맨위로가기

단계 성장 중합

"오늘의AI위키"는 AI 기술로 일관성 있고 체계적인 최신 지식을 제공하는 혁신 플랫폼입니다.
"오늘의AI위키"의 AI를 통해 더욱 풍부하고 폭넓은 지식 경험을 누리세요.

1. 개요

단계 성장 중합은 단량체가 반복적인 작용기 반응을 통해 고분자를 형성하는 중합 방식이다. 1907년 레오 베이클랜드가 페놀과 포름알데히드를 사용하여 최초의 합성 고분자 물질인 베이클라이트를 만들면서 시작되었다. 단계 성장 중합은 사슬 성장 중합과 달리, 중합도가 서서히 증가하고 반응 전반에 걸쳐 유사한 단계가 반복되며 개시제가 필요하지 않다는 특징을 가진다. 폴리에스터, 폴리아마이드, 폴리우레탄, 폴리우레아, 폴리실록산, 폴리카보네이트, 폴리설파이드, 폴리에테르, 베이클라이트, 폴리트리아졸 중합체 등이 단계 성장 중합으로 만들어지는 고분자 종류에 속한다. 고분자 설계, 분자량 조절, 다중 사슬 중합, 텔레켈릭 올리고머 접근법 등을 통해 고분자의 물성을 향상시키고 응용 범위를 넓히는 연구가 진행되고 있다.

더 읽어볼만한 페이지

  • 고분자화학 - 치글러-나타 촉매
    치글러-나타 촉매는 카를 치글러와 줄리오 나타가 발견한 촉매로, 올레핀 중합 반응을 촉진하여 폴리에틸렌, 폴리프로필렌과 같은 다양한 폴리올레핀 생산에 사용되며, 특히 입체 규칙성 고분자 합성에 중요한 역할을 한다.
  • 고분자화학 - 유리 전이
    유리 전이는 액체가 냉각 또는 압축될 때 고체와 유사해지는 현상으로, 점도 급증을 특징으로 하며 결정화와 달리 뚜렷한 구조 변화는 없고, 유리 전이 온도(Tg)는 유리 상태와 과냉각 액체 사이 전이가 일어나는 특정 온도를 의미하며, 재료의 열적, 역학적 특성에 영향을 미친다.
  • 화학 반응 - 촉매
    촉매는 화학 반응에서 자신은 소모되지 않으면서 반응 속도를 변화시키는 물질로, 활성화 에너지를 낮추는 새로운 반응 경로를 제공하여 반응 속도를 증가시키며, 균일계, 불균일계, 생체 촉매 등 다양한 종류가 있고 여러 산업 분야에서 활용된다.
  • 화학 반응 - 축합 반응
    축합 반응은 두 작용기가 결합하며 작은 분자를 생성하고 제거되어 새로운 작용기를 형성하는 화학 반응으로, 중축합이나 탈수 축합으로 응용되며 에스터화, 아미드화, 알돌 축합 반응 등이 대표적이다.
단계 성장 중합
단계 성장 중합
단계 성장 중합의 예시
단계 성장 중합의 예시
유형
종류중합 반응 메커니즘
관련 반응
관련 반응사슬 성장 중합

2. 역사적 배경

인류 사회 초기에 사용된 대부분의 천연 고분자는 축합 중합 반응을 통해 만들어졌다. 최초의 진정한 합성 고분자 물질인 베이클라이트는 1907년 레오 베이클랜드에 의해 발표되었으며, 이는 페놀과 포름알데히드의 전형적인 단계 성장 중합 방식으로 이루어졌다.[1]

합성 고분자 과학의 선구자인 월러스 캐러더스는 1930년대 듀폰에서 연구 그룹 리더로 재직하면서 단계 성장 중합을 통해 폴리에스터를 만드는 새로운 방법을 개발했다. 이는 고분자량 고분자 분자를 생성할 목적으로 설계되고 수행된 최초의 반응이자, 과학적 이론에 의해 결과가 예측된 최초의 중합 반응이었다. 캐러더스는 오늘날까지 캐러더스 방정식으로 알려진 일련의 수학 방정식을 개발하여 단계 성장 중합 시스템의 거동을 설명했다. 그는 폴 플로리와 협력하여 속도론, 화학량론, 분자량 분포 등을 포함한 단계 성장 중합의 보다 수학적인 측면을 설명하는 이론을 개발했다. 캐러더스는 나일론의 발명으로도 잘 알려져 있다.[1]

3. 축합 중합과 단계 중합

단계 중합과 축합 중합은 서로 다른 개념이지만 항상 같지는 않다. 폴리우레탄은 고분자를 제외한 다른 분자가 추가로 생성되지 않기 때문에 부가 중합이지만, 반응 메커니즘은 단계 중합에 해당한다.[37][38]

1929년 월러스 캐러더스는 생성물 유형에 따라 중합을 다음과 같이 구분했다.

구분내용
부가 중합단일 고분자
축합 중합고분자와 작은 분자량의 분자



캐러더스의 분류 이후 일부 첨가 중합은 전형적인 축합 중합의 특성을 갖는 것이 확인되어 더 이상 정확하지 않아 새로운 분류 체계가 고안되었다.

1953년 폴 플로리는 반응 메커니즘에 따라 중합을 다음과 같이 구분했다.[39]

구분내용
단계 중합작용기에 의한 중합
사슬 중합자유 라디칼 또는 이온에 의한 중합


4. 사슬 중합과의 차이

단계 성장 중합과 사슬 성장 중합은 반응 메커니즘, 단량체 소모 속도, 중합도 변화, 활성 사슬 유무, 개시제 필요성 등에서 차이를 보인다.[1] 이러한 차이점을 표로 정리하면 다음과 같다.

특성단계 성장 중합사슬 성장 중합
중합도서서히 증가초기 높은 중합도
단량체 소모 속도반응 초기 빠른 소모반응 속도가 느리며 긴 시간 후에도 남아있음
반응 단계전반에 걸쳐 유사 단계 반복개시, 전파, 종료 및 연쇄전달의 각 단계별 다른 방식 사용
평균 분자량초기에는 천천히 증가하지만 높은 반응 정도에서 급격히 증가초기 단계에서 빠르게 증가한 후 중합반응 전반적으로 거의 동일하게 유지
활성 사슬 유무반응 후에도 계속 성장 (반응성 유지)사슬 성장 후 반응성 소실
개시제 필요성필요 없음필요


5. 단계 중합 폴리머의 종류

단계 성장 중합으로 만들어지는 중합체의 종류는 다음과 같다.[5][6]

중합체특성응용 분야
폴리에스터유리 전이 온도(Tg)와 융점(Tm)이 높고, 약 175 °C까지 우수한 기계적 특성을 보이며, 용매 및 화학 물질에 대한 저항성이 좋다.섬유 (의류, 펠트, 타이어 코드), 필름 (자기 기록 테이프, 고급 필름)
폴리아마이드 (나일론)강도, 탄성, 내마모성, 인성, 내용제성이 우수하다.로프, 벨트, 섬유 직물, 실, 베어링의 금속 대체재, 전선 피복
폴리우레탄내마모성, 경도, 내유성, 탄성이 우수한 탄성중합체이다.섬유 (반발력이 뛰어남), 코팅제 (용매 및 마모에 대한 저항성이 우수함), 폼 (강도, 반발력, 내충격성이 우수함)
폴리우레아높은 Tg를 가지며, 기름, 오일, 용매에 대한 저항성이 뛰어나다.트럭 적재함 라이너, 교량 코팅, 코킹, 장식 디자인
폴리실록산액체, 그리스, 왁스, 수지, 고무 등 다양한 형태로 존재하며, 규소(Si) 덕분에 완벽한 열 안정성을 가진다.소포제, 이형제, 개스킷, 씰, 케이블 및 전선 절연, 고온 액체 및 가스 도관
폴리카보네이트투명하고 자기 소화성을 가지는 물질로, 결정성 열가소성 수지이다. 높은 충격 강도와 우수한 열/산화 안정성을 가진다.기계, 자동차 산업 (F-22의 조종석 캐노피 등), 의료 분야
폴리설파이드내유성, 내용제성이 뛰어나고, 가스 불투과성, 내후성, 오존 저항성이 우수하다. 그러나 냄새가 고약하고, 인장 강도가 낮으며, 내열성이 좋지 않다.휘발유 호스, 개스킷, 용제 및 가스 저항성이 필요한 곳
폴리에테르열가소성이 뛰어나고, 수용성이며, 일반적으로 기계적 특성이 우수하고, 중간 정도의 강도와 강성을 가진다.면 및 합성 섬유용 사이징, 접착제용 안정제, 제약 분야의 바인더 및 필름 형성제
페놀 수지 (베이클라이트)내열성, 치수 안정성이 우수하고, 대부분의 용제에 대한 저항성이 뛰어나며, 유전 특성이 좋다.성형, 전기, 라디오, 텔레비전, 자동차 부품, 종이 함침, 바니시, 벽 덮개용 장식 라미네이트
폴리트리아졸알킨과 아자이드 작용기를 모두 포함하는 단량체로부터 생산되며, 1,3-쌍극자 고리화 첨가 반응(아자이드-알킨 휘스겐 고리화 첨가 반응)으로 생성된 1,2,3-트리아졸 고리로 연결된다. 강한 수지 또는 젤 형태를 띤다.다양한 화학, 생물학 분야


5. 1. 폴리에스터

폴리에스터는 유리 전이 온도(Tg)와 융점(Tm)이 높아 약 175 °C까지 좋은 기계적 물성을 유지한다. 용매 및 화학 물질에 대한 저항성도 우수하다.[42] 섬유나 필름 형태로 사용되는데, 섬유는 직물, 펠트, 타이어 코드 등에 쓰이고, 필름은 자기 기록 매체나 고품질 박막 등에 사용된다.[42]

폴리에스터는 카복실산과 알코올 작용기를 가진 물질을 단위체로 하여 합성할 수 있다. 단위체에 알코올과 카복실산 작용기가 모두 있다면, 하나의 단위체로도 합성이 가능하다.[42]

5. 2. 폴리아마이드 (나일론)

폴리아마이드(나일론)는 강도, 탄성, 내마모성, 인성, 내용제성이 우수하다.[43] 로프, 벨트, 섬유, 실, 베어링의 금속 대체 재료, 전선의 피복재 등에 사용된다.

5. 3. 폴리우레탄

폴리우레탄은 내마모성, 경도, 그리스에 대한 내성 및 탄성이 좋은 엘라스토머로서[22][23] 반발력이 뛰어난 섬유, 용매 및 마찰에 대한 내구성을 갖춘 피복재, 강도와 반발성, 내충격성을 갖춘 발포재로 사용된다.

5. 4. 폴리우레아

폴리우레아는 높은 Tg를 가지며 윤활유, 기름 및 용매에 대한 적절한 내성을 가지고 있다. 트럭 베드 라이너, 교량 도장재, 균열 보수 및 장식 디자인에 사용될 수 있다.[44] 최근에는 이산화탄소를 줄이면서 폴리우레아를 합성하는 방법이 개발되었다. 1,6-헥산다이아민에 CO2를 이용하는 2단계 중합 반응을 통해 이루어지며, 최종 생성물은 265°C의 용융점과 300°C의 분해점을 가질 정도로 열적으로 매우 안정하다.[44]

5. 5. 폴리실록산

폴리실록산은 액체, 그리스, 왁스, 수지, 고무 등 다양한 형태로 사용된다.[46] 소포제, 이형제, 개스킷, 씰, 케이블 및 와이어 절연, 고온 액체 및 가스 도관 등에 사용된다.[46]

5. 6. 폴리카보네이트

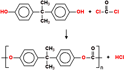
폴리카보네이트는 투명하고 자기 소화성을 가지는 재료이다. 높은 충격 강도, 우수한 열 및 산화 안정성을 가진 열가소성 결정과 유사한 물성을 갖는다. 기계, 자동차 산업 (예: F-22 전투기의 Cockpit canopy|콕핏 캐노피영어) 및 의료용으로 사용된다.[47] 폴리카보네이트는 염기성 용액에서 비스페놀 A와 아실화 염소(acyl chloride)의 축합반응으로 합성된다. 비스페놀 A를 수산화소듐 용액과 함께 만든 후 유기용매에 아실화염소를 녹인 후 이를 합친다. 이 두 용액의 계면에서 중합반응이 진행되어 폴리카보네이트를 합성한다.[47]

폴리카보네이트 합성

5. 7. 폴리설파이드

폴리설파이드는 유기 용매 및 용매에 대한 저항성이 우수하고, 기체 불투과성, 오존 및 산화에 대한 저항성을 갖는다. 그러나 냄새가 심하고 인장 강도가 낮으며, 내열성이 약하다.[22][23] 가솔린 호스, 개스킷, 용매 저항성 및 가스 저항성이 요구되는 곳에 쓰인다.

5. 8. 폴리에테르

폴리에테르는 열가소성이 뛰어나고 물에 잘 녹으며, 일반적으로 기계적 성질이 우수하고 적당한 강도와 강성을 가진다.[22][23] 이나 합성 섬유의 풀, 점착제의 안정제, 결착제, 의약품의 성막 등에 사용된다.

5. 9. 페놀 수지 (베이클라이트)

페놀 포름알데히드 수지 (베이클라이트)는 내열성, 치수 안정성 및 대부분의 용매에 대한 내성이 우수하다. 유전체 특성도 좋다. 그에 따라 전기, 라디오, 텔레비전 및 자동차 부품의 성형 응용 분야에 쓰인다. 다른 용도로는 함침지, 바니시, 벽 덮개용 장식 라미네이트 등에 쓰인다.[22][23] 베이클라이트는 최초의 합성 고분자 물질이다.

5. 10. 폴리트리아졸 중합체

폴리트리아졸 중합체는 알킨 및 아지드 작용기를 모두 가지고 있는 단량체로부터 만들어진다. 단량체들은 azide-alkyne Huisgen cycloaddition영어라고도 불리는 1,3-쌍극자 고리화 첨가 반응을 통해 1,2,3-트리아졸 고리를 중심으로 연결된다.[48][49] 그 결과, 중합체는 강한 수지 또는 겔 형태로 나타난다. 말단 알킨 및 말단 아지드를 포함하는 올리고펩티드를 단량체로 사용하는 클릭된 펩티드 중합체는 펩타이드 효소의 작용으로 인해 생분해될 수 있다.[50]

6. 분지형 폴리머

3개 이상의 작용기를 가진 단량체는 고분자 내에 분기를 도입하여 결국에는 낮은 분율 전환율에서도 가교된 매크로구조 또는 네트워크를 형성한다. 나무와 같은 구조가 네트워크로 전환되는 지점을 겔화점이라고 하는데, 이는 점도의 급격한 변화로 나타나기 때문이다. 최초의 소위 열경화성 수지 중 하나는 베이클라이트이다. 단계 성장 중합에서 물이 항상 방출되는 것은 아니다. 비환식 디엔 메타세시스(ADMET)에서는 디엔에틸렌을 잃으면서 중합된다.

7. 반응 속도론

단계 중합 반응의 속도론은 폴리에스터화 반응을 예시로 설명할 수 있다. 에스테르화는 산과 알코올이 상호작용하여 에스테르와 물을 생성하는 산 촉매 반응이다. 이 반응의 속도 모델을 설명하기 위해 다음과 같은 가정이 필요하다.[51]


  • 물 또는 다른 부산물이 효율적으로 제거되어야 한다.
  • 작용기 반응성은 사슬 길이에 상관없이 일정하다.
  • 각 단계는 하나의 알코올과 하나의 산만을 포함한다.


일반적인 폴리에스터화 n차 반응의 중합도는 다음과 같다.

:\frac{1}{1-p^{n-1}}=1+(n-1)kt[\ce{COOH}]^{n-1}

여기서 n은 반응 차수이다.

7. 1. 자가 촉매 폴리에스터화

산 촉매가 첨가되지 않은 경우에도 산이 자체 촉매로 작용하여 반응이 계속 진행된다. 임의의 시간 t에서의 응축 속도는 -COOH 작용기가 소모되는 속도로부터 도출될 수 있다.[51]

:rate=\frac{-d[\ce{COOH}]}{dt}=k[\ce{COOH}]^2[\ce{OH}]

COOH항이 2차인 이유는 산이 자가 촉매로 사용되기 때문에 생성되며, k는 속도 상수이다. 동일한 양의 산과 글리콜을 가진 시스템의 경우, [COOH]=[OH]이므로 작용기의 농도는 다음과 같이 간단히 쓸 수 있다.[51]

:rate=\frac{-d[\ce{COOH}]}{dt}=k[\ce{COOH}]^3

외부 촉매 시스템과 내부 촉매 시스템의 시간별 중합도 비교


캐로더스 방정식의 적분 및 치환 후, 최종 형태는 다음과 같다.[51]

:\frac{1}{(1-p)^2}=2kt[\ce{COOH}]^2+1=X^2_n

자기 촉매 시스템의 경우, 수 평균 중합도(Xn)는 √t에 비례하여 증가한다.[51]

7. 2. 외부 촉매 폴리에스터화

촉매가 존재하면 반응 속도가 빨라지며, 반응 속도식은 다음과 같이 변경된다.[11]

:\frac{-d[\ce{COOH}]}{dt}=k[\ce{COOH}][\ce{OH}]

이는 각 작용기에 대해 1차 반응 속도를 가진다. 따라서,

:\frac{-d[\ce{COOH}]}{dt}=k[\ce{COOH}]^2

이고, 적분하면 최종적으로

:\frac{1}{1-p}=1+[\ce{COOH}]kt=X_n

이 된다. 외부 촉매 시스템의 경우, 수 평균 중합도(X_n)는 t\,에 비례하여 증가한다.

8. 선형 중합에서의 분자량 분포

중합 생성물은 분자량이 다른 고분자 분자들의 혼합물이며, 분자량 분포는 통계적인 방법으로 분석할 수 있다. 분자량 분포(MWD)는 플로리가 고안한 방법으로, 모든 작용기가 동등한 반응성을 갖는다는 가정하에 통계학적인 접근을 사용한다.[12][13][29][30]

8. 1. 확률

단계 성장 중합은 무작위 과정이므로 통계를 사용하여 시간 또는 전환율의 함수로 x-단량체(x개의 단위체로 이루어진 분자)가 있는 사슬을 찾을 확률을 계산할 수 있다.[54]

:{\mathit{x}AA} + \mathit{x}BB -> AA-(BB-AA)_{\mathit{x}-1}-BB

:\mathit{x}AB -> A-(B-A)_{\mathit{x}-1}-B

반응도(Extent of reaction) p는 (반응한 작용기의 개수/초기에 존재하던 작용기 개수)로 정의된다.[54]

  • A 작용기가 x-단량체를 형성하며 반응했을 확률:


:p^{x-1} \,

  • 반응하지 않은 A 작용기가 존재할 확률:


:(1-p) \,

따라서, 시간 t일 때 x-단량체가 존재할 확률 Px는 다음과 같이 주어진다.

:P_x=(1-p)p^{x-1} \,

여기서 Px는 무작위 조성의 고분자 사슬에서 x개의 단위체로 이루어진 분자를 선택할 확률이며, 몰분율과 같다. x가 증가할수록 x-단량체가 존재할 확률은 감소한다.

8. 2. 수 분율 분포

모든 시스템에서 x-단량체의 분율은 (1-p)p(x-1)로 표현된다.[55]

:\frac{N_x}{N}=(1-p)p^{x-1} \,

Nx는 x-단량체의 개수, N은 반응 중 존재하는 총 고분자 분자의 개수이다.[14]

200px

8. 3. 무게 분율 분포

x-단량체의 무게분율 Wx는 중합도가 x인 분자의 총질량 / 모든 분자의 질량으로 나타내며, 시스템에서 x-단량체의 분율과 질량 분율로 x-단량체를 찾을 확률이다.[36]

:\frac{W_x}{W_o}=\frac{xN_xM_o}{N_oM_o}=\frac{xN_x}{N_o}=x\frac{N_x}{N}\frac{N}{N_o}


  • ''Mo''는 반복 단위의 몰 질량
  • ''No''는 단량체의 초기 개수
  • ''N'' 은 아직 반응하지 않은 작용기 수


카로더스 방정식에 대입하면

:X_n=\frac{1}{1-p}=\frac{N_o}{N}

따라서 다음을 얻을 수 있다.

:\frac{W_x}{W_o}=x(1-p)^2p^{x-1} \,

8. 4. 다분산 지수 (PDI)

다분산 지수(PDI)는 주어진 고분자 시료의 분자량 분포를 나타내는 척도이다.

:PDI=\frac{M_w}{M_n}

그러나 단계 성장 중합의 경우 캐로더스 방정식을 사용해 다음과 같이 표현할 수 있다.

:PDI=1+p \,

단계 중합의 경우 높은 값의 p를 가져야 유용한 고분자가 형성되어 PDI 값은 2에 접근한다. 따라서 단계 성장 중합에서 p=1일 때 PDI=2가 된다.

9. 선형 중합에서의 분자량 조절

고분자 합성에서 분자량을 조절하는 것은 매우 중요하다. 고분자의 물리적 성질은 분자량에 크게 의존하기 때문이다. 따라서 원하는 분자량을 얻기 위해 반응 시간을 조절하여 중합을 멈추는 방법을 사용한다. 하지만 이 방법은 고분자 사슬 끝에 반응성이 있는 작용기가 남아있어 분자량이 계속 변할 수 있다는 단점이 있다.[13]

이러한 문제를 해결하기 위해 두 가지 방법을 사용할 수 있다.

첫째, 두 단량체의 농도를 약간 다르게 조절하는 것이다. 한 단량체를 과량으로 사용하면, 중합 반응이 끝났을 때 모든 고분자 사슬의 끝은 과량으로 사용된 단량체의 작용기로 끝나게 된다. 이 작용기들은 더 이상 반응할 수 없으므로 분자량은 안정화된다.

둘째, 작용기가 하나뿐인 단일작용기 단량체를 소량 첨가하는 것이다. 이 단량체는 사슬 성장을 멈추게 하는 역할을 하므로 '사슬 종결제'라고도 불린다. 단일작용기 단량체가 고분자 사슬 끝에 붙으면 더 이상 반응할 작용기가 없어지기 때문에 중합이 멈추고 분자량이 고정된다.[13]

이 두 가지 방법을 통해 단계 성장 중합에서 원하는 분자량을 가진 고분자를 안정적으로 얻을 수 있다.

9. 1. 화학량론적 제어 필요성

중합에서 분자량을 조절하는 것은 두 가지 중요한 측면이 있다. 고분자의 성질은 분자량에 크게 의존하기 때문에, 특정한 분자량을 가진 생성물을 얻는 것이 중요하다. 너무 높거나 낮은 분자량은 바람직하지 않다. 중합도는 반응 시간의 함수이므로, 적절한 시간에 반응을 멈추면 원하는 분자량을 얻을 수 있다. 그러나 이렇게 얻은 고분자는 분자 말단에 반응할 수 있는 작용기가 남아있어 분자량이 변할 수 있다는 점에서 불안정하다.

이러한 상황은 두 단량체의 농도를 약간 비화학량론적으로 조절하여 방지할 수 있다. RA2 + RB2 중합에서 한쪽 단량체가 약간 과량이면, 과량의 단량체에서 얻어지는 작용기들로 고분자 사슬이 끝나게 되어 중합도가 현저하게 감소한다(예를 들어 RB2가 과량이라면, 최종적으로 말단기 양쪽은 B가 된다).[56] 이 작용기들은 서로 반응할 수 없기 때문에 더 이상의 중합은 불가능하며, 사슬이 성장할 수 없어 고분자는 이후의 분자량 변화에 안정하다.

원하는 분자량을 얻는 또 다른 방법은 작용기가 하나만 있는 단일작용기 단량체를 소량 첨가하는 것이다. 연쇄 정지제(chain stopper)라고도 불리는 이 단량체는 이작용기 단량체의 중합을 조절하고 제한하는데, 성장 중인 중합체가 작용기가 없는 사슬 말단을 생성하기 때문에 추가적인 반응을 할 수 없기 때문이다.[57]

9. 2. 정량적 측면

중합에서 분자량을 적절히 조절하기 위해서는 이작용기 단량체 또는 단일작용기 단량체의 화학량론적 불균형을 정밀하게 조정해야 한다. 비화학량론적 불균형이 너무 크면 고분자 분자량이 너무 작아진다. 따라서 반응물의 화학량론적 불균형이 분자량에 미치는 정량적 효과를 이해하는 것이 중요하다.[57]

혼합물 내 반응물의 정밀하게 조절된 화학량론적 불균형은 원하는 결과를 제공할 수 있다. 예를 들어, 산염화물에 대한 다이아민의 과잉은 결국 산염화물이 완전히 소비되었을 때 더 이상 성장할 수 없는 두 개의 아민 말단기를 가진 폴리아마이드를 생성한다. 이는 캐러더스 방정식(Carothers equation)을 확장하여 다음과 같이 표현할 수 있다.[58]

:\overline{X}_n=\frac{(1+r)}{(1+r-2rp)}

여기서 r은 단량체 불균형(stoichiometric imbalance)을 의미하며, 초기 단계에 존재하는 AB 작용기의 수를 각각 N_{A}N_{B}라고 하면 다음과 같다.

:r=\frac{N_{A}}{N_{B}}

(r은 1과 같거나 작다. 단, N_{A}=N_{B}는 제외)

단일작용기를 갖는 단량체가 분자량 조절을 위해 부가된다면, r에 대한 정의로부터 이들은 B군임에 분명하다. 그러면 불균형 요소는 아래와 같이 정의된다.

:r'=\frac{N_{A}}{(N_{B}+2N_B')}

여기서 N_{B}'은 첨가된 단일기능 분자 B의 수이다. 각 단일작용기인 B 분자가 과잉의 BB 단량체와 동일한 정량적 효과를 가지기 때문에 N_{B} 앞에 계수 2가 필요하다.[58]

다분산 지수 (PDI)는 주어진 고분자 시료의 분자량 분포를 나타내는 척도이며, 단계 성장 중합의 경우 다음과 같이 나타낼 수 있다.

:PDI=1+p \,

(p=1일 때 PDI=2)

10. 다중 사슬 중합

작용기를 세 개 갖는 단량체는 중합에 3개의 작용기가 참여할 수 있다. 이는 중합체에 가지를 만들어 궁극적으로 가교가 형성된 고분자를 형성할 수 있다. 이는 3차원적 3D 망상구조가 형성되는데 이 때 형성되는 지점을 겔점이라고 하며, 점도의 급격한 변화로 나타난다.

다중 사슬 중합에서는 단량체 단위당 존재하는 평균 작용기 수로, 보다 일반적인 작용성 인자 fav가 정의된다. 처음 N0개의 분자와 두 개의 작용기 A 및 B의 등가수를 포함하는 시스템의 경우, 총 작용기 수는 N0fav이다.

:f_{av} = \frac{\sum N_i \sdot f_i}{\sum N_i}

그리고 '''수정된 카로더스 방정식'''은[16] 다음과 같다.

:x_{n} = \frac{2}{2-pf_{av}}

이 때 p는 다음과 같다.

:\frac{2(N_0-N)}{N_0 \sdot f_{av}}

11. 단계 중합 고분자의 발전

고분자 설계는 가벼우면서도 내열성을 가진 고분자로 금속을 대체할 수 있다는 전망을 중심으로 이루어진다. 경량 고분자는 높은 강도, 내용제성, 내화학성을 가지는 장점이 있어, 자동차 및 항공기의 전자/엔진 부품, 조리 도구 코팅, 전자 부품의 회로 기판 제작 및 코팅 등 다양한 분야에 사용된다.[61]

방향족 화합물 기반 고분자나 분자량이 크거나 많은 가교를 가진 고분자 사슬은 높은 결합 강도와 강성을 가진다. 특히 사슬 뼈대에 방향족이 있는 고분자는 방향족의 특성으로 인해 높은 기계적 물성과 내열성, 내방사선성을 보인다. 중축합으로 제조되는 주요 방향족 고분자에는 방향족 폴리설파이드, 방향족 폴리이미드 등이 있다.[61]

강한 쌍극자 간 결합, 수소 결합 상호작용, 결정성은 내열성을 향상시키는 요인이다. 원하는 기계적 강도를 얻기 위해서는 분자량이 충분히 커야 하지만, 분자량이 증가하면 용해도가 감소하는 문제가 발생한다. 이를 해결하기 위해 유연한 결합을 갖는 단량체나 공단량체를 강성 결합 사이에 도입하거나, 반응성 텔레켈릭 올리고머를 사용한다. 텔레켈릭 올리고머는 사슬 연장 반응을 통해 더 큰 분자를 만드는 데 사용된다.[62]

11. 1. 방향족 폴리에테르



구리 아민촉매 복합체를 사용하여 2,6번에 치환기를 갖는 페놀의 산화적 결합 중합으로 방향족 폴리에테르를 제조한다. 이는 상업적으로 폴리페닐렌 옥사이드(p-페닐렌 옥사이드) 또는 PPO라고 불린다.[63] 순수한 PPO는 용융점도가 높아 상업적으로 사용하기 어렵기 때문에, PPO와 고강도 폴리스타이렌(HIPS)을 혼합하여 가공성과 인성을 개선한 제품이 사용된다.[63]

11. 2. 폴리에테르설폰

폴리에테르설폰(PES)


폴리에테르설폰(PES)은 방향족 디할라이드와 비스페놀레이트 염 사이의 친핵성 방향족 치환 반응으로 합성된다. 부분적으로 결정성이며, 광범위한 수성 및 유기 환경에 대한 높은 내성을 갖는다. 240°C~280°C에서 연속 사용이 가능하다. 가장 내열성이 좋은 열가소성 수지이다.[64]

11. 3. 방향족 폴리설파이드

300x300픽셀


폴리 페닐렌 설파이드(p-페닐렌 설파이드, PPS)는 황화 나트륨과 p-디클로로벤젠을 1-메틸-2-피롤리돈(NMP)과 같은 극성 용매에서 반응시켜 합성한다. 이는 기본적으로 내염성이며 유기 및 수성 조건에 대해 안정적이지만 산화제에 다소 민감하다.[65] PPS는 자동차, 전자레인지 부품, 불소 고분자와 혼합하여 조리도구용 코팅, 밸브, 파이프, 전지 등을 보호하는 코팅에 사용된다.[65] 이외에도 혼합용, 성형용으로 사용된다.[61]

11. 4. 방향족 폴리이미드

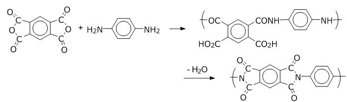
500x500픽셀


방향족 폴리이미드는 이무수물과 다이아민을 반응시켜 합성한다. 예를 들어, 피로멜라이트 무수물과 p-페닐렌다이아민을 반응시킨다. 다이아민 대신 디이소시아네이트를 사용해도 된다. 용해성을 좋게 하기 위해 이무수물 대신 이무수물의 하프 산-하프 에스테르를 사용할 수 있다.[61]

중합은 폴리이미드가 잘 녹지 않기 때문에 2단계 공정으로 진행한다. 첫 번째 단계에서 NMP 또는 N,N-다이메틸아세트아미드와 같은 극성 비양성자성 용매를 이용해, 잘 녹는 고분자량 폴리아민산을 만든다. 두 번째 단계에서 폴리아믹산을 필름, 섬유, 라미네이트, 코팅과 같이 불용성, 불융해성인 최종 고분자 제품 형태로 가공한다. 폴리이미드는 필름, 코팅, 접착제, 적층화 등에 사용된다.[61]

11. 5. 텔레켈릭 올리고머 접근법

텔레켈릭 올리고머 접근법은 중합 과정 중 올리고머(분자량이 50~3000 정도) 단계에서 중합을 멈추기 위해 단일 작용기 반응물을 사용하는 방식이다. 단일 작용기 반응물은 중합을 제한할 뿐만 아니라, 올리고머의 경화를 위한 후속 반응에 사용될 수 있도록 올리고머 말단에 작용기를 도입한다. 알카인, 노르보넨, 말레이미드, 니트릴, 시아네이트와 같은 작용기가 이 목적으로 사용된다. 말레이미드 및 노르보르넨으로 끝이 막힌 올리고머는 가열하여 경화할 수 있다. 알킨, 니트릴 및 시안산으로 끝이 막힌 올리고머는 환형 삼량체화를 거쳐 방향족 구조를 생성할 수 있다.

참조

[1] 논문 Studies on Polymerization and Ring Formation. I. An Introduction to the General Theory of Condensation Polymers
[2] 서적 Principles of Polymer Chemistry https://books.google[...] Cornell University Press 1953
[3] 서적 Plastics packaging: Properties, processing, applications, and regulations https://books.google[...] Hanser 2004
[4] 논문 Dynamic Networks that Drive the Process of Irreversible Step-Growth Polymerization 2019-02
[5] 서적 Polymer Chemistry An Introduction Marcel Dekker, Inc.
[6] 서적 Encyclopedia of Polymer Science and Engineering Wiley-Interscience
[7] 논문 Preparation and properties of a novel polytriazole resin
[8] 논문 A novel polytriazole-based organogel formed by the effects of copper ions
[9] 논문 Synthesis and characterization of biodegradable peptide-based polymers prepared by microwave-assisted click chemistry 2008-10
[10] 서적 Organic and Physical Chemistry of Polymers Wiley 2007
[11] 서적 Polymers: Chemistry and Physics of Modern Materials CRC Press 2008
[12] 서적 Principles of Polymer Chemistry https://archive.org/[...] Cornell University Press
[13] 서적 Principles of polymerization John Wiley& Sons, INC
[14] 논문 Molecular distribution in condensation polymers
[15] 서적 Polymer Chemistry An Introduction Oxford University Press
[16] 논문 Polymers and polyfunctionality
[17] 서적 Synthetic methods in step-growth polymers Wiley-Interscience
[18] 서적 Polymers Oxford Univ Pr on Demand
[19] 논문 STUDIES ON POLYMERIZATION AND RING FORMATION. I. AN INTRODUCTION TO THE GENERAL THEORY OF CONDENSATION POLYMERS
[20] 서적 Principles of Polymer Chemistry https://books.google[...] Cornell University Press 1953
[21] 서적 Plastics packaging: Properties, processing, applications, and regulations https://books.google[...] Hanser 2004
[22] 서적 Polymer Chemistry An Introduction Marcel Dekker, Inc.
[23] 간행물 Encyclopedia of Polymer Science and Engineering Wiley-Interscience
[24] 논문 Preparation and properties of a novel polytriazole resin. J. Appl. Polym
[25] 논문 A novel polytriazole-based organogel formed by the effects of copper ions
[26] 논문 Synthesis and Characterization of Biodegradable Peptide-Based Polymers Prepared by Microwave-Assisted Click Chemistry
[27] 문서 Organic and Physical Chemistry of Polymers
[28] 문서 Polymers: Chemistry and Physics of Modern Materials CRC Press 2008
[29] 서적 Principles of Polymer Chemistry Cornell University Press
[30] 서적 Principles of polymerization John Wiley& Sons, INC
[31] 논문 Molecular distribution in condensation polymers
[32] 서적 Polymer Chemistry An Introduction Oxford University Press
[33] 논문 Polymers and polyfunctionality
[34] 서적 Synthetic methods in step-growth polymers Wiley-Interscience
[35] 서적 Polymers Oxford Univ Pr on Demand
[36] 서적 Polymers: Chemistry and Physics of Modern Materials CRC Press 2008
[37] 저널 STUDIES ON POLYMERIZATION AND RING FORMATION. I. AN INTRODUCTION TO THE GENERAL THEORY OF CONDENSATION POLYMERS https://pubs.acs.org[...] 1929-08
[38] 서적 Principles of polymer chemistry https://www.worldcat[...] 1953
[39] 서적 Plastics packaging : Properties, processing, applications, and regulations https://www.worldcat[...] Hanser Pub. 2004
[40] 서적 Polymer chemistry : an introduction https://www.worldcat[...] M. Dekker 1992
[41] 저널 Encyclopedia of polymer science and engineering, 2nd ed., by Mark Bikales Overberger Menges, Wiley-Interscience, New York, 1987, 840 pp. Price: $200.00 http://dx.doi.org/10[...] 1988-03
[42] 서적 Introduction to polymers https://www.worldcat[...] CRC Press 2011
[43] 서적 Introduction to polymers https://www.worldcat[...] CRC Press 2011
[44] 저널 Synthesis of polyurea from 1,6-hexanediamine with CO2 through a two-step polymerization https://www.scienced[...] 2017-10-01
[45] 웹인용 Polysiloxanes https://polymerdatab[...] 2022-06-04
[46] 서적 Introduction to polymers https://www.worldcat[...] CRC Press 2011
[47] 웹인용 Polycarbonates https://www.essentia[...] 2022-06-04
[48] 저널 Preparation and properties of a novel polytriazole resin https://onlinelibrar[...] 2007-04-15
[49] 저널 A novel polytriazole-based organogel formed by the effects of copper ions http://xlink.rsc.org[...] 2013
[50] 저널 Synthesis and Characterization of Biodegradable Peptide-Based Polymers Prepared by Microwave-Assisted Click Chemistry https://pubs.acs.org[...] 2008-10-13
[51] 서적 Organic and physical chemistry of polymers https://www.worldcat[...] Wiley-Interscience 2008
[52] 저널 Polymers http://dx.doi.org/10[...] 2007-07-27
[53] 서적 Introduction to polymers https://www.worldcat[...] CRC Press 2011
[54] 서적 고분자과학 자유아카데미 2013-02-28
[55] 저널 Molecular distribution in condensation polymers https://onlinelibrar[...] 1952-07
[56] 서적 고분자과학 자유아카데미 2013-02-28
[57] 서적 Principles of polymerization https://www.worldcat[...] Wiley 1991
[58] 서적 Polymer chemistry : an introduction https://www.worldcat[...] Oxford University Press 1990
[59] 서적 고분자 화학 입문 자유아카데미 1997-11-30
[60] 저널 Polymers and polyfunctionality http://xlink.rsc.org[...] 1936
[61] 서적 고분자과학 (Introduction to polymers) 자유아카데미
[62] 서적 Synthetic methods in step-growth polymers https://archive.org/[...] Wiley-Interscience
[63] 서적 Manufacturing of Nanocomposites with Engineering Plastics 2015
[64] 서적 Fluorinated Coatings and Finishes Handbook https://archive.org/[...] 2006
[65] 서적 Polymers Oxford Univ Pr on Demand



본 사이트는 AI가 위키백과와 뉴스 기사,정부 간행물,학술 논문등을 바탕으로 정보를 가공하여 제공하는 백과사전형 서비스입니다.
모든 문서는 AI에 의해 자동 생성되며, CC BY-SA 4.0 라이선스에 따라 이용할 수 있습니다.
하지만, 위키백과나 뉴스 기사 자체에 오류, 부정확한 정보, 또는 가짜 뉴스가 포함될 수 있으며, AI는 이러한 내용을 완벽하게 걸러내지 못할 수 있습니다.
따라서 제공되는 정보에 일부 오류나 편향이 있을 수 있으므로, 중요한 정보는 반드시 다른 출처를 통해 교차 검증하시기 바랍니다.

문의하기 : help@durumis.com