카보닐기
"오늘의AI위키"의 AI를 통해 더욱 풍부하고 폭넓은 지식 경험을 누리세요.
1. 개요
카보닐기는 탄소 원자가 산소 원자와 이중 결합을 이루는 작용기로, 유기화학에서 다양한 종류의 화합물을 특징짓는다. 카보닐기를 포함하는 화합물에는 알데하이드, 케톤, 카복실산, 에스터, 아마이드 등이 있으며, 이 외에도 요소, 탄산, 이산화 탄소 등 다양한 유기 및 무기 화합물이 존재한다. 카보닐 탄소는 친전자성을 띠며 친핵체의 공격을 받아 첨가 반응을 중심으로 다양한 반응을 일으킨다. 적외선 분광법에서 C=O 이중 결합은 특정 파장에서 적외선을 흡수하며, 핵자기 공명 분광법에서는 주변 원자에 따라 다른 공명을 나타낸다.
카보닐기(-C=O)를 포함하는 화합물을 카보닐 화합물이라고 하며, 유기화학과 무기화학 모두에 존재한다. 유기 카보닐 화합물에는 알데하이드, 케톤, 카복실산, 에스터, 아마이드 외에도 요소, 카르밤산염, 염화 아실 유도체, 탄산 에스터, 싸이오에스터, 락톤, 락탐, 하이드록삼산염, 아이소사이안산염 등이 있다. 무기 카보닐 화합물에는 이산화 탄소 및 황화 카보닐 등이 있다.
2. 카보닐 화합물의 종류
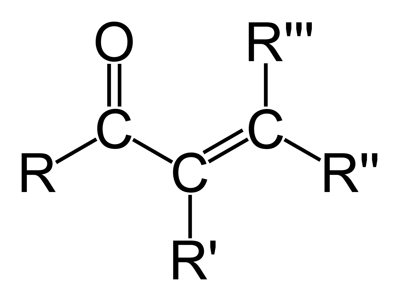
화합물 구조 일반식 알데하이드 RCHO 케톤 RCOR' 카복실산 RCOOH 카복실산 에스터 RCOOR' 아마이드 RCONR 에논 
RC(O)C(RCRR''' 아실 할라이드 RCOX 산 무수물 
(RCO)2O 이미드 
RC(O)N(RC(O)R
다이카보닐 화합물은 카보닐 화합물의 특별한 부류로, 특별한 성질을 나타내기도 한다.
2. 1. 알데하이드와 케톤
알데하이드와 케톤은 카보닐기에 알킬기 또는 아릴기가 결합된 가장 간단한 형태의 카보닐 화합물이다.
2. 2. 카복실산 및 유도체
카복실산은 카보닐기에 수산화기(-OH)가 붙은 형태(RCOOH)이다. 카복실산의 유도체로는 에스터(RCOOR'), 아마이드(RCONR'R'') 등이 있다.
2. 3. 기타 카보닐 화합물
카보닐기(-C=O)를 포함하는 다양한 화합물들을 카보닐 화합물이라고 한다.| 화합물 | 구조 | 일반식 |
|---|---|---|
| 알데하이드 | RCHO | |
| 케톤 | RCOR' | |
| 카복실산 | RCOOH | |
| 카복실산 에스터 | RCOOR' | |
| 아마이드 | RCONR | |
| 에논 | RC(O)C(RCRR''' | |
| 아실 할라이드 | RCOX | |
| 산 무수물 | (RCO)2O | |
| 이미드 | RC(O)N(RC(O)R |
다른 유기 카보닐 화합물로는 요소, 카르밤산염, 염화 아실, 클로로폼산염 및 포스젠의 유도체, 탄산 에스터, 싸이오에스터, 락톤, 락탐, 하이드록삼산염, 아이소사이안산염가 있다. 무기 카보닐 화합물의 예에는 이산화 탄소 및 황화 카보닐이 있다.
카보닐 화합물의 특별한 부류는 특별한 성질을 나타낼 수 있는 다이카보닐 화합물이다.
3. 카보닐 화합물의 구조 및 반응성
유기 화합물의 경우 C–O 결합의 길이는 120 pm에서 크게 벗어나지 않는다. 무기 카보닐 화합물은 C–O 거리가 더 짧다(CO는 113 pm, CO2는 116 pm, COCl2는 116 pm).[12]
카보닐 탄소는 일반적으로 친전자성을 가지며, 이웃한 산소 원자가 갖는 전자 끄는 성질 때문에 약한 양전하를 띠고 친핵체의 공격을 받아 첨가 반응을 중심으로 다양한 반응을 일으킨다.
콜라겐 연구에서 카보닐기와 다른 치환기 사이의 상호 작용이 발견되었다.[3] 치환기는 시그마 결합을 통해 전자 밀도의 첨가 또는 제거를 통해 카보닐기에 영향을 줄 수 있다.[4] 카보닐기에 있는 치환기가 탄소보다 전기음성도가 클 때 Δ''H''σ 값이 훨씬 더 크다.[4]
카보닐 화합물은 다음과 같은 반응을 한다.3. 1. 친전자성
카보닐 탄소는 일반적으로 친전자성을 띤다. 친전자성의 정도는 알데하이드(RCHO) > 케톤(R2CO) > 에스터(RCO2R') > 아마이드(RCONH2) 순서로 강하다. 다양한 친핵체가 카보닐 탄소와 산소 사이의 이중 결합을 공격한다.
C=O 결합의 극성은 인접한 C-H 결합의 산성도를 증가시킨다. 카보닐 탄소의 양전하와 산소의 음전하 때문에, 카보닐기는 첨가 반응 및 친핵성 공격을 받는다. 다양한 친핵체가 탄소-산소 이중 결합을 공격하여 첨가-제거 반응을 일으킨다. 친핵성 반응은 보통 친핵체의 염기도에 비례하며, 친핵성이 증가함에 따라 카보닐 화합물 내의 안정성은 감소한다.[13] 알데하이드와 아세톤의 pKa 값은 각각 16.7과 19이다.[14]
3. 2. 산성도
C=O 결합의 극성은 인접한 C-H 결합의 산도를 증가시킨다. 탄소의 양전하와 산소의 음전하 때문에 카보닐기는 첨가 및 친핵성 공격을 받는다. 다양한 친핵체가 공격하여 탄소-산소 이중 결합을 끊고 첨가-제거 반응을 일으킨다. 친핵성 반응은 보통 친핵체의 염기도에 비례하며 친핵성이 증가함에 따라 카보닐 화합물 내의 안정성이 감소한다.[13] pKa 값은 알데하이드가 16.7, 아세톤이 19이다.[14]
3. 3. 친핵성 첨가 반응
카보닐 탄소는 일반적으로 친전자성을 띤다. 친전자성의 순서는 알데하이드(RCHO) > 케톤(R2CO) > 에스터(RCO2R') > 아마이드(RCONH2)이다. 다양한 친핵체가 공격하여 탄소-산소 이중 결합을 끊는다.
C=O 결합의 극성은 인접한 C-H 결합의 산도를 증가시킨다. 탄소의 양전하와 산소의 음전하로 인해 카보닐기는 첨가 및 친핵성 공격을 받는다. 다양한 친핵체가 공격하여 탄소-산소 이중 결합을 끊고 부가-제거 반응을 일으킨다. 친핵성 반응은 보통 친핵체의 염기도에 비례하며 친핵성이 증가함에 따라 카보닐 화합물 내의 안정성이 감소한다.[13] pKa값은 알데하이드가 16.7, 아세톤이 19이다.[14]
카보닐기의 탄소 원자를 특히 '''카보닐 탄소'''라고 부른다. 이웃한 산소 원자가 갖는 전자 끄는 성질 때문에 이 탄소 원자는 약한 양전하를 띠며, 친핵체의 공격을 받아 첨가 반응을 중심으로 다양한 반응을 일으킨다.
4. 카보닐 화합물의 분광학적 분석
카보닐 화합물은 분광학적 분석을 통해 그 특성을 파악할 수 있다.
적외선 분광법(IR)에서 C=O 이중 결합은 약 1600~1900 cm-1의 파수에서 강한 흡수를 보인다.[15][7] 핵자기 공명 분광법(NMR)에서 카보닐 탄소의 13C NMR 신호는 160~220 ppm 범위에서 나타난다.[9]
4. 1. 적외선 분광법(IR)
C=O 이중 결합은 약 1600~1900 cm-1 (5263 nm ~ 6250 nm)의 파수에서 적외선을 흡수한다. 흡수의 정확한 위치는 분자의 기하학적 구조와 관련하여 잘 이해되고 있다. 이 흡수는 적외선 흡수 스펙트럼에 표시될 때 "카보닐 스트레치(carbonyl stretch)" 또는 "카르보닐 신축 진동"으로 알려져 있다.[15][7] 또한 물에서 프로파논의 자외선-가시광선 스펙트럼은 257 nm에서 카보닐의 흡수를 나타낸다.[16][8]4. 2. 핵자기 공명 분광법(NMR)
C=O 이중 결합은 주변 원자에 따라 다른 공명을 나타내며, 일반적으로 저자장 이동을 보인다. 카보닐 탄소의 13C NMR은 160~220 ppm 범위에 있다.[9]참조
[1]
서적
The Carbonyl Group
John Wiley & Sons
[1]
서적
The Carbonyl Group
John Wiley & Sons
[2]
서적
The Carbonyl Group
John Wiley & Sons
[3]
저널
The n→π* Interaction
2017-08-15
[4]
저널
The Interaction of Carbonyl Groups with Substituents
https://pubs.acs.org[...]
1999-11-01
[5]
저널
Thiol Addition to the Carbonyl Group. Equilibria and Kinetics1
http://dx.doi.org/10[...]
1966-09-01
[6]
서적
Organic Chemistry
Prentice-Hall, Inc.
[7]
서적
Course Notes On The Interpretation of Infrared and Raman Spectra
John Wiley & Sons Inc
[8]
웹사이트
Archived copy
http://media.rsc.org[...]
2015-07-11
[9]
웹사이트
NMR Spectroscopy. 13C NMR
https://organicchemi[...]
2021-10-20
[10]
웹사이트
公益社団法人日本化学会 {{!}} 活動 {{!}} 高等学校化学で用いる用語に関する提案(2)
https://www.chemistr[...]
日本化学会
2016-02-26
[11]
서적
The Carbonyl Group
John Wiley & Sons
[11]
서적
The Carbonyl Group
John Wiley & Sons
[12]
서적
The Carbonyl Group
John Wiley & Sons
[13]
저널
Thiol Addition to the Carbonyl Group. Equilibria and Kinetics1
http://dx.doi.org/10[...]
1966-09-01
[14]
서적
Organic Chemistry
Prentice-Hall, Inc.
[15]
서적
Course Notes On The Interpretation of Infrared and Raman Spectra
John Wiley & Sons Inc
[16]
웹사이트
Archived copy
http://media.rsc.org[...]
2015-07-11
본 사이트는 AI가 위키백과와 뉴스 기사,정부 간행물,학술 논문등을 바탕으로 정보를 가공하여 제공하는 백과사전형 서비스입니다.
모든 문서는 AI에 의해 자동 생성되며, CC BY-SA 4.0 라이선스에 따라 이용할 수 있습니다.
하지만, 위키백과나 뉴스 기사 자체에 오류, 부정확한 정보, 또는 가짜 뉴스가 포함될 수 있으며, AI는 이러한 내용을 완벽하게 걸러내지 못할 수 있습니다.
따라서 제공되는 정보에 일부 오류나 편향이 있을 수 있으므로, 중요한 정보는 반드시 다른 출처를 통해 교차 검증하시기 바랍니다.
문의하기 : help@durumis.com