염화 크로뮴(III)
"오늘의AI위키"의 AI를 통해 더욱 풍부하고 폭넓은 지식 경험을 누리세요.
1. 개요
염화 크로뮴(III)은 화학식 CrCl₃를 갖는 크로뮴과 염소의 화합물이다. 무수 형태는 YCl₃와 유사한 층상 구조를 가지며, 다양한 수화물을 형성한다. 염화 크로뮴(III)은 크롬 금속의 염소화 또는 산화 크롬(III)의 탄소 열환원을 통해 제조되며, 반응성이 느린 크롬(III) 착물의 전구체로 사용된다. 유기 크로뮴 화합물, 촉매 및 염료 제조에 활용되며, 유기 합성에서 환원제 및 루이스 산으로도 작용한다.
더 읽어볼만한 페이지
- 크로뮴(III) 화합물 - 산화 크로뮴(III)
산화 크로뮴(III)은 높은 경도와 녹는점을 가진 강옥 구조의 양쪽성 산화물로, 반강자성 특성을 나타내며 내화물, 안료, 촉매 등으로 산업적으로 활용되고 자연에서는 에스콜라이트 광물로 발견된다. - 배위 화합물 - Alq3
트리스(8-히드록시퀴놀리네이트)알루미늄(Alq₃)은 자오면 및 안면 이성질체와 여러 다형체를 가지며, 유기 발광 다이오드(OLED)의 전자 수송층 물질로 널리 쓰이고 퀴놀린 고리의 치환기 변화를 통해 발광 특성 조절이 가능하다. - 배위 화합물 - 시스플라틴
시스플라틴은 cis-[Pt(NH3)2Cl2] 화학식을 가진 사각 평면형 배위 화합물로, DNA 복제 방해를 통해 암세포를 억제하는 항암제이며, 다양한 고형암 및 혈액암 치료에 사용된다. - 금속 할로젠화물 - 염화 칼륨
염화칼륨(KCl)은 칼륨 이온과 염화물 이온으로 이루어진 이온성 화합물로, 칼륨 비료, 화학 공업, 의학, 사형 집행 등 다양한 용도로 사용되며, 면심입방구조와 광학적 특성을 지니고, 캐나다, 러시아, 벨라루스 등에서 주로 생산된다. - 금속 할로젠화물 - 염화 나트륨
염화 나트륨은 염화물 이온과 나트륨 이온으로 구성된 백색 고체 이온 결정으로, 짠맛을 내며 융점은 800.4℃이고, 다양한 용도로 사용되며 겨울철 제설에도 활용되는 정염의 일종이다.
| 염화 크로뮴(III) - [화학 물질]에 관한 문서 | |
|---|---|
| 일반 정보 | |
![]() | |
![]() | |
| IUPAC 이름 | 삼염화 크로뮴(III) 삼염화 크로뮴 |
| 다른 이름 | 염화 크로뮴(III) |
| 화학식 | CrCl3 |
| 몰 질량 | 158.36 g/mol (무수물) 266.45 g/mol (육수화물) |
| 외관 | 보라색 (무수물) 짙은 녹색 (육수화물) |
| 밀도 | 2.87 g/cm³ (무수물) 1.760 g/cm³ (육수화물) |
| 용해도 | 약간 용해됨 (무수물) 585 g/L (육수화물) |
| 다른 용매에 대한 용해도 | 에탄올에 불용 다이에틸 에테르, 아세톤에 불용 |
| 녹는점 | 1152 °C (무수물) 81 °C (육수화물) |
| 끓는점 | 1300 °C (분해) |
| pKa | 2.4 (0.2M 용액) |
| 자기 감수율 | +6890.0·10⁻⁶ cm³/mol |
| 구조 | |
| 배위 | 팔면체 |
| 결정 구조 | 삼염화 이트륨 구조 |
| 위험성 | |
| 신호어 | 위험 |
| 인화점 | 불연성 |
| NFPA 704 | 건강: 3 화재: 0 반응성: 0 기타: 해당 없음 |
| LD50 | 1870 mg/kg (경구, 쥐) |
| PEL | TWA 1 mg/m³ |
| REL | TWA 0.5 mg/m³ |
| IDLH | 250 mg/m³ |
| 관련 화합물 | |
| 다른 음이온 | 삼플루오린화 크로뮴 삼브로민화 크로뮴 삼아이오딘화 크로뮴 |
| 다른 양이온 | 삼염화 몰리브데넘 삼염화 텅스텐 |
| 다른 화합물 | 이염화 크로뮴 사염화 크로뮴 |
| 식별 정보 | |
| CAS 등록번호 | 10025-73-7 |
| CAS 등록번호 (육수화물) | 10060-12-5 |
| ChemSpider | 4954736 |
| ChEMBL | 1200528 |
| UNII | Z310X5O5RP |
| UNII (육수화물) | KB1PCR9DMW |
| InChI | 1/3ClH.Cr/h3*1H;/q;;;+2/p-3 |
| ChEBI | 53351 |
| SMILES | Cl[Cr](Cl)Cl (무수물) |
| SMILES (육수화물) | Cl[Cr-3](Cl)([OH2+])([OH2+])([OH2+])[OH2+].[Cl-].O.O |
| InChIKey | HUQISNLCWMVGCG-DFZHHIFOAJ |
| 표준 InChI | 1S/3ClH.Cr/h3*1H;/q;;;+3/p-3 |
| 표준 InChIKey | QSWDMMVNRMROPK-UHFFFAOYSA-K |
| PubChem CID | 6452300 |
| RTECS | GB5425000 |
| Gmelin | 1890 130477 532690 |
| DrugBank | DB09129 |
2. 구조
무수 염화 크로뮴(III)은 염화 이트륨(III)/YCl3영어 구조와 거의 똑같으며,[6] Cr(3+)/Cr(3+)영어는 Cl−/Cl−영어 이온의 의사 입방 최밀 충전 격자의 교대 층에서 팔면체 틈의 1/3을 차지한다. 교대 층에 양이온이 없는 것은 인접한 층 사이의 약한 결합을 초래한다. 이러한 이유로 CrCl3/CrCl3영어의 결정은 층 사이의 평면을 따라 쉽게 벽개되어 염화 크로뮴(III) 시료가 조각상 (운모상)으로 나타난다.[7][8]
무수 CrCl3/CrCl3영어는 단층 한계까지 박리될 수 있다.[6] 9.9 GPa로 가압하면 상 전이를 겪는다.[9]
삼염화 크로뮴은 배위되는 염화물 음이온의 수와 결정수 측면에서 다른 여러 가지 화학적 형태 (이성질체)로 존재하는 다소 특이한 특성을 나타낸다. 다른 형태는 고체와 수용액 모두에 존재한다. [CrCl_{3−''q''}(H2O)_{''n''}]^{''q''+}/[CrCl_{3−''q''}(H2O)_{''n''}]^{''q''+}영어의 형태로 여러 구성원이 알려져 있다. 주요 수화물은 [CrCl2(H2O)4]Cl*2H2O/[CrCl2(H2O)4]Cl*2H2O영어이다.[10] 두 개의 다른 수화물이 알려져 있는데, 옅은 녹색의 [CrCl(H2O)5]Cl2*H2O/[CrCl(H2O)5]Cl2*H2O영어와 보라색의 [Cr(H2O)6]Cl3/[Cr(H2O)6]Cl3영어이다. 유사한 수화 이성질체 현상은 다른 크로뮴(III) 화합물에서도 나타난다.
2. 1. 결정 구조
염화 크로뮴(III)(CrCl3)의 결정 구조는 염화물 이온이 입방 최밀 충전 격자를 형성하고, Cr3+ 이온은 팔면체 틈의 1/3을 차지하는 YCl3 구조를 갖는다.[6] 인접한 층 사이에는 양이온이 없어 결합력이 약하기 때문에, 층 사이의 평면을 따라 쉽게 쪼개지는 특징을 보이며, 이는 시료가 조각상(운모상)으로 나타나는 원인이 된다.[7][8][21][22]염화 크로뮴(III)은 단층 한계까지 박리될 수 있으며,[6] 9.9 GPa의 고압 조건에서는 상 전이를 겪는다.[9] 결정은 연결되어 층을 이루는 CrCl6 팔면체 단위를 포함하며, 결정 구조 내에 나선 전위가 존재하고 금속-금속 결합은 없다. 삼요오드화 크롬과 동일한 구조이다.
2. 2. 수화물
삼염화 크로뮴 수화물은 [CrCl3−n(H2O)n]z+ 형태로 표현될 수 있으며, 다양한 이성질체가 존재한다.[23] 주요 수화물로는 보라색의 [Cr(H2O)6]Cl3, 옅은 녹색의 [CrCl(H2O)5]Cl2•(H2O), 진한 녹색의 [CrCl2(H2O)4]Cl•2(H2O) 등이 있다.[10] 이러한 다양한 형태는 고체 상태와 수용액 상태 모두에서 존재한다. 다른 크로뮴(III) 화합물에서도 유사한 수화 이성질체 현상이 나타난다. 일반적으로 입수 가능한 것은 암녹색 이성질체이다.3. 제조
무수 삼염화 크로뮴은 염소와 크롬의 결합으로 만들 수 있다.[24][25]
: 2Cr + 3 Cl 2 → 2 CrCl 3
무수 염화 크롬(III)은 염소화 반응을 통해 크롬 금속을 직접 염소화하거나, 탄소 열환원을 통해 산화 크롬(III)을 650–800°C에서 염소화하여 간접적으로 제조할 수 있다.[11][12]
: Cr2O3 + 3 C + 3 Cl2 → 2 CrCl3 + 3 CO
수화 염화물은 중크롬산염을 염산 및 수성 메탄올로 처리하여 제조한다. 무수 삼염화 크롬은 단체를 고온에서 화합하여 제조할 수 있다. 또는 800°C에서 산화 크롬과 염소를 탄소의 존재 하에 반응시켜 무수 삼염화 크롬을 얻을 수 있다.[19]
삼염화 크롬 육수화물은 650°C에서 사염화 탄소 증기와 반응하여 CrOCl을 포함하지 않는 무수 삼염화 크롬을 얻을 수 있다. 염화 티오닐에 의한 탈수도 가능하다. 삼염화 크롬 수화물은 금속 크롬을 염산과 반응시켜 얻을 수 있다.
4. 반응
크롬(III) 복합체는 반응 속도가 느린 것이 일반적이다. d3 염화 크로뮴(III) 이온의 낮은 반응성은 결정장 이론을 사용하여 설명할 수 있다. 염화 크로뮴(III)를 용액 내 치환 반응에 열어주는 한 가지 방법은 미량이라도 염화 크로뮴(II)로 환원시키는 것이다. 예를 들어 염산에 아연을 사용하는 것이다. 이 크로뮴(II) 화합물은 쉽게 치환 반응을 거치며, 염화물 가교를 통해 CrCl3와 전자를 교환하여 모든 CrCl3가 빠르게 반응하도록 한다. 일부 크로뮴(II)이 존재하면 고체 CrCl3는 물에 빠르게 용해된다. 마찬가지로, [CrCl2(H2O)4]+ 용액의 리간드 치환 반응은 크로뮴(II) 촉매에 의해 가속화된다.[13]
염화 칼륨과 같은 용융된 알칼리 금속 염화물과 함께 CrCl3는 M3[CrCl6] 및 K3[Cr2Cl9] 유형의 염을 생성하며, 이는 또한 팔면체이지만 두 개의 크로뮴이 세 개의 염화물 가교를 통해 연결되어 있다.
육수화물은 염화 티오닐로 탈수될 수도 있다:[13]
: CrCl3·6H2O + 6 SOCl2 → CrCl3 + 6 SO2 + 12 HCl
삼염화 크로뮴은 HSAB 규칙에서 루이스 산이다. d3 구조의 3가 크로뮴을 포함하며, 이는 배위자 치환 반응에 대해 불활성이다. 그 활성을 향상시키기 위해 소량의 환원제(아연/염산 등)를 첨가하면 되며, 그러면 염화 크로뮴(II)로 환원되어 신속하게 배위자 교환 반응이 일어나고, 다음에 그것이 CrCl3와 염소 가교를 통해 전자 이동을 일으켜 3가의 크로뮴 착체가 얻어지며, 결국 소량의 활성 Cr(II)을 재생하고, 모든 Cr(III)가 치환될 때까지 반응이 진행된다.
무수 삼염화 크로뮴은 거의 물에 불용성이지만, 아마도 전하 이동 복합체 가교 착체 [Cr2+-X-Cr3+…X]를 생성함으로써, 아연 등의 환원제의 존재하에서는 서서히 용해된다. 용해된 생성물은 보라색의 [Cr(H2O)6]3+ 이온이다. 배위자가 피리딘이라면 생성물은 [CrCl3(C5H5N)3]이다. 배위수 6의 Cr(III) 착체의 대부분은 팔면체 구조를 취한다.
: CrCl3 + 3C5H5N → [CrCl3(C5H5N)3]
염화 칼륨 등의 알칼리 금속 염화물과 공융하면, 삼염화 크로뮴은 팔면체형 [CrCl6]3− 이온을 생성하고, 그리고 또한 중합에 의해 생성된 Cr2Cl93− 등의 이온의 염류를 제공한다.
4. 1. 촉매 반응
크롬 (III) 복합체에서 일반적인 느린 반응 속도는 결정 장 이론을 사용하여 설명 할 수 있다.[13] Cr3+ 이온의 낮은 반응성은 결정 장 이론을 사용하여 설명 할 수 있다. 염화 크로뮴(III)를 용액 내 치환 반응에 열어주는 한 가지 방법은 미량이라도 염화 크로뮴(II)로 환원시키는 것이다. 예를 들어 염산에 아연을 사용하는 것이다. 이 크로뮴(II) 화합물은 쉽게 치환 반응을 거치며, 염화물 가교를 통해 와 전자를 교환하여 모든 가 빠르게 반응하도록 한다. 일부 크로뮴(II)이 존재하면 고체 는 물에 빠르게 용해된다. 마찬가지로, 용액의 리간드 치환 반응은 크로뮴(II) 촉매에 의해 가속화된다.[13]염화 칼륨과 같은 용융된 알칼리 금속 염화물과 함께 반응하여 M3[CrCl6] 또는 K3[Cr2Cl9]와 같은 착염을 생성할 수 있다. 이들은 팔면체 구조를 가지지만 두 개의 크로뮴이 세 개의 염화물 가교를 통해 연결되어 있다.[13]
4. 2. 유기 리간드와의 착물
는 루이스 산이며, 경질-연질 산-염기 이론에 따라 "경질"로 분류된다. 이는 형태의 다양한 부가물을 형성하며, 여기서 L은 루이스 염기이다. 예를 들어, 피리딘(C5H5N)과 반응하여 피리딘 착물을 형성한다.[14]:피리딘(C5H5N)과 반응식]
:
THF에서 트리메틸실릴클로라이드로 처리하면 무수 THF 착물이 생성된다.[14]
:THF에서 반응식]
:
배위자가 피리딘이라면 생성물은 [CrCl3(C5H5N)3]이다. 배위수 6의 Cr(III) 착체의 대부분은 팔면체 구조를 취한다.
:피리딘(C5H5N)과 반응식]
:
5. 유기 크로뮴 화합물의 전구체
염화 크로뮴(III)은 유기크로뮴 화합물의 전구체로 사용되며, 예를 들어 페로센의 유사체인 비스(벤젠)크로뮴이 있다.[15][16]
에서 파생된 포스핀 착물은 에틸렌의 1-헥센으로의 삼량체화를 촉매한다.[15][16] 무수 삼염화 크로뮴은 유기금속화학의 중요한 원료이다. 이를 원료로 페로센과 구조가 유사한 디페닐크롬 등 많은 유기 크롬 화합물을 합성할 수 있다. 삼염화 크롬은 많은 크롬(III) 착체의 출발 물질이기도 하다.
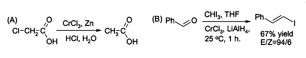
유기 합성에 있어서 CrCl3가 환원되어 생성된 CrCl2는 일반적으로 사용되는 유기 환원제 중 하나이다. 이는 (A) C-Cl 결합을 C-H 결합으로 환원할 수 있으며, (B) 알데히드와 작용하여 이를 할로겐화 알켄으로 환원할 수 있다. 두 번째 환원 반응 중에는 보통 2:1의 몰비로 삼염화 크롬과 수소화 알루미늄 리튬을 사용한다.
삼염화 크롬의 루이스 산성도는, 예를 들어 니트로소 화합물을 디엔체(친디엔체)로 사용하는 딜스-알더 반응 등, 특정 반응을 촉매하기 위해 사용할 수 있다.
6. 유기 합성에서의 활용
염화 크로뮴(III) (크로뮴(III) 염화물/Chromium(III) chloride영어)는 유기 합성에서 염화 크로뮴(II)를 ''in situ''로 제조하는 데 사용될 수 있다.[17] 이는 알킬 할라이드의 환원 및 (''E'')-알케닐 할라이드의 합성을 위한 시약이다. 이 반응은 일반적으로 1몰의 수소화 알루미늄 리튬당 2몰의 를 사용하여 수행되지만, 수성 산성 조건이 적합한 경우 아연과 염산으로 충분할 수 있다.
염화 크로뮴(III)은 또한 유기 반응에서 루이스 산으로 사용되었으며, 예를 들어 니트로소 디엘스-알더 반응을 촉매하는 데 사용되었다.[17]
7. 염료
삼염화 크로뮴은 양모 염색에 사용되는 다양한 크로뮴 함유 염료 제조에 사용된다. 일반적인 염료는 트라이아릴메탄으로, 오르토-하이드록시벤조산 유도체로 구성되어 있다.[18]
8. 주의 사항
3가 크롬은 6가 크롬보다 독성이 훨씬 덜하지만, 크롬 염은 일반적으로 유독한 것으로 간주된다. 염화 크로뮴(III) 화합물은 독성이 있다.
참조
[1]
웹사이트
Chromium(III) chloride sublimation, 99 10025-73-7
http://www.sigmaaldr[...]
[2]
웹사이트
Chromium(III) chloride hexahydrate Technipur™ {{!}} Sigma-Aldrich
https://www.sigmaald[...]
2022-08-16
[3]
Cameo Chemicals MSDS
Cameo Chemicals MSDS
https://cameochemica[...]
[4]
문서
Chromium(III) compounds [as Cr(III)]
[5]
문서
0141
[6]
논문
Mechanical exfoliation and layer number identification of single crystal monoclinic CrCl3
https://doi.org/10.1[...]
2020-07-06
[7]
서적
Greenwood&Earnshaw2nd
[8]
서적
Structural Inorganic Chemistry
Oxford University Press
1984
[9]
논문
Pressure-Induced Structural Phase Transition and Metallization of CrCl3 under Different Hydrostatic Environments up to 50.0 GPa
2022
[10]
논문
The Crystal Structure of Dichlorotetraaquochromium(III) Chloride Dihydrate: Primary and Secondary Metal Ion Hydration
1965
[11]
서적
Complexes and First-Row Transition Elements
Macmillan Press
1973
[12]
서적
Handbuch Der Präparativen Anorganischen Chemie
https://books.google[...]
Ferdinand Enke Verlag; Academic Press, Inc.
2014-01-10
[13]
서적
Inorganic Syntheses
[14]
서적
Inorganic Syntheses
[15]
논문
Advances in selective ethylene trimerisation – a critical overview
2004
[16]
논문
Thermal studies on metallacycloalkanes
2007
[17]
논문
Lewis Acid-Promoted Hetero Diels-Alder Cycloaddition of α-Acetoxynitroso Dienophiles
[18]
간행물
Triarylmethane and Diarylmethane Dyes
Wiley-VCH
2002
[19]
서적
Complexes and First-Row Transition Elements
Macmillan Press
1973
[20]
논문
Lewis Acid-Promoted Hetero Diels-Alder Cycloaddition of α-Acetoxynitroso Dienophiles
[21]
서적
Greenwood&Earnshaw2nd
[22]
서적
Structural Inorganic Chemistry
Oxford University Press
1984
[23]
논문
The Crystal Structure of Dichlorotetraaquochromium(III) Chloride Dihydrate: Primary and Secondary Metal Ion Hydration
1965
[24]
서적
Complexes and First-Row Transition Elements
Macmillan Press
1973
[25]
서적
Handbuch Der Präparativen Anorganischen Chemie
https://books.google[...]
2014-01-10
본 사이트는 AI가 위키백과와 뉴스 기사,정부 간행물,학술 논문등을 바탕으로 정보를 가공하여 제공하는 백과사전형 서비스입니다.
모든 문서는 AI에 의해 자동 생성되며, CC BY-SA 4.0 라이선스에 따라 이용할 수 있습니다.
하지만, 위키백과나 뉴스 기사 자체에 오류, 부정확한 정보, 또는 가짜 뉴스가 포함될 수 있으며, AI는 이러한 내용을 완벽하게 걸러내지 못할 수 있습니다.
따라서 제공되는 정보에 일부 오류나 편향이 있을 수 있으므로, 중요한 정보는 반드시 다른 출처를 통해 교차 검증하시기 바랍니다.
문의하기 : help@durumis.com
