스피로 화합물
"오늘의AI위키"의 AI를 통해 더욱 풍부하고 폭넓은 지식 경험을 누리세요.
1. 개요
스피로 화합물은 두 개의 고리가 하나의 원자를 공유하는 이륜 고리 구조를 가진 유기 화합물의 한 종류이다. 탄소 고리 스피로 화합물은 두 개의 탄소 고리가 탄소 원자를 통해 연결된 구조를 가지며, 헤테로고리 스피로 화합물은 스피로 원자 또는 두 고리 중 하나라도 탄소 원자가 아닌 경우를 말한다. 스피로 화합물은 다양한 제법을 통해 얻을 수 있으며, 피나콜 재배열과 같은 재배열 반응을 통해서도 합성된다. 폴리스피로 화합물은 3개 이상의 고리가 2개 이상의 스피로 원자에 의해 연결된 화합물이며, 스피로 화합물은 키랄성을 가질 수 있다. 스피로 화합물은 IUPAC 명명법에 따라 명명되며, 접두사 "스피로"를 사용하고, 고리의 크기를 대괄호 안에 표기한다.
더 읽어볼만한 페이지
| 스피로 화합물 | |
|---|---|
| 일반 정보 | |
![]() | |
| 정의 | 두 고리가 하나의 공통 원자를 가지는 화학 화합물 |
| 구조 및 명명법 | |
| 스피로 원자 | 두 고리가 연결된 단일 원자, 일반적으로 사차 탄소 (quaternary carbon) |
| 명명법 | 스피로 이름은 스피로 원자를 공유하는 두 고리의 탄소 원자 수를 오름차순으로 괄호 안에 표기하고 접두사 '스피로'를 붙임 (예: 스피로[4.5]데칸) |
| 아이유팩 명명법 | 아이유팩 명명법에서는 스피로 원자를 통해 연결된 고리 시스템을 "스피로사이클릭 탄화수소"로 취급 |
| 번호 매기기 | 고리 시스템의 번호는 스피로 원자 옆의 더 작은 고리에서 시작하여 스피로 원자를 통해 더 큰 고리로 이동 |
| 특징 | |
| 안정성 | 스피로 화합물은 고리 변형으로 인해 독특한 안정성을 가질 수 있음 |
| 키랄성 | 스피로 화합물은 중심 키랄성을 나타낼 수 있으며, 이는 스피로 원자의 사면체 기하학으로 인해 발생 |
| 종류 | |
| 스피로케탈 | 산소 원자가 스피로 원자인 스피로 화합물 |
| 스피로인돌린 | 인돌린 고리를 포함하는 스피로 화합물 |
| 합성 | |
| 방법 | 다양한 고리 형성 반응 및 고리 확장 반응을 통해 합성 가능 |
| 활용 | |
| 의약품 | 많은 의약품에서 발견됨 |
| 재료 과학 | 새로운 재료 개발에 사용됨 |
| 촉매 | 비대칭 촉매에 사용됨 |
| 추가 정보 | |
| 참고 문헌 | 다양한 화학 저널 및 서적에서 스피로 화합물에 대한 정보 제공 |
2. 탄소고리 스피로 화합물
유기 화학에서 두 개의 탄소 고리(모두 탄소로만 이루어진)가 하나의 탄소 원자를 통해 연결된 이륜 고리 구조는 스피로사이클에서 흔히 다루어진다. 스피로펜테인, 스피로헥세인 등 단순한 모체 스피로사이클은 스피로우데케인까지 존재하며, 여러 이성질체가 있다. 이 부류의 하위 구성원들은 변형되어 있으나, 스피로우데케인의 대칭 이성질체는 그렇지 않다.
일부 스피로고리 화합물은 천연물로 존재한다.[1]
2. 1. 제법
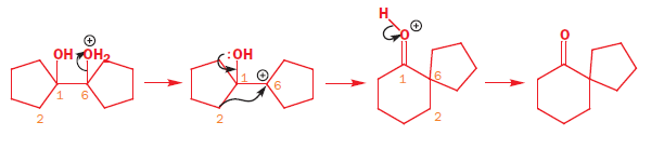
활성화된 탄소 중심의 이중 알킬화를 통해 스피로고리 코어를 제조할 수 있다. 이중 알킬화 그룹은 종종 1,3- 또는 1,4- 할로겐화물이다.[7] 1,5-다이리튬펜탄과 같은 다이리튬 시약을 사용하기도 한다.[8] 고리형 카베노이드로의 사이클로프로페인화를 통해 사이클로프로페인 고리를 포함하는 스피로사이클을 생성할 수 있다.[9]피나콜-피나콜론 재배열과 같은 다양한 재배열 반응을 통해 스피로 화합물을 제조할 수 있다.[2] 아스피로[4.5]데칸의 제조에 사용된다.[10]

3. 헤테로고리 스피로 화합물
스피로 화합물은 스피로 원자 또는 두 고리 중 어느 원자라도 탄소 원자가 아닌 경우 헤테로고리 화합물로 간주된다. 붕소, 규소, 질소(그리고 다른 IVA족 [14] 원소)와 같은 스피로 헤테로원자를 가진 경우는 종종 쉽게 제조할 수 있다. 글리콜에서 파생된 많은 붕산 에스터가 이 경우를 보여준다.[12] 마찬가지로, 4가 중성 규소와 4차 질소 원자(암모늄 양이온)가 스피로 중심이 될 수 있다. 이러한 화합물은 많이 보고되었다.[21]
특히 흔한 스피로 화합물은 고리형 케톤과 다이올 및 다이티올의 축합 반응으로 형성된 아세탈(케탈, 아세탈)이다.[13][14][15] 간단한 예로 시클로헥사논과 글리콜로부터 얻어지는 아세탈인 1,4-다이옥사스피로[4.5]데칸이 있다. 이러한 케탈 및 다이티오케탈의 경우가 흔하다. 고리 모양 케톤과 다이올 또는 다이티올의 아세탈은 스피로 화합물이다. 예를 들어, Spirapril|스피라프릴영어은 1,2-에탄디티올로부터 형성되는 5원 고리를 갖는다.
4. 폴리스피로 화합물
폴리스피로 화합물은 3개 이상의 고리를 형성하는 2개 이상의 스피로 원자에 의해 연결되어 있다.
폴리스피로 화합물을 명명할 때, 접두사 ''di-''(다이), ''tri-'' (트라이), ''tetra-'' (테트라) 등을 스피로 원자의 수를 나타내기 위해 이름 앞에 붙인다. 화합물의 원자는 체계적으로 번호가 매겨진다. 폴리스피로 화합물은 스피로 원자를 1개 포함하는 "말단 고리"부터 순서대로 번호가 매겨진다. 스피로 원자 옆의 원자 번호를 1로 하고, 순서대로 번호를 매겨 나간다.
2개 이상의 말단 고리를 갖는 폴리스피로 화합물에서는 가장 적은 원자 수의 고리부터 번호 매기기를 시작한다. 번호 매기기 방향은 스피로 원자의 번호가 가장 작아지도록 결정한다.

5. 키랄성
스피란은 다양한 방식으로 키랄성을 가질 수 있다.[16][21] 첫째, 비틀린 것처럼 보여도 키랄 중심을 가질 수 있어 단순한 키랄 화합물과 유사하게 된다. 둘째, 알킬리덴사이클로알케인과 마찬가지로 치환기의 특정 위치가 스피로 화합물에 ''중심 키랄성''을 나타나게 할 수 있다(비틀림으로 인한 축 키랄성 대신). 셋째, 스피로 화합물의 고리 치환기는 두 개의 구조적으로 동일한 고리가 스피로 원자를 통해 부착되는 가장 간단한 이환식 경우와 같이, 고리의 비틀림만으로 키랄성이 발생하는 경우가 있다.[21][2] 따라서 세 번째 경우에서 위에 설명된 평면성의 부재는, 구조적으로 동일한 고리의 오른쪽 ''대'' 왼쪽 "비틀림" ( 알렌, 입체적으로 방해받는 비아릴 및 알킬리덴사이클로알케인에서 볼 수 있음)의 차이로 인해 발생하는, 그렇지 않으면 동일한 스피로 화합물의 이성질체 쌍에서 축 키랄성이라고 불리는 현상을 발생시킨다.[21] 스피로 화합물의 절대 배치의 할당은 어려웠지만, 각 유형의 많은 수가 명확하게 할당되었다.[21]
일부 스피로 화합물은 축 키랄성을 나타낸다. 스피로 원자는 일반적으로 키랄성에서 관찰되는 4개의 다른 치환기가 부족하더라도 키랄성의 기원이 될 수 있다. 두 개의 고리가 동일할 경우, 우선 순위는 한쪽 고리 확장에 더 높은 우선 순위를, 다른 고리 확장에 더 낮은 우선 순위를 할당하는 CIP 시스템을 약간 수정하여 결정된다. 고리가 다를 경우 일반적인 규칙이 적용된다.
락톤이나 옥사진의 스피로체는 백색 염료로 자주 사용되며, 종종 크로미즘 (무색과 유색 사이의 가역적인 변화)을 나타낸다.
6. 명명법
명명법은 1900년 아돌프 폰 바이어에 의해 처음 논의되었다.[17] IUPAC은 스피로 화합물의 명명에 대한 지침을 제공한다.[18]
접두사 ''스피로''는 스피로 접합부를 가진 두 개의 고리를 나타낸다. 주요 체계적 명명법은 작은 고리의 원자 수를 먼저 대괄호 안에 넣고, 그 다음 큰 고리의 원자 수를 마침표로 구분하여 표기하는 것이다. 각 경우에 스피로원자(두 고리가 결합된 원자) 자체는 제외한다. 위치 번호는 스피로원자에 인접한 작은 고리의 원자에서 시작하여, 그 고리의 원자를 따라, 그 다음 스피로원자 자체, 그리고 큰 고리의 원자를 따라 번호를 매긴다.[19] 예를 들어, 아래 그림의 화합물 '''A'''는 ''1-브로모-3-클로로스피로[4.5]데칸-7-올''이라고 불리며, 화합물 '''B'''는 ''1-브로모-3-클로로스피로[3.6]데칸-7-올''이라고 불린다.
참조
[1]
논문
Spirocyclopropanated Bicyclopropylidenes: Straightforward Preparation, Physical Properties, and Chemical Transformations
2001
[2]
서적
Organic Chemistry
https://books.google[...]
Oxford University Press
2016-02-02
[3]
서적
Virtual Text of Organic Chemistry
Michigan State University, Department of Chemistry
2016-02-03
[4]
논문
Total Syntheses of Natural Products Containing Spirocarbocycles
[5]
웹사이트
Elusive bowtie pinned down
http://www.thefreeli[...]
1991-07-13
[6]
논문
Syntheses of Four Spiro Hydrocarbons
1960
[7]
논문
Synthesis and [3+2] Cycloaddition of a 2,2-Dialkoxy-1-methylenecyclopropane: 6,6-Dimethyl-1-methylene-4,8-Dioxaspiro[2.5]octane and cis-5-(5,5-Dimethyl-1,3-dioxan-2-ylidene)hexahydro-1(2H)-pentalen-2-one
2003
[8]
논문
Spiroannelation Via Organobis(Cuprates): 9,9-Dimethylspiro[4.5]Decan-7-One
1992
[9]
논문
Preparation of a Radical Clocks Bearing Carbonyl Groups: Synthesis of N-Methoxy-N-methylspiro[cyclopropane-1,9'-fluorene]-2-carboxamide
2024
[10]
웹사이트
1,1'-Bicyclopentyl-1,1'-diol
https://pubchem.ncbi[...]
2016-03-07
[11]
웹사이트
1,4-Dioxaspiro[4.5]decane
http://www.chemspide[...]
2016-02-03
[12]
논문
Synthesis of Spiroborate Esters from 1,2-Aminoalcohols, Ethylene Glycol and Triisopropyl Borate: Preparation of (S)-1-(1,3,2-Dioxaborolan-2-Yloxy)-3-Methyl-1,1-Diphenylbutan-2-Amine
2010
[13]
논문
Preparation of 1,5-Dioxaspiro[5.5]undecan-3-one
2016
[14]
논문
Stereocontrolled Preparation of 3-Acyltetrahydrofurans from Acid-Promoted Rearrangements of Allylic Ketals: (2S,3S)-3-Acetyl-8-Carboethoxy-2,3-Dimethyl-1-Oxa-8-Azaspiro[4.5]Decane
1993
[15]
논문
Dichlorovinylation of an Enolate: 8-Ethynyl-8-Methyl-1,4-Dioxaspiro[4.5]Dec-6-Ene
1986
[16]
논문
Enantioselective Methodologies for the Synthesis of Spiro Compounds
[17]
논문
Systematik und Nomenclatur Bicyclischer Kohlenwasserstoffe
https://zenodo.org/r[...]
[18]
논문
Extension and Revision of the Nomenclature for Spiro Compounds
[19]
웹사이트
Spiro Hydrocarbons. Rule A-41. Compounds: Method 1
https://www.acdlabs.[...]
[20]
문서
[21]
서적
Stereochemistry of Organic Compounds
Wiley & Sons
2016-02-02
[22]
서적
An Elementary Latin Dictionary
American Book Company
2016-02-03
[23]
논문
Extension and Revision of the Nomenclature for Spiro Compounds
[24]
논문
Systematik und Nomenclatur Bicyclischer Kohlenwasserstoffe
본 사이트는 AI가 위키백과와 뉴스 기사,정부 간행물,학술 논문등을 바탕으로 정보를 가공하여 제공하는 백과사전형 서비스입니다.
모든 문서는 AI에 의해 자동 생성되며, CC BY-SA 4.0 라이선스에 따라 이용할 수 있습니다.
하지만, 위키백과나 뉴스 기사 자체에 오류, 부정확한 정보, 또는 가짜 뉴스가 포함될 수 있으며, AI는 이러한 내용을 완벽하게 걸러내지 못할 수 있습니다.
따라서 제공되는 정보에 일부 오류나 편향이 있을 수 있으므로, 중요한 정보는 반드시 다른 출처를 통해 교차 검증하시기 바랍니다.
문의하기 : help@durumis.com
