방향족 설폰화 반응
"오늘의AI위키"의 AI를 통해 더욱 풍부하고 폭넓은 지식 경험을 누리세요.
1. 개요
방향족 설폰화 반응은 방향족 화합물에 설폰산기(-SO3H)를 도입하는 친전자성 방향족 치환 반응이다. 이 반응은 일반적으로 황산과 방향족 화합물을 가열하여 진행되며, 삼산화 황 또는 그 양성자화된 유도체가 친전자체로 작용한다. 염화 티오닐과 같은 탈수제를 첨가하여 평형을 유도할 수 있으며, 클로로황산 또한 유효한 시약으로 사용된다. 다른 친전자성 방향족 치환 반응과 달리 가역 반응이며, 설폰산기는 보호기 또는 친전자성 방향족 유도기로 사용될 수 있다. 피리아 반응과 타이어 설폰화 공정과 같은 특수한 방법들도 존재하며, 염료, 의약품, 이온 교환 수지 제조에 응용된다.
더 읽어볼만한 페이지
- 치환 반응 - 탈카복실화
탈카복실화는 유기화학 및 생화학에서 카복실산으로부터 이산화 탄소가 제거되는 반응으로, 유기화학에서는 수소 원자로 치환되며, 생화학에서는 아민 생합성 등 다양한 생체 반응에 관여한다. - 치환 반응 - 친전자성 방향족 치환
친전자성 방향족 치환은 방향족 고리의 수소 원자가 친전자체로 치환되는 유기 반응으로, 아레니움 이온 중간체를 거쳐 진행되며, 벤젠 고리의 치환기는 반응 속도와 치환 위치에 영향을 미쳐 다양한 화학 제품 생산에 활용된다. - 유기 반응 - 열분해
열분해는 고온에서 물질을 분해하는 과정으로, 다양한 산업과 에너지 분야에 활용되지만 안전 및 환경 문제도 고려해야 하며, 관련 분석 및 연구가 활발히 진행되고 있다. - 유기 반응 - 메틸화
메틸화는 메틸기를 분자에 첨가하는 과정으로, 생물학에서 유전자 발현 조절 등 생명현상에 관여하고 유기화학에서 유기 합성에 활용되며, 다양한 생물종에 존재하는 중요한 생리적 과정이다.
2. 반응 메커니즘 및 시약
일반적인 조건은 방향족 화합물을 황산과 가열하는 것을 포함한다:[2]
:C6H6 + H2SO4 -> C6H5SO3H + H2O
삼산화 황 또는 그 양성자화된 유도체는 이 친전자성 방향족 치환 반응에서 실제 친전자체이다.
평형을 유도하기 위해 염화 티오닐과 같은 탈수제를 첨가할 수 있다:[2]
:C6H6 + H2SO4 + SOCl2 -> C6H5SO3H + SO2 + 2 HCl
역사적으로 황산 제일 수은은 반응을 촉매하는 데 사용되었다.[3]
클로로황산 또한 효과적인 시약이다.
:C6H6 + HSO3Cl -> C6H5SO3H + HCl
방향족 니트로화 및 대부분의 다른 친전자성 방향족 치환 반응과는 대조적으로 이 반응은 가역 반응이다. 설폰화는 농축된 산성 조건에서 일어나고 탈설폰화는 묽은 열수성 산에서 작용 방식이다. 이 반응은 이러한 가역성 때문에 방향족 시스템을 보호기하는 데 매우 유용하다. 전자 끌기 효과로 인해 설폰산 보호기는 친전자성 방향족 치환을 방지하는 데 사용될 수 있다. 또한 친전자성 방향족 유도기로서 설치되어 치환이 일어날 수 있는 위치에 영향을 미칠 수 있다.[4]
2. 1. 친전자성 방향족 치환
방향족 설폰화 반응은 방향족 화합물을 황산과 함께 가열하여 이루어진다.[2] 이 반응에서 친전자체는 삼산화 황 또는 그 양성자화된 유도체이다.[2]평형을 유도하기 위해 염화 티오닐과 같은 탈수제를 첨가할 수 있다.[2]
:
클로로황산도 설폰화 반응에 효과적인 시약으로 사용된다.
:
역사적으로 황산 제일 수은이 반응을 촉매하는 데 사용되었다.[3]
방향족 설폰화 반응은 가역 반응으로, 방향족 니트로화 등 대부분의 다른 친전자성 방향족 치환 반응과는 다르다.[4] 설폰화는 농축된 산성 조건에서, 탈설폰화는 묽은 열수성 산에서 일어난다. 이러한 가역성 때문에 설폰산기는 방향족 시스템을 보호기하는 데 매우 유용하게 사용된다.[4] 설폰산 보호기는 전자 끌기 효과를 통해 친전자성 방향족 치환을 방지할 수 있으며, 친전자성 방향족 유도기로 작용하여 치환 위치에 영향을 줄 수 있다.[4]
2. 2. 기타 시약
2. 3. 반응의 가역성
방향족 설폰화 반응은 방향족 니트로화 및 대부분의 다른 친전자성 방향족 치환 반응과는 대조적으로 가역 반응이다.[4] 설폰화는 농축된 산성 조건에서 일어나고 탈설폰화는 묽은 열수성 산에서 작용 방식이다.[4] 일반적인 조건은 방향족 화합물을 황산과 가열하는 것이다.[2]:
삼산화 황 또는 그 양성자화된 유도체는 이 친전자성 방향족 치환 반응에서 실제 친전자체이다. 염화 티오닐과 같은 탈수제를 첨가하여 평형을 유도할 수 있다.[2]
:
클로로황산 또한 효과적인 시약이다.[2]
:
역사적으로 황산 제일 수은은 반응을 촉매하는 데 사용되었다.[3] 이러한 가역성 때문에 방향족 시스템을 보호기하는 데 매우 유용하다.[4] 전자 끌기 효과로 인해 설폰산 보호기는 친전자성 방향족 치환을 방지하는 데 사용될 수 있다. 또한 친전자성 방향족 유도기로서 설치되어 치환이 일어날 수 있는 위치에 영향을 미칠 수 있다.[4]
3. 특수 설폰화 방법
방향족 설폰화 반응 외에도 설폰산기를 도입하기 위한 많은 방법들이 개발되었다.
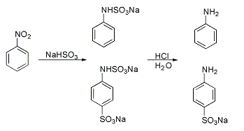
라파엘레 피리아(Raffaele Piria)가 1851년에 개발한 '''피리아 반응'''은 니트로벤젠을 금속 바이설파이트와 반응시키는 고전적인 명명 반응이다.[2][5][6] 이 반응을 통해 니트로기 환원과 설폰화가 결합되어 아미노설폰산이 생성된다.[2][5][6]
'''타이어 설폰화 공정'''(1917)[7]은 한때 기술적으로 중요했는데, 벤젠 증기를 90% 황산을 담은 용기 안으로 통과시키면서 온도를 100°C에서 180°C까지 올리는 방식이다. 물과 벤젠은 지속적으로 제거되며 벤젠은 다시 용기로 공급된다. 이 방식으로 80%의 수율을 얻는다.
3. 1. 피리아 반응 (Piria Reaction)
라파엘레 피리아(Raffaele Piria)가 1851년에 개발한 피리아 반응은 니트로벤젠을 금속 바이설파이트와 반응시키는 고전적인 명명 반응이다.[2][5][6] 이 반응을 통해 니트로기 환원과 설폰화가 결합되어 아미노설폰산이 생성된다.[2][5][6]3. 2. 타이어 설폰화 공정 (Tyre Sulfonation Process)
'''타이어 설폰화 공정'''(1917)[7]은 벤젠 증기를 90% 황산을 담은 용기 안으로 통과시키면서 온도를 100°C에서 180°C까지 올리는 방식이다. 물과 벤젠은 지속적으로 제거되며 벤젠은 다시 용기로 공급된다. 이 방식으로 80%의 수율을 얻는다.4. 응용
방향족 설폰산은 염료 및 많은 의약품을 제조하는 데 사용되는 중간체이다. 아닐린의 설폰화는 광범위한 설폰아미드 계열의 설파제를 생성한다.
폴리스티렌의 설폰화는 연수를 위한 일반적인 이온 교환 수지인 폴리스타이렌 설폰산 나트륨을 만드는 데 사용된다.
4. 1. 염료 및 의약품
방향족 설폰산은 염료 및 많은 의약품을 제조하는 데 사용되는 중간체이다. 아닐린의 설폰화는 광범위한 설폰아미드 계열의 설파제를 생성한다.폴리스티렌의 설폰화는 연수를 위한 일반적인 이온 교환 수지인 폴리스타이렌 설폰산 나트륨을 만드는 데 사용된다.
4. 2. 이온 교환 수지
폴리스티렌의 설폰화는 연수를 위한 일반적인 이온 교환 수지인 폴리스타이렌 설폰산 나트륨을 만드는 데 사용된다.참조
[1]
문서
"#REDIRECT ."
[2]
서적
Ullmann's Encyclopedia of Industrial Chemistry
2000
[3]
서적
Catalysis in Organic Chemistry
Van Nostrand
[4]
서적
Organic Chemistry
Wiley
[5]
논문
Über einige Produkte der Einwirkung des schwefligsäuren Ammoniaks auf Nitronaphtalin
https://zenodo.org/r[...]
[6]
논문
The Piria Reaction. I. The Overall Reaction
[7]
특허
[8]
서적
Organische Chemie
VEB Deutscher Verlag für Grundstoffindustrie
본 사이트는 AI가 위키백과와 뉴스 기사,정부 간행물,학술 논문등을 바탕으로 정보를 가공하여 제공하는 백과사전형 서비스입니다.
모든 문서는 AI에 의해 자동 생성되며, CC BY-SA 4.0 라이선스에 따라 이용할 수 있습니다.
하지만, 위키백과나 뉴스 기사 자체에 오류, 부정확한 정보, 또는 가짜 뉴스가 포함될 수 있으며, AI는 이러한 내용을 완벽하게 걸러내지 못할 수 있습니다.
따라서 제공되는 정보에 일부 오류나 편향이 있을 수 있으므로, 중요한 정보는 반드시 다른 출처를 통해 교차 검증하시기 바랍니다.
문의하기 : help@durumis.com