질소반전
"오늘의AI위키"의 AI를 통해 더욱 풍부하고 폭넓은 지식 경험을 누리세요.
1. 개요
질소 반전은 질소 원자가 결합된 분자의 입체 구조가 바뀌는 현상으로, 특히 아민에서 빠르게 일어난다. 아민의 피라미드형 구조가 뒤집히는 과정으로, 낮은 활성화 에너지와 양자 터널링으로 인해 상온에서 매우 빠르게 진행된다. 카이랄 아민은 질소 반전으로 인해 광학 이성질체 분리가 어렵지만, 포스핀, 설포늄염, 설폭사이드는 광학적으로 안정하다. 암모니아의 반전은 1934년 마이크로파 분광법으로 처음 발견되었으며, 아지리딘 반전 연구를 통해 질소 원자 주변 환경이 반전 속도에 영향을 미친다는 것이 밝혀졌다.
더 읽어볼만한 페이지
- 아민 - 암로디핀
암로디핀은 디히드로피리딘계 칼슘 채널 차단제로, 고혈압과 협심증 치료에 사용되며 혈관을 이완시켜 혈압을 낮추고 심근으로의 산소 공급을 증가시키지만, 말초 부종이나 현기증 등의 부작용이 있을 수 있고 특정 질환에서는 사용이 금지된다. - 아민 - 케타민
케타민은 NMDA 수용체 길항제로 작용하여 진통, 마취, 항우울 효과를 나타내지만, 정신과적 부작용, 남용 가능성, 장기 사용 시 독성 위험으로 인해 엄격히 규제되는 아릴시클로헥실아민 유도체이다. - 유기화학 - 유기 화합물
유기 화합물은 탄소를 포함하는 화합물로, 과거 생기론으로 여겨졌으나 뵐러의 요소 합성으로 폐기되었고, 이후 다양한 유기 화합물 합성 및 고분자 개발에 기여했지만 환경 친화적 접근이 과제로 남아 있으며, 구조, 용도 등으로 분류되고 천연물, 합성 화합물 등으로 연구된다. - 유기화학 - 유기물
유기물은 생물체 구성 성분으로서 생태계 내에서 영양분 순환, 토양의 물리화학적 성질 개선, pH 조절 등 중요한 역할을 수행하며, 탄소, 산소, 수소, 질소 등으로 구성된 유기 화합물의 혼합물이다. - 입체화학 - 배위수
배위수는 중심 원자에 직접 결합한 이웃 원자의 총 개수를 의미하는 개념으로, 배위 화합물의 성질과 원자 배열을 이해하는 데 중요하며, 결정 구조나 리간드 종류에 따라 다양한 값을 가지고 실험적 방법이나 계산 화학을 통해 결정될 수 있다. - 입체화학 - 카이랄성
카이랄성은 거울상과 겹쳐지지 않는 성질로, 물리학, 화학, 수학, 생물학 등 다양한 분야에서 분자, 결정, 도형 등에서 관찰되며, 특히 화학에서는 거울상 이성질체 관계, 생물학에서는 특정 분자의 생명체 내 흔한 발견, 의약품 개발에서 약효 개선 및 부작용 감소 연구와 관련된다.
| 질소반전 | |
|---|---|
| 질소 반전 | |
| 다른 이름 | 아민 반전 피라미드 반전 |
| 로마자 표기 | Jilso banjeon |
| 속성 | |
| 설명 | 질소 원자에 결합된 세 개의 치환기가 질소 원자를 통과하여 "반전"하는 현상 |
| 관련 현상 | 입체화학 |
| 관련 화합물 | 아민 포스핀 |
| 메커니즘 | |
| 과정 | 질소 원자가 결합된 세 개의 치환기가 질소 원자를 통과하며, 쌍극자 모멘트는 일시적으로 0이 됨 |
| 에너지 장벽 | 6~24 kJ/mol |
| 속도 | 매우 빠름 (일반적으로 NMR로 측정 불가능) |
| 영향 | 입체 이성질체의 변환을 야기하며, 거울상 이성질체로의 변환도 가능 |
| 예시 | |
| 화합물 | 트라이메틸아민 N-메틸아제티딘 |
| 참고 문헌 | |
| 도서 | Organic Chemistry, Paula Yurkanis Bruice, 6판, ISBN 0-7506-3365-4 |
2. 아민의 피라미드 반전
이 전환은 상온에서 급격하다. 에너지 장벽 (24.2 kJ/mol) 이 낮고 장벽이 좁아서 양자 터널링이 자주 일어난다. 포스핀 (PH3)의 반전은 상온에서 아주 느리다.(에너지 장벽: 132 kJ/mol).[2]
2. 1. 에너지 장벽과 반전 속도
질소 반전은 상온에서 빠르게 일어난다. 낮은 에너지 장벽(24.2 kJ/mol)과 좁은 장벽으로 인해 양자 터널링이 자주 발생한다.[2] 반면, 포스핀(PH3)의 반전은 에너지 장벽(132 kJ/mol)이 높아 상온에서 매우 느리게 진행된다.[2]2. 2. 광학 이성질체
RR′R"N과 RR′NH 꼴의 아민은 카이랄이지만 서로 빨리 전환되어 분리가 안된다.(RR′R″HN+ 및 RR′R″R‴N+ 꼴의 암모늄염과 RR′HNO 및 RR′R″NO 꼴의 산화 아민이 광학활성 안정한 것과 대비된다.). 카이랄 포스핀, (RR′R″P and RR′PH), 설포늄염 (RR′R″S+), 설폭사이드 (RR′SO)는 대조적으로 광학안정하다.3. 아민 반전의 발견과 연구
암모니아의 반전은 1934년, 마이크로파 분광법을 통하여 발견되었다.[3]
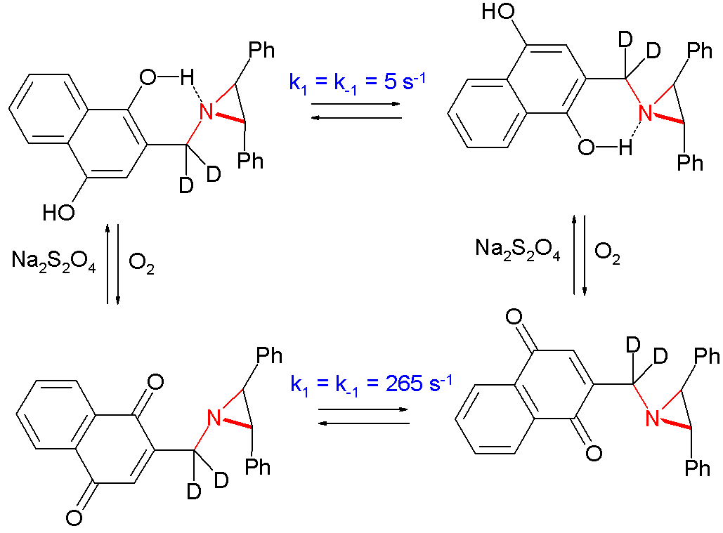
한 연구에 따르면, 산화된 히드로퀴논과 비교했을 때, 질소 원자를 페놀 알코올기의 가까이에 배치하는 것으로, 아지리딘의 반전이 약 50배 늦춰졌다.[4] 이 계는 산소에 의한 산화 및 아이티온산 나트륨에 의한 환원에 따라 상호변환한다.
3. 1. 아지리딘 반전 연구
한 연구에 따르면, 산화된 히드로퀴논과 비교했을 때, 질소 원자를 페놀 알코올기의 가까이에 배치하는 것으로, 아지리딘의 반전이 약 50배 늦춰졌다.[4] 이 계는 산소에 의한 산화 및 아이티온산 나트륨에 의한 환원에 따라 상호변환한다.
4. 아민 반전의 응용
참조
[1]
서적
Chemistry of the Elements
Butterworth-Heinemann
1997
[2]
논문
An ab initio investigation of structure and inversion barrier of triisopropylamine and related amines and phosphines
[3]
저널
Electromagnetic waves of 1.1 cm wave-length and the absorption spectrum of ammonia
[4]
논문
Control of Pyramidal Inversion Rates by Redox Switching
본 사이트는 AI가 위키백과와 뉴스 기사,정부 간행물,학술 논문등을 바탕으로 정보를 가공하여 제공하는 백과사전형 서비스입니다.
모든 문서는 AI에 의해 자동 생성되며, CC BY-SA 4.0 라이선스에 따라 이용할 수 있습니다.
하지만, 위키백과나 뉴스 기사 자체에 오류, 부정확한 정보, 또는 가짜 뉴스가 포함될 수 있으며, AI는 이러한 내용을 완벽하게 걸러내지 못할 수 있습니다.
따라서 제공되는 정보에 일부 오류나 편향이 있을 수 있으므로, 중요한 정보는 반드시 다른 출처를 통해 교차 검증하시기 바랍니다.
문의하기 : help@durumis.com