아노머
"오늘의AI위키"의 AI를 통해 더욱 풍부하고 폭넓은 지식 경험을 누리세요.
1. 개요
아노머는 아노머 중심과 아노머 기준 원자의 입체화학적 관계에 따라 α 또는 β로 명명되는 이성질체를 의미한다. 헤미아세탈에서 아노머 중심은 1번 탄소이며, 고리형 구조에서 아노머 중심의 고리 바깥쪽 산소 원자와 아노머 기준 원자의 하이드록시기의 상대적인 위치에 따라 α-아노머와 β-아노머로 구분된다. 아노머화는 한 아노머가 다른 아노머로 변환되는 과정으로, 환원당에서 변광회전으로 불리며, 산이나 염기에 의해 촉매된다. 아노머의 안정성은 아노머 효과, 1,3-이축방향 상호작용, 수소 결합, 쌍극자 반발력 등의 요인에 의해 영향을 받으며, D-만노피라노스와 D-글루코피라노스 등 당의 종류에 따라 안정한 아노머가 다르다.
더 읽어볼만한 페이지
- 단당류 - 케토스
케토스는 분자 구조 내에 케톤기를 가진 단당류로, 탄소 원자 수에 따라 다양한 종류가 있으며, 광합성과 에너지 대사 등 생체 내 중요한 역할을 하고 알도스와 구별되는 특징을 가진다. - 단당류 - 당화
당화는 아밀라아제 효소나 산을 이용하여 다당류인 전분을 단당류 또는 이당류로 분해하는 과정으로, 전통적인 방법으로는 누룩이나 맥아를 사용하여 일본주, 소주, 맥주, 위스키, 엿, 감주 등 다양한 식품 및 주류 제조에 활용된다. - 탄수화물 화학 - 당단백질
당단백질은 탄수화물이 단백질에 공유결합된 복합체로, 다양한 형태로 존재하며 세포의 생물학적 과정에서 구조 유지, 물질 수송, 면역 반응, 세포 부착 및 인식 등 다양한 기능을 수행하는 생체 분자이다. - 탄수화물 화학 - 당화
당화는 아밀라아제 효소나 산을 이용하여 다당류인 전분을 단당류 또는 이당류로 분해하는 과정으로, 전통적인 방법으로는 누룩이나 맥아를 사용하여 일본주, 소주, 맥주, 위스키, 엿, 감주 등 다양한 식품 및 주류 제조에 활용된다. - 입체화학 - 배위수
배위수는 중심 원자에 직접 결합한 이웃 원자의 총 개수를 의미하는 개념으로, 배위 화합물의 성질과 원자 배열을 이해하는 데 중요하며, 결정 구조나 리간드 종류에 따라 다양한 값을 가지고 실험적 방법이나 계산 화학을 통해 결정될 수 있다. - 입체화학 - 카이랄성
카이랄성은 거울상과 겹쳐지지 않는 성질로, 물리학, 화학, 수학, 생물학 등 다양한 분야에서 분자, 결정, 도형 등에서 관찰되며, 특히 화학에서는 거울상 이성질체 관계, 생물학에서는 특정 분자의 생명체 내 흔한 발견, 의약품 개발에서 약효 개선 및 부작용 감소 연구와 관련된다.
2. 명명법
아노머 중심과 아노머 기준 원자 사이의 입체배치 관계에 따라 α-아노머 또는 β-아노머로 정해지며, 이들은 부분입체 이성질체이다.[10][2][5]
- 아노머 중심: 헤미아세탈에서는 아노머 탄소인 1번 탄소(C-1)이다. 헤미케탈에서는 케톤의 카보닐 탄소에서 유래한 탄소이다(예: D-프럭토스의 2번 탄소).
- 아노머 기준 원자: 알도헥소스에서는 고리 내에서 아노머 탄소로부터 가장 멀리 떨어진 입체 중심이다. 이 원자는 당을 D-형 또는 L-형으로 정의하는 기준이 된다. 예를 들어, α-D-글루코피라노스에서 아노머 기준 원자는 5번 탄소(C-5)이다.
아노머를 명명하는 방법은 다음과 같다.
1. 피셔 투영식 기준: 고리형 피셔 투영식[11][3][6]에서 아노머 중심의 고리 바깥쪽 산소 원자와 아노머 기준 원자의 고리 바깥쪽 산소 원자(하이드록시기)가 시스(같은 쪽) 관계이면 α-아노머이고, 트랜스(다른 쪽) 관계이면 β-아노머이다.[12][4][7]
2. 절대 입체 배치 기준: 아노머 탄소와 아노머 기준 원자의 절대 입체 배치를 규칙에 따라 결정했을 때, 두 원자의 입체 배치가 서로 다르면(S,R 또는 R,S) α-아노머이고, 같으면(R,R 또는 S,S) β-아노머이다.
- 예시: α-D-글루코피라노스는 C-1(S)과 C-5(R)에서 서로 다른 입체 배치를 가지므로 α-아노머이다. 반면, β-D-글루코피라노스는 C-1(R)과 C-5(R)에서 같은 입체 배치를 가지므로 β-아노머이다.
- 예시: α-L-아라비노피라노스는 C-1(R)과 C-4(S)에서 서로 다른 입체 배치를 가지므로 α-아노머이다. (L-아라비노스의 기준 원자는 C-4이다.)
아노머화는 한 아노머가 다른 아노머로 전환되는 과정이다. 환원당의 경우, 아노머화는 변광회전(mutarotation영어)이라고도 불리며, 수용액에서 쉽게 일어나고 산과 염기에 의해 촉매된다. 이 과정은 가역적이어서, 결국 α-아노머와 β-아노머가 일정한 비율로 섞인 평형 상태의 혼합물을 형성하게 된다.
3. 아노머화
α-아노머와 β-아노머의 평형 비율은 당의 종류에 따라 고유하다. 예를 들어, D-글루코스는 처음 어떤 입체배치로 시작하든 상관없이, 수용액 상태에서 점차적으로 약 64%의 β-D-글루코피라노스와 36%의 α-D-글루코피라노스가 섞인 혼합물 상태로 평형에 도달한다. 이렇게 아노머의 비율이 변하면서 혼합물의 광학 활성(선광도)이 변하는 현상이 바로 변광회전이다. 아노머화가 일어나는 자세한 메커니즘은 하위 문단에서 설명한다.
3. 1. 아노머화의 메커니즘
아노머화(anomerization)는 한 아노머가 다른 아노머로 변환되는 과정이다.
당은 주로 고리형 구조로 존재하지만, 수용액에서는 사슬형 구조와 평형 상태를 이룬다. 알도헥소스의 경우, 이 평형은 1번 탄소(C-1)와 5번 탄소(C-5)의 산소 원자 사이에 헤미아세탈 결합이 분해되어 사슬형 구조를 형성하고, 다시 결합하여 고리형 구조를 형성하는 과정을 통해 이루어진다. 헤미아세탈 결합이 다시 형성될 때, C-5의 하이드록시기(OH기)는 C-1의 알데하이드기의 입체화학적으로 구별되는 두 면 중 하나를 공격할 수 있다. 어느 쪽 면을 공격하는지에 따라 α-아노머 또는 β-아노머가 형성된다.
환원당의 경우, 아노머화는 용액 속에서 빠르게 일어나며, 이 가역적인 과정은 두 아노머가 일정한 비율로 섞인 평형 상태의 혼합물을 만든다. 이 비율은 당의 종류에 따라 다르다. 예를 들어, D-글루코스는 어떤 입체 배치로 시작하든 용액 속에서 점차 β-D-글루코피라노스 약 64%와 α-D-글루코피라노스 약 36%의 혼합물이 된다. 아노머 비율이 변하면서 선광도가 변하는 현상을 변선광이라고 한다.
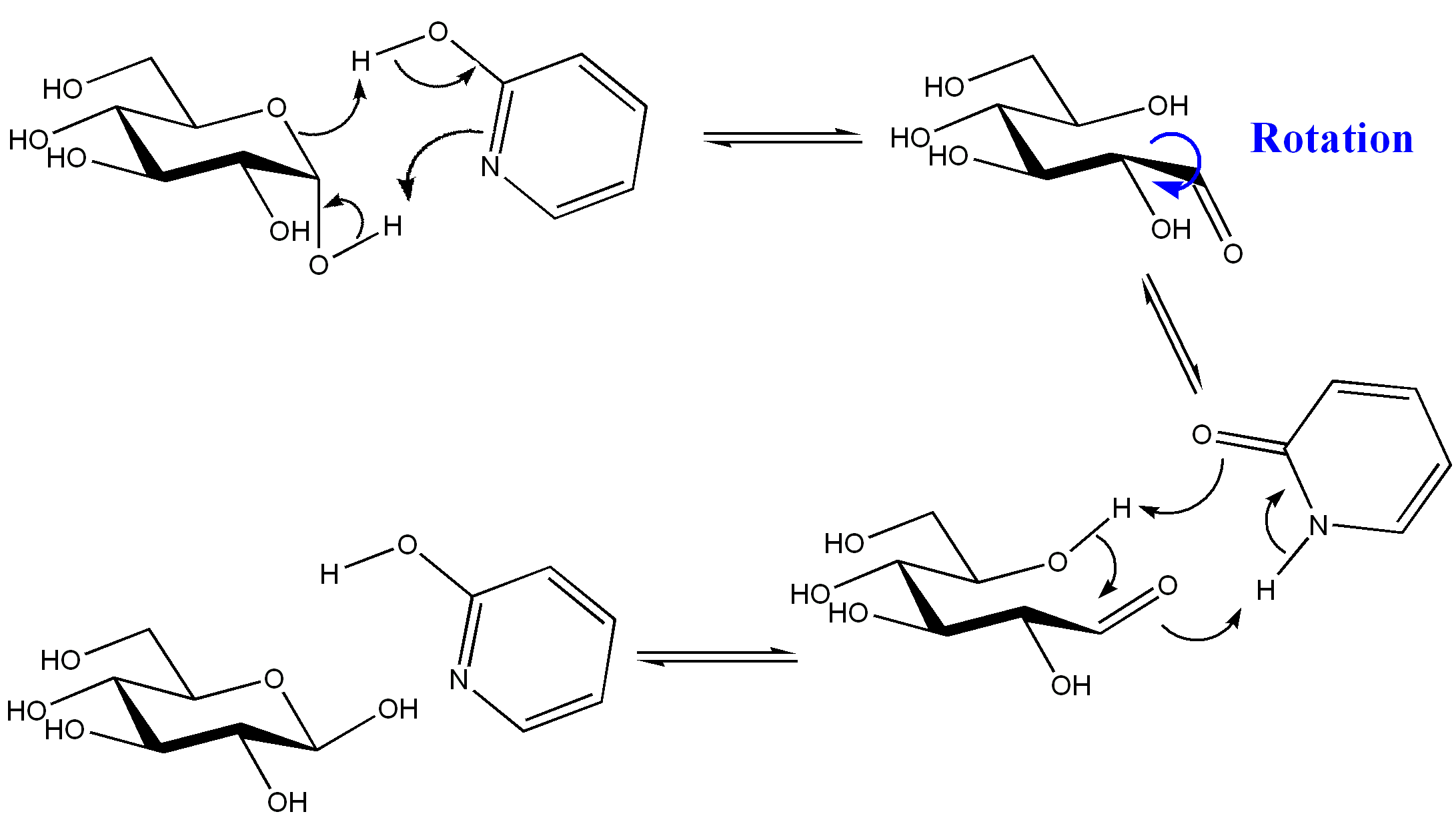
글리코사이드의 아노머화는 일반적으로 산성 조건에서 일어난다. 이 과정은 보통 다음 단계를 거친다: 고리 외부 아세탈 산소의 양성자화, 알코올이 떨어져 나가면서 옥소카르베늄 이온 형성, 형성된 옥소카르베늄 이온의 반대쪽 면에서 알코올에 의한 친핵성 공격, 마지막으로 탈양성자화.
만약 이 반응이 2-피리돈과 같은 양쪽성 용매 속에서 일어나면, 아노머화 속도는 더욱 빨라진다[8].
4. 물리적 특성 및 안정성
α-아노머와 β-아노머는 서로 부분입체 이성질체 관계이므로, 물리적 및 화학적 특성이 다르다. 아노머의 안정성은 다음과 같은 여러 요인에 의해 결정된다.
- 아노머 효과: 고리 내 산소나 질소 원자와 같이 전자를 끌어당기는 작용기가 축 방향(axial)에 위치할 때 아노머를 안정화시키는 효과이다. 이 효과는 물과 같은 극성 용매에서는 약해지거나 사라진다.
- 1,3-이축방향 상호작용: 아노머 그룹이 축 방향에 위치할 때 발생하는 원자들 간의 공간적 겹침에 의한 반발력(입체 장애)으로, 아노머를 불안정하게 만든다. 이 효과는 특히 피라노스와 같은 6원자 고리 화합물에서 중요하며, 수용액에서 중요한 요인으로 작용한다.
- 수소 결합: 아노머 그룹과 고리 내 다른 작용기 사이에 수소 결합이 형성되면 아노머를 안정화시킬 수 있다.
- 쌍극자 반발: 아노머 그룹과 고리 내 다른 작용기 사이의 쌍극자 모멘트가 서로 반발하면 아노머를 불안정하게 만들 수 있다.
예를 들어, D-글루코피라노시드의 경우 수용액에서 β-아노머가 더 안정하다. 이는 주로 β-아노머에서는 불안정화 요인인 1,3-이축방향 상호작용이 없기 때문이다. 반면 D-만노피라노스의 경우 α-아노머가 더 안정하다. 이는 α-아노머 형태에서 아노머 위치의 하이드록실기와 인접한 탄소의 하이드록실기 간의 쌍극자 반발을 피할 수 있기 때문이다.
아노머는 서로 물리적 특성이 다르므로, 이를 구별하고 연구하는 데 비선광도가 중요한 지표로 사용된다. 비선광도는 편광계를 이용하여 측정할 수 있다.
참조
[1]
서적
Organic Chemistry
McGraw-Hill Higher Education
[2]
간행물
α (alpha), β (beta)
[3]
웹사이트
Chemistry - Queen Mary University of London
http://www.chem.qmul[...]
[4]
간행물
Nomenclature of Carbohydrates (Recommendations 1996)
http://www.chem.qmul[...]
2010-10-27
[5]
서적
Compendium of Chemical Terminology, 2nd ed. (the "Gold Book")
Blackwell Scientific Publications
[6]
웹사이트
Nomenclature of Carbohydrates (Recommendations 1996)
http://www.chem.qmul[...]
2011-11-07
[7]
논문
Nomenclature of Carbohydrates (Recommendations 1996)
http://www.iupac.org[...]
[8]
논문
Pyranose mutarotation
[9]
서적
Organic Chemistry, McGraw-Hill Higher Education press
[10]
간행물
α (alpha), β (beta)
http://goldbook.iupa[...]
IUPAC Gold Book
2016-11-22
[11]
URL
http://www.chem.qmul[...]
[12]
간행물
Nomenclature of Carbohydrates (Recommendations 1996)
http://www.chem.qmul[...]
2017-06-08
본 사이트는 AI가 위키백과와 뉴스 기사,정부 간행물,학술 논문등을 바탕으로 정보를 가공하여 제공하는 백과사전형 서비스입니다.
모든 문서는 AI에 의해 자동 생성되며, CC BY-SA 4.0 라이선스에 따라 이용할 수 있습니다.
하지만, 위키백과나 뉴스 기사 자체에 오류, 부정확한 정보, 또는 가짜 뉴스가 포함될 수 있으며, AI는 이러한 내용을 완벽하게 걸러내지 못할 수 있습니다.
따라서 제공되는 정보에 일부 오류나 편향이 있을 수 있으므로, 중요한 정보는 반드시 다른 출처를 통해 교차 검증하시기 바랍니다.
문의하기 : help@durumis.com



