg이며, 소아의 경우에는 그 약 10분의 1 정도로 추정된다.[37] 저혈압, 신경 증상의 조짐이 있으면 24시간 입원 관찰이 필요하다. 대량으로 섭취한 경우에는 혼수 상태에 빠져 사망하는 경우도 있다.[38]
3. 솔라닌 작용 기전
성인의 중독량은 약 200–400 mg이며, 소아의 경우에는 그 약 10분의 1 정도로 추정된다.[37] 저혈압, 신경 증상의 조짐이 있으면 24시간 입원 관찰이 필요하다. 대량으로 섭취한 경우에는 혼수 상태에 빠져 사망하는 경우도 있다.[38]
3. 1. 콜린에스테라아제 억제
가지속의 글리코알칼로이드는 콜린에스테라아제를 억제하고 세포 막을 파괴하며, 선천적 장애를 유발할 수 있다.[44] 한 연구에 따르면 솔라닌의 독성 작용기서(메커니즘)[45]는 이 화학 물질이 미토콘드리아막과 상호작용하여 발생한다. 실험에 따르면 솔라닌에 노출되면 미토콘드리아의 칼륨 통로가 열리고, 막 전위가 증가한다. 이로 인해 K+가 미토콘드리아에서 세포질로 이동하여 세포질의 K2+ 농도를 증가시켜 세포가 파괴되고 세포자살이 일어난다.[46]
솔라닌이 인체에 독성을 유발하는 몇 가지 기전이 제안되었지만, 실제 작용 기전은 아직 잘 알려져 있지 않다. ''가지속'' 글리코알칼로이드는 콜린에스터레이스를 억제하고 세포막을 파괴하며, 기형발생을 유발한다.[7] 솔라닌의 독성 기전은 화학 물질이 미토콘드리아 막과 상호 작용하여 발생하는 것으로 보인다. 솔라닌에 노출되면 미토콘드리아의 칼륨 통로가 열리고, 막 전위가 증가한다. 이로 인해 Ca2+이 미토콘드리아에서 세포질로 이동하게 되고, 세포질 내 Ca2+ 농도 증가는 세포 손상과 세포 자멸사를 유발한다.[8] 감자, 토마토, 가지 등의 글리코알칼로이드는 솔라닌과 마찬가지로 세포막을 통한 나트륨의 능동 수송에 영향을 미친다.[9] 이러한 세포막 파괴는 입안의 작열감, 메스꺼움, 구토, 복부 경련, 설사, 내부 출혈, 위 병변 등 솔라닌 중독의 많은 증상을 유발하는 원인으로 보인다.[10]
신경에 작용하는 독성을 가지며, 중독되면 용혈 작용을 나타내고, 빈맥, 두통, 구토, 위염, 설사, 식욕 부진 등을 일으킨다. 가역적이기는 하지만, 콜린에스터레이스 저해 작용도 있다. 이 외에도, 햄스터를 이용한 동물 실험에서는 기형 발생이 보고되었다.[38]
성인의 중독량은 약 200–400 mg이며, 소아의 경우에는 그 약 10분의 1 정도로 추정된다.[37] 저혈압, 신경 증상의 조짐이 있으면 24시간 입원 관찰이 필요하다. 대량으로 섭취한 경우에는 혼수 상태에 빠져 사망하는 경우도 있다.[38]
3. 2. 세포막 파괴
가지속의 글리코알칼로이드는 콜린에스테라아제를 억제하고 세포막을 파괴하며 선천적 장애를 유발할 수 있다.[44] 한 연구에 따르면 솔라닌의 독성 작용기서(메커니즘)[45]는 이 화학 물질이 미토콘드리아 막과 상호작용하여 발생하는 것으로 보인다. 실험 결과, 솔라닌에 노출되면 미토콘드리아의 칼륨 통로가 열리고, 막 전위가 증가한다. 이로 인해 K+가 미토콘드리아에서 세포질로 이동하여 세포질의 K+ 농도를 증가시키는데, 이로 인해 세포가 파괴되고 세포자살이 일어나게 된다.[46]
솔라닌이 인체에 독성을 유발하는 기전은 아직 잘 알려져 있지 않다. 솔라닌에 노출되면 미토콘드리아의 칼륨 통로가 열리고, 막 전위가 증가하여 Ca2+이 미토콘드리아에서 세포질로 이동하게 되고, 세포질 내 Ca2+ 농도 증가는 세포 손상과 세포 자멸사를 유발한다.[8] 감자, 토마토, 가지 등의 글리코알칼로이드는 솔라닌과 마찬가지로 세포막을 통한 나트륨의 능동 수송에 영향을 미치는 것으로 나타났다.[9] 이러한 세포막 파괴는 입안의 작열감, 메스꺼움, 구토, 복부 경련, 설사, 내부 출혈, 위 병변 등 솔라닌 중독의 많은 증상을 유발하는 원인으로 보인다.[10]
3. 3. 선천적 장애 유발
가지속의 글리코알칼로이드는 콜린에스테라아제를 억제하고 세포 막을 파괴하며 선천적 장애를 유발할 수 있다.[44] 한 연구에 따르면 솔라닌의 독성 작용기서(메커니즘)[45]는 이 화학 물질의 미토콘드리아막과의 상호작용으로 인한 것이다. 여러 실험에 따르면 솔라닌의 노출은 미토콘드리아의 칼륨 통로를 개방시켜 막 전위를 증가시킨다. 다시 말해 K+가 미토콘드리아에서 세포질로 이동하여 세포질의 K+ 농도를 증가시키는데, 이로 인해 세포가 파괴되고 세포자살이 일어나게 된다.[46]
일부 연구에서는 감자 역병에 걸린 감자 섭취(솔라닌 및 기타 글리코알칼로이드 수치 증가)와 인간의 이분척추 발병률 사이에 상관관계가 있음을 보여준다. 하지만 다른 연구에서는 감자 섭취와 선천적 결손 발병률 사이의 상관관계를 보여주지 않았다.[5] 햄스터를 이용한 동물 실험에서는 기형 발생이 보고되었다.[38]
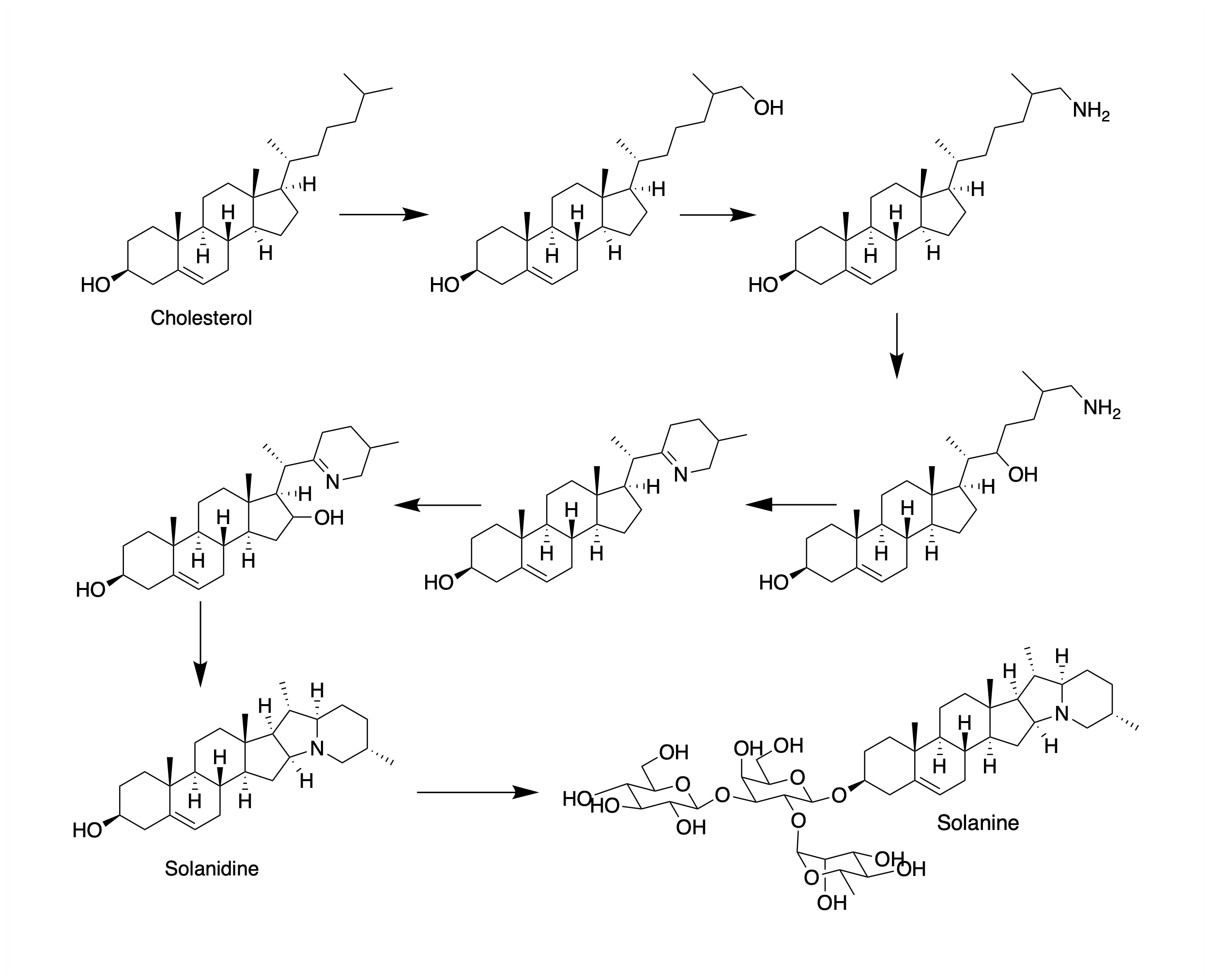
4. 솔라닌 생합성
솔라닌은 가지속 식물에서 생성되는 배당체 알칼로이드 독의 일종으로, 식물이 해충으로부터 자신을 보호하기 위해 만들어내는 천연 살충제이다. 햇빛에 노출되면 솔라닌 생합성이 활발해진다.[11]
감자, 토마토와 같은 식물은 평소에도 솔라닌을 생성하지만, 해충의 공격이나 빛과 같은 스트레스를 받으면 더 많은 솔라닌을 만들어낸다.[13] 솔라닌 증가는 감자의 쓴맛을 유발하고, 광합성과 클로로필 축적을 유도하여 감자를 녹색으로 변화시켜 해충의 접근을 막는다.[14] 기계적 손상, 부적절한 저장 조건, 식품 가공, 발아 등도 솔라닌 생합성을 증가시키는 요인이다.[15] 솔라닌은 특히 껍질 표면에 농도가 가장 높아 해충으로부터 효과적으로 방어할 수 있다.[16]
4. 1. 생합성 과정

솔라닌은 감자 식물과 같이 ''가지속''(Solanum)에 속하는 다양한 식물에서 생성되는 배당체 알칼로이드 독이다. 식물의 줄기, 덩이줄기 또는 잎이 햇빛에 노출되면 솔라닌 및 기타 배당체 알칼로이드의 생합성을 자극하여 먹히지 않도록 방어 기작으로 작용한다.[11] 따라서 천연 살충제로 간주된다.
이 생합성 경로의 중간체 구조는 표시되어 있지만, 이러한 화학적 과정에 관여하는 특정 효소 중 많은 부분은 알려져 있지 않다. 그러나 솔라닌 생합성에서 콜레스테롤이 먼저 스테로이드 알칼로이드인 솔라니딘으로 전환된다는 것은 알려져 있다. 이는 일련의 수산화 반응, 전이 아민화 반응, 산화 반응, 고리화 반응, 탈수 반응, 및 환원 반응을 통해 이루어진다.[12] 구체적으로, 솔라니딘 형성은 순차적인 수산화 반응, 전이 아민화 반응 및 고리화 반응을 포함한다.[1] 솔라니딘은 특정 글리코실전이효소에 의해 촉매되는 일련의 배당체화 반응을 통해 솔라닌으로 전환된다.[11]
5. 솔라닌 안전성
시판 감자의 솔라닌 함유량은 껍질 부위에 약 50mg, 가식부 100g당 평균 약 1.5mg 정도이다. 그러나 자가 재배하는 경우에는 함유량이 많은 소형 감자가 많아 껍질 부위에 약 70mg, 가식부 100g당 평균 약 45mg (30~90mg)까지 솔라닌 함량이 높아질 수 있다. 100g 중 솔라닌 함량이 20mg을 초과하는 감자는 식용으로 사용하지 않는 것이 바람직하다.[38]
특히 감자의 경우 싹을 도려내거나, 함유량이 많은 작은 감자를 피하고, 껍질 부위 섭취를 금지하며, 그늘에 보관하고, 자른 후 깨끗이 씻어내는 등의 조치를 취하지 않고 조리하면 중독될 수 있다. 솔라닌 중독에 필요한 양이 적은 소아에게 감자를 줄 때는 더욱 주의해야 한다.
5. 1. 솔라닌 섭취 제한
미국에서는 1인당 하루 평균 167g의 감자를 소비하는 것으로 추정된다.[10] 감자 재배자들은 솔라닌 함량을 0.2mg/g 미만으로 유지하기 위해 노력한다.[17] 솔라닌 중독은 감자 1g당 0.1~0.4mg 농도의 솔라닌을 함유한 감자를 섭취했을 때 나타날 수 있다.[17] 평균적인 감자는 1g당 0.075mg의 솔라닌을 함유하고 있으며, 이는 평균적인 하루 감자 소비량을 기준으로 체중 1kg당 약 0.18mg에 해당한다.[18]계산에 따르면 인체에서 솔라닌과 같은 글리코알칼로이드의 독성량은 체중 1kg당 2~5mg이며, 치사량은 체중 1kg당 3~6mg이다.[19] 다른 연구에서는 체중 1kg당 1mg 섭취로도 독성 증상이 나타날 수 있다고 보고한다.[10]
시판되는 감자의 솔라닌 함량은 껍질 부위에 약 50mg, 가식부 100g당 평균 약 1.5mg이다. 그러나 자가 재배하는 경우 함량이 높은 소형 감자가 많아 껍질 부위에 약 70mg, 가식부 100g당 평균 약 45mg(30~90mg)까지 솔라닌 함량이 높아질 수 있다. 100g 중 솔라닌 함량이 20mg을 초과하는 감자는 식용으로 사용하지 않는 것이 바람직하다.[38]
특히 감자의 경우 싹을 도려내거나, 함량이 많은 작은 감자를 피하고, 껍질 부위 섭취를 금지하며, 그늘에 보관하고, 자른 후 깨끗이 씻어내는 등의 조치를 취하지 않고 조리하면 중독될 수 있다. 중독에 필요한 양이 적은 소아에게 감자를 줄 때는 더욱 주의해야 한다.
5. 2. 감자 보관 방법
다양한 저장 조건은 감자의 솔라닌 수치에 영향을 미칠 수 있다. 감자가 빛에 노출되면 글리코알칼로이드 수치가 증가하는데, 이는 빛이 솔라닌과 같은 글리코알칼로이드의 생합성을 증가시키기 때문이다.[17] 어두운 곳에 보관된 감자는 솔라닌 합성이 증가하는 것을 피할 수 있다. 엽록소와 광합성 증가로 인해 녹색으로 변한 감자는 빛 노출 증가를 나타내며, 따라서 높은 수준의 솔라닌과 관련이 있다.[19] 솔라닌 합성은 기계적 손상에 의해서도 자극을 받는데, 글리코알칼로이드가 감자의 절단면에서 합성되기 때문이다.[17] 감자를 장기간 보관하는 것 또한 솔라닌 함량 증가와 관련이 있다.[20] 한 연구에 따르면, Kurfi Jyoti 및 Kurfi Giriraj 감자는 덩어리로 제대로 보관되지 않은 후 솔라닌 수치가 각각 0.232g 및 0.252g 증가했다.[21]시판 감자의 솔라닌 함유량은 껍질 부위 약 50mg, 가식부 100g당 평균 약 1.5mg이지만, 자가 재배에서는 함유량이 많은 소형 감자가 많으므로, 껍질 부위 약 70mg, 가식부 100g당 평균 약 45mg(30~90mg)이다. 100g 중 함유량이 20mg을 초과하는 것은 식용으로 사용하지 않는 것이 바람직하다.[38]
특히 감자의 경우, 필요한 대책 (싹 도려내기, 함유량이 많은 작은 감자 피하기, 껍질 부위 섭취 금지, 그늘 보관, 자른 후 깨끗이 씻어내기 등)을 취하지 않고 조리하여 중독되는 사례가 많다. 중독에 이르는 양이 적은 소아에게 감자를 줄 때는 더욱 주의를 요한다.
5. 3. 조리 방법
가정에서 감자를 삶거나 굽거나 튀기는 것은 솔라닌 수준에 큰 영향을 주지 않는다. 예를 들어, 감자를 삶는 것은 α-차코닌과 α-솔라닌 수준을 각각 3.5%와 1.2%만 감소시키지만, 전자레인지로 조리하면 알칼로이드 함량이 15% 감소한다.[22] 150°C에서 기름에 튀기는 것은 측정 가능한 변화를 일으키지 않는다. 솔라닌과 같은 알칼로이드는 약 170°C에서 분해되기 시작하며, 210°C에서 10분 동안 감자를 기름에 튀기면 솔라닌의 약 40%가 손실된다.[9] 감자를 동결 건조시키거나 탈수시키는 것은 솔라닌 함량에 거의 영향을 미치지 않는다.[23][24]감자에 들어있는 솔라닌의 대부분(30–80%)은 껍질에서 발견된다.[24] 따라서, 감자를 조리하기 전에 껍질을 벗기면 글리코알칼로이드 섭취를 줄일 수 있다. 튀긴 감자 껍질은 1.4–1.5 mg/g의 솔라닌을 함유하는데, 이는 권장되는 안전 상한선 0.2 mg/g의 7배이다.[17] 조리 전 날 감자 껍질의 작은 조각을 씹어 솔라닌 수준을 파악할 수 있다. 쓴맛은 높은 글리코알칼로이드 함량을 나타낸다.[17] 감자에 0.2 mg/g 이상의 솔라닌이 포함되어 있으면 즉시 입안에 타는 듯한 느낌이 들 것이다.[17]
시판 감자의 솔라닌 함유량은 껍질 부위 약 50mg, 가식부 100g당 평균 약 1.5mg이지만, 자가 재배에서는 함유량이 많은 소형 감자가 많으므로, 껍질 부위 약 70mg, 가식부 100g당 평균 약 45mg(30~90mg)이다. 100g 중 함유량이 20mg을 초과하는 것은 식용으로 사용하지 않는 것이 바람직하다.[38]
특히 감자의 경우, 싹 도려내기, 함유량이 많은 작은 감자 피하기, 껍질 부위 섭취 금지, 그늘 보관, 자른 후 깨끗이 씻어내기 등의 대책을 취하지 않고 조리하면 중독되는 사례가 많다. 중독에 이르는 양이 적은 소아에게 감자를 줄 때는 더욱 주의해야 한다.
6. 솔라닌 중독 사례
솔라닌 중독으로 인한 사망 사례는 드물지만, 몇 가지 주목할 만한 사례가 보고되었다. 1865년에서 1983년 사이에 약 2000건의 인간 솔라닌 중독 사례가 기록되었으며, 대부분 완전히 회복되었고 30명이 사망했다.[25] 증상이 식중독과 유사하기 때문에, 솔라닌 독성의 진단되지 않은 사례가 많을 수 있다.[26]
연도 | 지역 | 환자 수 | 사망자 수 | 감자 1g당 솔라닌 함량(mg) | 비고 |
---|---|---|---|---|---|
1899년 | 독일 | 56명 | 0명 | 0.24mg | 일부 군인은 부분적인 마비와 황달을 겪음[27] |
1918년 | 독일 | 41명 | 0명 | 0.43mg | 상태가 좋지 않은 감자[24] |
1918년 | 스코틀랜드 | 61명 | 1명 (5세 어린이) | 0.41mg | [28] |
1925년 | (불명) | 7명 | 2명 (45세 어머니, 16세 딸) | (불명) | 녹색 감자 섭취[18] |
1959년 | 영국 | 4명 | 0명 | 0.5mg | 오븐 구이 감자 섭취 |
1979년 | 영국 | 78명 | 0명 | 0.25~0.3mg | 기숙 학교, 부적절하게 보관된 감자 섭취[29], 17명 입원 |
1984년 | 캐나다 | 61명 | 0명 | 0.5mg | 학교 어린이와 교사, 오븐 구이 감자 섭취[30] |
7. 기타 식물의 솔라닌
가지과의 다른 식물인 ''가지열매''(으름덩굴) 열매에 의한 솔라닌 중독으로 사망한 사례도 보고된다.[35]
8. 중독 시 치료
솔라닌 중독의 주요 증상은 위장병과 신경병으로 나타난다. 구체적인 증상으로는 구역질, 설사, 구토, 위경련, 목구멍 화상, 부정맥, 악몽, 두통, 어지러움, 간지러움, 습진, 갑상선 질환, 관절염 및 관절통 등이 있다.[40][41][42] 심한 경우에는 환각, 무감각, 마비, 발열, 황달, 동공 팽창, 저체온증이 나타나고, 심지어 사망에 이를 수도 있다.[40][41][42]
솔라닌을 과다 섭취하면 사망에 이를 수 있다. 한 연구에 따르면 체중 1kg당 2~5mg의 솔라닌을 섭취하면 독성 증상이 나타나며, 체중 1kg당 3~6mg을 섭취하면 치명적일 수 있다.[43]
증상은 보통 섭취 후 8~12시간 후에 나타나지만, 솔라닌 함량이 높은 식품을 섭취한 경우에는 10분 만에 빠르게 나타날 수도 있다. 위 세척을 하거나 흡착제 또는 하제를 투여한다. 해독제나 길항제 투여는 하지 않는다.
참조
[1]
논문
Extrait d'une lettre de M. Desfosses, pharmacien, à Besançon, à M. Robiquet
https://babel.hathit[...]
1820
[2]
뉴스
Solanine poisoning – how does it happen?
http://msue.anr.msu.[...]
2018-09-24
[3]
웹사이트
Horrific Tales of Potatoes That Caused Mass Sickness and Even Death
http://www.smithsoni[...]
Smithsonian Magazine
2013-10-21
[4]
웹사이트
Executive Summary of Chaconine & Solanine
https://ntp.niehs.ni[...]
[5]
웹사이트
Solanine and Chaconine
http://www.inchem.or[...]
2009-05-31
[6]
논문
Toxicology of solanine: an overview
1983-02
[7]
서적
Impact of Processing on Food Safety
[8]
논문
Effect of solanine on the membrane potential of mitochondria in HepG2 cells and [Ca2+]i in the cells
[9]
논문
Potato Glycoalkaloids and Metabolites Roles in the Plant and in the Diet
2006-11
[10]
논문
Potato Glycoalkaloids: Chemistry, Analysis, Safety, and Plant Physiology
2010-09-22
[11]
논문
GLYCOALKALOID METABOLISM1 Is Required for Steroidal Alkaloid Glycosylation and Prevention of Phytotoxicity in Tomato
2011-12
[12]
논문
Biosynthesis of steroidal alkaloids in Solanaceae plants: Involvement of an aldehyde intermediate during C-26 amination
2013-05
[13]
논문
Potato glycoalkaloids and their significance in plant protection and human nutrition – review
http://agris.fao.org[...]
2001
[14]
논문
A Review of Bioinsecticidal Activity of Solanaceae Alkaloids
2016-03-01
[15]
논문
Effects of insect damage on glycoalkaloid content in potatoes (Solanum tuberosum)
1994-11
[16]
논문
.alpha.-Chaconine and .alpha.-solanine content of potato products and their stability during several modes of cooking
1981-07
[17]
서적
Reviews of Environmental Contamination and Toxicology
Springer New York
1990
[18]
논문
Naturally Occurring Toxic Alkaloids in Foods
2008-09-26
[19]
논문
The toxicity and teratogenicity of Solanaceae glycoalkaloids, particularly those of the potato (Solanum tuberosum): a review.
http://agris.fao.org[...]
1984
[20]
논문
Effect of Growth-Location and Length of Storage on Glycoalkaloid Content of Roadside-Stand Potatoes as Stored by Consumers.
1983-02
[21]
논문
Effect of storage methods on solanine content of potato tubers
2019
[22]
논문
A study of the toxic hazard that might be associated with the consumption of green potato tops
1996-05
[23]
PhD Thesis
Review of toxicological literature
https://ntp.niehs.ni[...]
1998-02
[24]
논문
Potato glycoalkaloids
2009-09-29
[25]
서적
Toxicants of Plant Origin: Alkaloids
CRC Press
1989
[26]
논문
Glycoalkaloid and calystegine contents of eight potato cultivars.
2003-05-07
[27]
서적
Toxicological evaluation of certain food additives and contaminants
World Health Organization
[28]
논문
An investigation of solanine poisoning
1933
[29]
논문
An outbreak of suspected solanine poisoning in schoolboys: Examinations of criteria of solanine poisoning.
1979-04
[30]
논문
The glycoalkaloids: Naturally of interest (but a hot potato?)
https://www.scienced[...]
1995-04-01
[31]
논문
Effect of Integrated Management of Nitrogen Fertilizer and Cattle Manure on the Leaf Chlorophyll, Yield, and Tube Glycoalkaloids of Agria Potato
[32]
논문
Changes in glycoalkaloids content 'of potatoes destined for consumption
[33]
논문
Solanine poisoning
[34]
문서
Potato plant poisoning – green tubers and sprouts
[35]
논문
A Fatal Case of Solanine Poisoning
[36]
뉴스
Accused, Yes, but Probably Not a Killer
https://www.nytimes.[...]
2009-07-29
[37]
PDF
じゃがいもの芽(ソラニン)
https://web.archive.[...]
財団法人 日本中毒情報センター
[38]
간행물
ジャガイモのグリコアルカロイド(その1) : グリコアルカロイド中毒の症例とグリコアルカロイドの測定
https://cir.nii.ac.j[...]
賢明女子学院短期大学
1984-03-31
[39]
기타
Extrait d'une lettre à M. Robiquet.
1820
[40]
뉴스
Solanine poisoning – how does it happen?
http://msue.anr.msu.[...]
2014-02-07
[41]
웹사이트
https://medlineplus.[...]
[42]
웹사이트
http://www.smithsoni[...]
[43]
웹사이트
Executive Summary of Chaconine & Solanine
https://ntp.niehs.ni[...]
[44]
서적
Impact of Processing on Food Safety
[45]
웹사이트
참고(작용기서(메커니즘),기능성표시식품제도 가이드라인 - 식품의약품안전처)
https://webcache.goo[...]
[46]
논문
Effect of solanine on the membrane potential of mitochondria in HepG2 cells and [Ca2+]i in the cells
[47]
웹인용
Solanine and Chaconine
http://www.inchem.or[...]
2009-05-31
관련 사건 타임라인
( 최근 20개의 뉴스만 표기 됩니다. )
본 사이트는 AI가 위키백과와 뉴스 기사,정부 간행물,학술 논문등을 바탕으로 정보를 가공하여 제공하는 백과사전형 서비스입니다.
모든 문서는 AI에 의해 자동 생성되며, CC BY-SA 4.0 라이선스에 따라 이용할 수 있습니다.
하지만, 위키백과나 뉴스 기사 자체에 오류, 부정확한 정보, 또는 가짜 뉴스가 포함될 수 있으며, AI는 이러한 내용을 완벽하게 걸러내지 못할 수 있습니다.
따라서 제공되는 정보에 일부 오류나 편향이 있을 수 있으므로, 중요한 정보는 반드시 다른 출처를 통해 교차 검증하시기 바랍니다.
문의하기 : help@durumis.com