정교화 가능성 모델
"오늘의AI위키"의 AI를 통해 더욱 풍부하고 폭넓은 지식 경험을 누리세요.
1. 개요
정교화 가능성 모델(ELM)은 태도 변화에 대한 일반적인 이론으로, 리처드 E. 페티와 존 T. 카시오포가 개발했다. 이 모델은 설득 커뮤니케이션의 효과를 설명하며, 태도와 설득에 대한 기존 연구를 바탕으로 발전했다. ELM은 사람이 메시지를 처리하는 두 가지 경로, 즉 중심 경로와 주변 경로를 제시한다. 중심 경로는 메시지에 대한 신중한 고려를 통해 태도 변화를 유도하며, 주변 경로는 단서에 의존한다. 모델은 동기 부여와 능력, 그리고 변수의 역할에 따라 설득의 경로가 결정된다고 설명하며, 광고, 마케팅, 건강 관리, 정치 등 다양한 분야에 적용된다.
더 읽어볼만한 페이지
- 태도 변화 - 티핑 포인트
티핑 포인트는 균형 상태의 시스템이 작은 변화로 인해 갑작스럽고 극적인 변화를 겪는 지점을 의미하며, 사회 현상에서 극적인 변화나 사회적 인식 전환 등을 설명하는 데 사용되고, 말콤 글래드웰의 저서를 통해 대중화되었다. - 태도 변화 - 인지부조화
인지 부조화는 상반된 믿음이나 정보 간의 충돌로 발생하는 정신적 불편함이며, 사람들은 이를 해소하기 위해 인지를 변화시켜 조화를 추구한다는 이론이다. - 광고 - 타겟 광고
타겟 광고는 소비자 집단의 특성에 맞춰 광고를 제공하여 효율성을 높이는 방식이며, 웹사이트 방문 기록, 검색어, 소셜 미디어 활동 등 다양한 정보를 분석하여 개인별 맞춤 광고를 제공하고, 소셜 미디어, 텔레비전, 모바일 기기, 검색 엔진 등 다양한 플랫폼에서 활용되지만 개인 정보 보호 문제와 같은 윤리적 논란도 존재한다. - 광고 - 포스터
포스터는 시각적 이미지와 텍스트를 활용해 정보를 전달하고 홍보하는 인쇄 매체로서, 인쇄 기술 발전에 따라 예술적 가치를 지니게 되었으며, 다양한 분야에서 활용되다가 1960년대 부활하여 디자인과 시대상을 반영하는 수집품으로서의 가치도 지닌다.
2. 역사적 배경
리처드 E. 페티와 존 T. 카시오포는 태도 변화에 대한 일반적인 이론인 정교화 가능성 모델(ELM)을 개발하면서, 설득 커뮤니케이션의 효과를 뒷받침하는 기본적인 과정을 정리, 분류, 이해하기 위한 "프레임워크"를 제공하고자 했다.[2]
페티와 카시오포는 심리학적 태도와 설득에 대한 연구자들이, 수용자 측의 태도 변화에 있어 주변 상황에 따른 영향의 크기와 관련된 문제에 직면하고 있음을 인식했다.[118] 이들은 이러한 문제를 해결하고, 설득에 의한 태도 변화의 지속성 차이를 설명하기 위해 정교화 가능성 모델을 제창했다.
2. 1. 초기 연구
태도와 설득에 대한 연구는 사회 심리학의 핵심 주제였으며, 심리학자 고든 올포트와 에드워드 앨스워스 로스의 연구에서 두드러지게 나타났다. 올포트는 태도를 "현대 사회 심리학에서 가장 독특하고 필수적인 개념"이라고 묘사했다.[3] 1930년대부터 1970년대 후반까지 태도와 설득에 대한 상당한 연구가 이루어졌다. 이러한 연구는 태도와 행동 간의 일치성[4][5] 및 태도/행동 일치를 뒷받침하는 과정과 같이 태도와 설득에 관한 다양한 관련 문제에 착수했다.[6] 그러나 페티와 카시오포는 태도 및 설득 연구자들이 "전통적인 출처, 메시지, 수신자 및 채널 변수가 태도 변화에 영향을 미치는지, 언제, 그리고 어떻게 영향을 미치는지"에 대한 최소한의 합의에 도달하지 못했다는 주요 문제에 직면했음을 발견했다.[7] 이러한 문제를 인식한 페티와 카시오포는 커뮤니케이션으로 유도된 태도 변화의 차별적 지속성을 설명하기 위해 정교화 가능성 모델을 개발했다. 페티와 카시오포는 태도 지속성에 대한 다양한 실증적 발견과 이론을 설득에 이르는 두 가지 경로 중 하나를 강조하는 것으로 볼 수 있으며, 이를 정교화 가능성 모델에서 제시했다.2. 2. 모델 개발
정교화 가능성 모델(ELM)은 태도 변화에 대한 일반적인 이론이다. 이 모델을 개발한 리처드 E. 페티와 존 T. 카시오포는 설득 커뮤니케이션의 효과를 뒷받침하는 기본적인 과정을 정리, 분류, 이해하기 위한 일반적인 "프레임워크"를 제공하고자 했다.[2]태도와 설득에 대한 연구는 사회 심리학의 핵심 초점이 되었으며, 심리학자 고든 올포트와 에드워드 앨스워스 로스의 연구에서 두드러지게 나타났다. 올포트는 태도를 "현대 사회 심리학에서 가장 독특하고 필수적인 개념"이라고 묘사했다.[3] 1930년대부터 1970년대 후반까지 태도와 설득에 대한 상당한 연구가 이루어졌다. 이러한 연구는 태도와 행동 간의 일치성[4][5] 및 태도/행동 일치를 뒷받침하는 과정과 같이 태도와 설득에 관한 다양한 관련 문제에 착수했다.[6] 그러나 페티와 카시오포는 "전통적인 출처, 메시지, 수신자 및 채널 변수가 태도 변화에 영향을 미치는지, 언제, 그리고 어떻게 영향을 미치는지"에 대한 최소한의 합의가 이루어지지 않는다는 문제에 직면한 태도 및 설득 연구자들의 주요 문제를 발견했다.[7] 이러한 문제를 인식한 페티와 카시오포는 커뮤니케이션으로 유도된 태도 변화의 차별적 지속성을 설명하기 위해 정교화 가능성 모델을 개발했다. 페티와 카시오포는 태도 지속성에 대한 다양한 실증적 발견과 이론을 설득에 이르는 두 가지 경로 중 하나를 강조하는 것으로 볼 수 있으며, 이를 정교화 가능성 모델에서 제시했다.
3. 핵심 개념
정교화 가능성 모델(ELM)은 태도 변화에 관한 일반적인 이론이다. 이 모델은 리처드 E. 페티와 존 T. 카시오포가 설득 커뮤니케이션의 효과를 설명하기 위해 개발했다.[2]
태도와 설득에 대한 연구는 사회 심리학에서 고든 올포트와 에드워드 앨스워스 로스의 연구를 통해 중요하게 다루어졌다. 올포트는 태도를 "현대 사회 심리학에서 가장 독특하고 필수적인 개념"이라고 설명했다.[3] 1930년대부터 1970년대 후반까지 태도와 설득에 대한 많은 연구가 이루어졌으며, 태도와 행동 간의 일치성[4][5]등의 문제가 연구되었다.[6] 그러나 페티와 카시오포는 설득 연구자들이 "어떻게 태도 변화에 영향을 미치는지"에 대한 합의를 이루지 못하는 문제에 직면했다고 보았다.[7]
ELM은 이러한 문제를 해결하기 위해 개발되었으며, 페티와 카시오포는 태도 지속성에 대한 다양한 발견과 이론을 설득에 이르는 두 가지 경로, 즉 중심 경로와 주변 경로 중 하나를 강조하는 것으로 보았다.
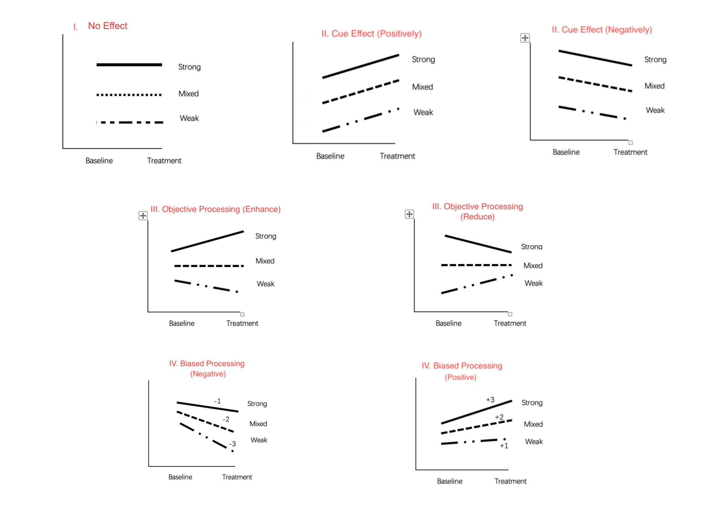
ELM의 네 가지 핵심 개념은 다음과 같다.[9]
# 사람이 어떤 의사소통에 직면했을 때, 낮은 수준의 사고(낮은 정교화)에서 높은 수준의 사고(높은 정교화)에 이르기까지 다양한 수준으로 사고(정교화)하여 의사소통을 처리한다.
# 설득에서 사용되는 사고의 정도가 결과적인 태도가 얼마나 중요한지를 결정한다. 중심 경로를 통해 형성된 태도는 시간이 지나도 지속되고 설득에 저항하며, 주변 경로를 통해 형성된 태도보다 다른 판단과 행동을 더 크게 유도한다.
# 주어진 변수가 설득에서 여러 역할을 할 수 있다.
# 변수가 작용하는 구체적인 역할이 정교화의 정도에 의해 결정된다.
ELM은 정보 처리를 위한 두 가지 경로(중심 경로, 주변 경로)를 제시하며, "정교화 연속체"라는 개념을 사용한다. 정교화 연속체의 낮은 단계에서는 주변 경로를, 높은 단계에서는 중심 경로를 따른다.[9]
3. 1. 중심 경로 (Central Route)
중심 경로에서 설득은 옹호하는 입장을 뒷받침하는 정보의 진정한 장점에 대한 신중하고 사려 깊은 고려에서 비롯될 가능성이 높다. 중심 경로는 메시지를 수신하는 개인이 주장을 고려하는 데 상당한 인지 능력을 발휘하는 높은 수준의 메시지 정교화를 포함한다. 중심 경로를 통해 나타난 결과는 비교적 지속적이고, 저항적이며, 행동을 예측할 수 있다.[9]3. 1. 1. 중심 경로의 조건
중심 경로는 메시지 수신자가 메시지와 해당 주제에 대해 생각할 동기와 능력이 있을 때 사용된다. 사람들이 정보를 중심적으로 처리할 때, 인지 반응, 즉 정교화는 정보와 훨씬 더 관련이 있을 것이다. 반면, 주변적으로 처리할 때는 개인이 메시지를 정교화할 때 휴리스틱과 기타 경험 법칙에 의존할 수 있다.[9] 정교화 연속체의 높은 위치에 있을 때, 사람들은 이미 가지고 있는 스키마와 관련하여 객체 관련 정보를 평가하고, 정보에 의해 뒷받침되는 합리적인 태도에 도달한다.설득력 있는 메시지에 대해 어떻게, 얼마나 많이 정교화할지에 영향을 미치는 두 가지 유형의 요소를 고려하는 것이 중요하다.
- 첫 번째는 정교화하려는 동기에 영향을 미치는 요인
- 두 번째는 정교화할 수 있는 능력에 영향을 미치는 요인
메시지를 처리하려는 동기는 메시지 주제에 대한 개인적인 관심[10] 또는 인지 욕구와 같은 개인적 요인에 의해 결정될 수 있다. 그러나 메시지 수신자가 메시지에서 제안하는 입장에 대해 강한 부정적 태도를 가지고 있다면, 부메랑 효과(반대 효과)가 발생할 가능성이 높다. 즉, 그들은 메시지에 저항하고 제안된 입장으로부터 멀어질 수 있다.[11]
중심 경로의 두 가지 장점은 다음과 같다.
전반적으로, 사람들이 메시지를 처리하고 정교화를 개발하려는 동기와 능력이 감소함에 따라, 상황에 존재하는 주변 단서가 메시지 처리에 더 중요해진다.
3. 1. 2. 중심 경로의 결과
중심 경로는 메시지 수신자가 메시지와 해당 주제에 대해 생각할 동기뿐만 아니라 능력이 있을 때 사용된다. 사람들이 정보를 중심적으로 처리할 때, 인지 반응, 즉 정교화는 정보와 훨씬 더 관련이 있을 것이다. 반면, 주변적으로 처리할 때는 개인이 메시지를 정교화할 때 휴리스틱과 기타 경험 법칙에 의존할 수 있다. 정교화 연속체의 높은 위치에 있을 때, 사람들은 이미 가지고 있는 스키마와 관련하여 객체 관련 정보를 평가하고, 정보에 의해 뒷받침되는 합리적인 태도에 도달한다.[9]설득력 있는 메시지에 대해 어떻게, 얼마나 많이 정교화할지에 영향을 미치는 두 가지 유형의 요소를 고려하는 것이 중요하다. 첫 번째는 정교화하려는 동기에 영향을 미치는 요인이고, 두 번째는 정교화할 수 있는 능력에 영향을 미치는 요인이다. 메시지를 처리하려는 동기는 메시지 주제에 대한 개인적인 관심[10] 또는 인지 욕구와 같은 개인적 요인에 의해 결정될 수 있다. 그러나 메시지 수신자가 메시지에서 제안하는 입장에 대해 강한 부정적 태도를 가지고 있다면, 부메랑 효과(반대 효과)가 발생할 가능성이 높다. 즉, 그들은 메시지에 저항하고 제안된 입장으로부터 멀어질 수 있다.[11]
중심 경로의 두 가지 장점은 태도 변화가 더 오래 지속되고 주변 경로의 변화보다 행동을 더 잘 예측한다는 것이다.[12] 전반적으로, 사람들이 메시지를 처리하고 정교화를 개발하려는 동기와 능력이 감소함에 따라, 상황에 존재하는 주변 단서가 메시지 처리에 더 중요해진다.
3. 2. 주변 경로 (Peripheral Route)
정교화 가능성 모델 (ELM)에서 주변 경로는 정보 처리의 두 가지 경로 중 하나이다. 주변 경로를 통한 설득은 개인이 메시지의 내용을 깊이 생각하기보다는, 긍정적이거나 부정적인 단서에 주목하거나 메시지의 장점에 대해 간단하게 추론할 때 발생한다.개인이 메시지를 처리할 때 낮은 수준의 사고(낮은 정교화)를 하는 경우, 주변 경로를 통해 설득이 이루어진다. 이때 형성된 태도는 중심 경로를 통해 형성된 태도보다 지속성이 떨어지고, 설득에 대한 저항력이 약하며, 다른 판단이나 행동에 미치는 영향도 적다.
주변 경로에서 사용되는 단서는 메시지의 논리적 품질과는 관련이 없는 경우가 많다. 예를 들어, 메시지를 전달하는 사람의 신뢰도나 매력, 또는 메시지의 제작 품질 등이 주변 단서로 작용할 수 있다.
3. 2. 1. 주변 경로의 조건
주변 경로를 통한 정교화는 주로 개인의 인지 능력 및 기회와 관련이 있다.능력은 인지 자원의 가용성과 논거를 검토하는 데 필요한 지식을 포함한다. 예를 들어 주의 산만은 메시지를 처리하는 능력을 감소시킬 수 있다.[17] 인지적 분주함도 방해 요소로 작용하여 메시지 평가에 사용할 수 있는 인지 자원을 제한한다. 지식 부족 역시 심층적인 사고를 방해할 수 있다.
기회는 개인이 결정을 내릴 수 있는 시간과 관련된다.[17] 사고 능력과 관련된 요인에는 시간 압박, 메시지 반복, 주의 산만, 지식, 피로, 사회적 압력 등이 있다.
- '''메시지 반복'''은 더 많은 주장을 검토할 수 있게 한다. 주장이 강력하면 반복은 태도 변화를 더 많이 이끌어낸다. 그러나 반복의 효과는 주장 내용, 이전 지식 및 태도와 같은 다른 요인에 따라 달라진다.[18]
3. 2. 2. 주변 경로의 결과
주변 경로를 통한 설득은 낮은 정교화 상태에서 발생한다. 이 경로는 개인이 메시지의 내용을 깊이 생각하지 않고, 대신 주변 단서에 의존하여 태도를 형성할 때 나타난다.낮은 정교화 조건에서 변수는 주변 단서로 작용할 수 있다. 예를 들어, "전문가는 항상 옳다"는 믿음처럼, 생각을 요구하지 않는 지름길을 통해 설득이 이루어질 수 있다. 이는 아인슈타인의 예시와 유사하지만, 깊은 사고를 요구하지 않는다는 점에서 차이가 있다.[20]

최근 학자들은 정교화 가능성 모델[22]과 자기 검증 개념을 결합하여 설득력을 연구한다. 자기 검증은 메시지에 대한 반응으로 사람이 자신의 생각에 얼마나 신뢰를 갖는지에 영향을 미친다(''자기 검증 역할'').[23] 사람은 메시지에 대한 태도를 가질 뿐만 아니라, 자신의 태도가 옳다고 믿어야만 메시지가 행동에 영향을 줄 수 있다. 만약 스스로 옳다고 여기지 않으면, 그들은 자신의 생각을 버릴 것이다. 메타인지적 특성 때문에 자기 검증은 고도의 정교화 조건에서만 발생한다. 정교화 가능성 모델은 변수(신뢰성, 행복 등)가 처리의 양과 방향에 영향을 미칠 수 있다고 가정하며, 자기 검증은 이러한 변수가 사람들이 자신의 생각을 어떻게 사용하는지에 영향을 미칠 수 있다고 가정한다.[24] 예를 들어, 사람들이 새로운 아이디어에 대해 긍정적인 생각을 할 때, 고개를 끄덕이면(변수) 더 자기 확신을 가질 것이다. 반대로 고개를 흔든다면 자신의 생각에 대한 자기 확신이 줄어들 것이다. (자세에서 더 많은 예시를 참조)
3. 3. 정교화 연속체 (Elaboration Continuum)
정교화 가능성 모델(ELM)은 태도 변화에 대한 일반적인 이론이다. ELM을 개발한 리처드 E. 페티와 존 T. 카시오포는 설득 커뮤니케이션의 효과를 뒷받침하는 기본적인 과정을 정리, 분류, 이해하기 위한 일반적인 "프레임워크"를 제공하고자 했다.[2]태도와 설득에 대한 연구는 사회 심리학의 핵심 주제였으며, 고든 올포트와 에드워드 앨스워스 로스의 연구에서 두드러지게 나타났다. 올포트는 태도를 "현대 사회 심리학에서 가장 독특하고 필수적인 개념"이라고 묘사했다.[3] 1930년대부터 1970년대 후반까지 태도와 설득에 대한 상당한 연구가 이루어졌다. 이러한 연구는 태도와 행동 간의 일치성[4][5] 및 태도/행동 일치를 뒷받침하는 과정과 같이 태도와 설득에 관한 다양한 관련 문제에 착수했다.[6] 그러나 페티와 카시오포는 "전통적인 출처, 메시지, 수신자 및 채널 변수가 태도 변화에 영향을 미치는지, 언제, 그리고 어떻게 영향을 미치는지"에 대한 최소한의 합의가 이루어지지 않는다는 문제에 직면한 태도 및 설득 연구자들의 주요 문제를 발견했다.[7] 이러한 문제를 인식한 페티와 카시오포는 커뮤니케이션으로 유도된 태도 변화의 차별적 지속성을 설명하기 위해 정교화 가능성 모델을 개발했다. 페티와 카시오포는 태도 지속성에 대한 다양한 실증적 발견과 이론을 설득에 이르는 두 가지 경로(중심 경로, 주변 경로) 중 하나를 강조하는 것으로 보았다.
ELM은 정보 처리를 위한 두 가지 뚜렷한 경로를 제시한다. ELM은 낮음에서 높음에 이르는 "정교화 연속체"에서 다양한 특정 변화 과정을 거친다고 본다. 정교화 연속체의 낮은 단계에서 작동하는 과정이 태도를 결정할 때 설득은 주변 경로를 따르며, 높은 단계에서 작동하는 과정이 태도를 결정할 때는 중심 경로를 따른다.[9]
4. 가정
리처드 E. 페티와 존 T. 카시오포가 개발한 정교화 가능성 모델(ELM)은 설득 커뮤니케이션의 효과를 설명하기 위한 일반적인 "프레임워크"를 제공한다.[2] 이 모델은 다음의 가정을 기반으로 한다.
'''가정 1:''' 사람들은 올바른 태도를 가지도록 동기 부여를 받는다.
'''가정 2:''' 사람들이 올바른 태도를 가지기를 원하지만, 메시지를 평가하기 위해 기꺼이 참여하거나 참여할 수 있는 문제 관련 정교화의 양과 성격은 개인적 및 상황적 요인에 따라 달라진다.
'''가정 3:''' 변수는 다음과 같은 방식으로 태도 변화의 양과 방향에 영향을 미칠 수 있다.
- 설득력 있는 주장의 역할을 한다.
- 주변 단서의 역할을 한다.
- 문제 및 주장에 대한 정교화의 정도 또는 방향에 영향을 미친다.
'''가정 4:''' 상대적으로 객관적인 방식으로 메시지를 처리하려는 동기 부여 및/또는 능력에 영향을 미치는 변수는 주장의 정밀 검토를 강화하거나 줄임으로써 그렇게 할 수 있다.
'''가정 5:''' 상대적으로 편향된 방식으로 메시지 처리에 영향을 미치는 변수는 문제 관련 사고에 대해 긍정적(호의적) 또는 부정적(비호의적) 동기 부여 및/또는 능력 편향을 생성할 수 있다.
'''가정 6:''' 주장을 처리하려는 동기 부여 및/또는 능력이 감소함에 따라, 주변 단서는 설득의 상대적으로 더 중요한 결정 요인이 된다. 반대로, 주장의 정밀 검토가 증가함에 따라 주변 단서는 설득의 상대적으로 덜 중요한 결정 요인이 된다.
'''가정 7:''' 문제 관련 주장을 처리함으로써 주로 발생하는 태도 변화(중심 경로)는 주변 단서로 인해 주로 발생하는 태도 변화보다 더 큰 시간적 지속성, 더 큰 행동 예측력 및 반대 설득에 대한 더 큰 저항력을 보여줄 것이다.[20]
5. 변수 (Variables)
정교화 가능성 모델(ELM)에서 정교화는 정보 처리자가 메시지에 대해 생각하고, 관련 정보와 비교하며, 추론하는 정도를 의미한다. 정교화 가능성이 높을 때는 중심 경로를, 낮을 때는 주변 경로를 통해 정보가 처리된다.
정교화에 영향을 미치는 변수
- 동기: 메시지를 처리하려는 의지. 개인적 관련성, 책임감, 인지 욕구 등이 영향을 미친다.
- 능력: 메시지를 이해하고 처리하는 능력. 지식, 지능, 주의 분산, 메시지 이해도, 반복 등이 영향을 미친다.
- 메시지 특성: 주장의 질, 내용의 복잡성, 제시 방식 등이 영향을 미친다.
- 개인적 특성: 인지 욕구, 자기 감시, 기존 태도 등이 영향을 미친다.
이러한 변수들은 상호작용하여 정보 처리 경로를 결정하고, 결과적으로 태도 변화의 정도와 지속성에 영향을 미친다.
5. 1. 변수의 역할
중심 경로는 주장이 면밀히 검토되고 정보가 간과될 가능성이 낮아, 오랫동안 지속되는 신념을 형성하려는 개인에게 유리하다. 그러나 이 경로는 상당한 양의 에너지, 시간, 정신적 노력을 필요로 한다.[9]모든 상황에서 정확성을 위해 많은 정신적 노력을 기울이는 것은 가치가 없을 수 있으며, 사람들은 항상 제안의 장점을 신중하게 평가하는 데 필요한 지식, 시간 또는 기회를 가지고 있지 않다.[9] 이런 사람들에게는 주변 경로를 사용하는 것이 에너지, 시간, 정신적 노력을 절약하는 데 탁월하다. 특히 짧은 시간 안에 결정을 내려야 하는 상황에서 유리하다. 반면에 주변 경로는 판단 오류가 발생하기 쉽다.[25] 또한, 사람들은 정보 출처의 신뢰성과 같은 중요한 단서에 따라 주변 경로에서 설득된다. 그러나, 잠재 효과는 설득력의 강도에 영향을 미칠 수 있다.
높은 정교화가 반드시 태도 변화로 이어지는 것은 아니다. 설득에 대한 저항은 어떤 사람이 특정 행동을 할 자유가 위협받는다고 느낄 때 발생한다. 반응에 대한 유명한 연구는 1976년 Pennebaker와 Sanders에 의해 수행되었다.[26] 실험자들은 낙서를 금지하기 위해 캠퍼스 화장실에 플래카드를 설치했다. 실험 결과, 위협적인 플래카드에 쓰여진 낙서의 양은 권위와 위협 수준 모두와 유의미하게 양의 상관관계를 보였다. 이러한 결과는 반발 각성을 반영하는 것으로 해석된다.
또한, 설득과 관련하여 면역 이론도 고려해야 한다.
5. 2. 주요 변수
중심 경로를 통해 설득되는 개인은 주장을 면밀히 검토하고 정보를 간과할 가능성이 낮아 신념이 오래 지속된다. 그러나 이 경로는 많은 에너지, 시간, 정신적 노력을 소모한다.모든 상황에서 정확성을 위해 많은 노력을 기울일 필요는 없으며, 사람들은 항상 제안의 장점을 평가할 지식, 시간, 기회를 갖추고 있지 않다.[9] 이런 경우 주변 경로를 사용하면 에너지, 시간, 정신적 노력을 절약할 수 있다. 이는 특히 짧은 시간 안에 결정을 내려야 할 때 유리하다. 반면 주변 경로는 행동의 이유를 귀속시키는 판단 오류를 일으키기 쉽다.[25] 또한 사람들은 정보 출처의 신뢰성과 같은 단서에 따라 주변 경로에서 설득되기도 한다. 잠재 효과는 설득력의 강도에 영향을 줄 수 있다.
높은 정교화가 반드시 태도 변화를 의미하는 것은 아니다. 특정 행동을 할 자유가 위협받는다고 느낄 때 설득에 대한 저항이 발생한다. 1976년 Pennebaker와 Sanders는 캠퍼스 화장실에 낙서 금지 플래카드를 설치하는 실험을 통해, 위협적인 플래카드에 쓰인 낙서의 양이 권위와 위협 수준에 비례한다는 것을 확인했다.[26] 이는 반발 각성을 반영하는 결과로 해석된다.
설득과 관련하여 면역 이론도 고려할 필요가 있다.
6. 응용 분야
정교화 가능성 모델(ELM)은 광고, 마케팅, 소비자 행동, 건강 관리 등 다양한 분야에 적용되어 왔다.[112]
- '''온라인 쇼핑 설득 (2008, Chen & Lee)'''[51]: 친화성과 성실성이 높은 소비자는 중심 경로, 정서적 안정성, 개방성, 외향성이 높은 소비자는 주변 경로를 통해 상품을 구매한다.
- '''Bilibili 과학 비디오 내 제품 배치 (2024, Junjie Shi)'''[53]: Bilibili는 Twitch와 유튜브와 유사한 중국 서비스로, 신뢰성이 높거나 조회수가 많은 과학 비디오는 제품 판매에 효과적이다. 따라서 비디오 제작자는 잘 제작된 비디오를 만드는 데 집중해야 한다. 이는 ELM의 중심 경로와 일치한다.
- '''스트리머가 시청자의 온라인 쇼핑 습관에 미치는 영향 (2023)'''[54]: 시청률, 참여도, 신뢰성이 높은 스트리머는 제품 판매에 더 성공적이다. 스트리밍으로 인해 충동 구매가 증가했으며, 이는 중국 및 인도와 같은 개발 도상 경제에서 더 두드러지게 나타났다.[55][56]
- '''기타 전자 상거래 및 인터넷 관련 연구''': 웹 개인화[57], 온라인 쇼핑 시선 추적 연구[58], 웹사이트 개인 정보 보호[59], 멀티 채널 소매에서의 인터넷 활용, ELM과 신호 이론을 이용한 인터넷 채용[60] 등이 있다.
- '''기업 내 정보 시스템 채택 설득 (Li)'''[88]: 관리자는 직원의 정교화 능력에 따라 설득 전략을 맞춤화해야 하며, 강력한 주장이 신뢰성보다 효과적이다. 규범적 영향은 정서적 반응, 정보적 영향은 인지적 반응을 유발하며, 시스템 수용에는 인지적 반응이 더 중요하다.
- '''정보 보안 메시지 (2024, Minsek Ko, Sumin Kim, Chinju Paul)'''[89]: 공포 소구와 리더십을 연결한 연구로, 거래적 리더는 표면적 세부 사항, 변혁적 리더는 깊이 고려한다. 공포 기반 메시지는 감정과 신뢰성에 호소할 때 거래적 리더에게, 논리적 추론은 변혁적 리더에게 효과적이다.
- '''유튜브 동영상 (Ana Munaro)'''[72]: 유튜브는 2000년대 초반부터 소셜 미디어의 지배적인 형태이며, 기능어가 많은 동영상이 긍정적 결과를 얻고, 객관성/감성이 높을수록 인기가 높다. 이는 생동감 있고 매력적인 작품에 대한 주목도를 높이는 ELM과 일치한다.
- '''정신 건강 상담''': 사회적 낙인은 상담을 꺼리는 주된 이유 중 하나이다.[82] ELM을 통해 상담에 대한 긍정적 인식을 높일 수 있다. 반복적인 긍정적 정보 노출은 상담 인식을 개선하며,[84] 상담사 신뢰성은 정보 이해도에 따라 결정된다.[85] 은유는 내담자의 이해를 돕고, 중심 처리 경로를 활성화하여 상담 관계를 강화한다.[86][87]
6. 1. 광고 및 마케팅
광고, 마케팅, 소비자 행동 등 다양한 분야에서 정교화 가능성 모델(ELM)이 활용되고 있다.1983년 페티(Petty), 카시오포(Cacioppo), 슈만(Schumann)은 광고에서 정보원 효과를 연구했다.[27] 이들은 일회용 면도기 광고를 통해, 낮은 관여도 조건에서는 유명 운동선수가 등장하는 광고가 제품 속성과 관계없이 긍정적 태도를 유도하는 반면, 높은 관여도 조건에서는 주장의 강도만이 태도에 영향을 미친다는 것을 발견했다.[27][28] 리(Lee) 등은 제품 관여도가 높고 제품과 연예인의 전문성이 관련될 때 "보증인-제품 일치성이 소비자 반응에 미치는 영향"이 강화된다는 연구 결과를 제시했다.[29]
1985년 비트너(Bitner)와 오버밀러(Obermiller)는 마케팅 맥락에서 경로 결정 요인이 상황, 사람, 제품 범주 변수를 포함하여 더 복잡하다고 제안하며 모델을 확장했다.[30]
2013년 롤린스(Rollins)와 부타다(Bhutada)의 연구에서는 보증인 유형은 소비자 태도 등에 유의미한 영향을 미치지 않았지만, 질병 상태 관여 수준은 영향을 미치는 것으로 나타났다. 관여도가 높은 소비자는 더 긍정적인 태도와 행동 의도를 보였다.[31]
소셜 미디어가 마케팅 플랫폼으로 부상하면서, 오트(Ott) 등은 소셜 미디어 게시물의 상호 작용성과 정보성이 긍정적 태도와 구매 의도를 강화할 수 있음을 밝혔다.[32] 그러나 인지된 정보성이 없는 높은 상호 작용성은 부정적 태도를 유발할 수 있다.[32]
2021년 스리바스타바(Srivastava)의 연구에서는 교육받은 직장 소비자의 경우, 영화, 스포츠, 마스코트, 유명인 등이 구매 습관에 큰 영향을 미치지 않으며, 내용의 적합성과 광고 인물의 신뢰성이 중요하다고 밝혔다.[33]
2022년 캠벨(Campbell)과 정(Chung)은 페이스북, 인스타그램, 트위터에서 알코올 관련 소셜 미디어 광고에 대한 연구를 통해, 특정 코드(예: "Coors Light: 여름을 위한 시원한 음료")가 소비자의 구매 가능성을 높인다는 것을 발견했다.[34]
정교화 가능성 모델은 온라인 건강 커뮤니티와 같은 서비스 광고에도 사용된다. 2022년 중국 연구진은 ELM을 이용하여 온라인 건강 커뮤니티에서 의사 서비스 채택 과정을 분석했다. 의사의 기술적, 대인 관계적 품질은 중심 경로 단서, 전자 입소문은 주변 경로 단서로 간주되었다.[35][36] 상호 작용 품질과 전자 입소문은 최초 채택에 유의미한 영향을 미쳤지만, 정보 품질은 그렇지 않았다. 이는 사용자의 지식 부족 또는 정보 품질 수준의 차이 때문일 수 있다고 분석되었다.[35][37]
2023년 세게브(Segev)와 페르난데스(Fernandes)는 바이럴 광고에서 ELM의 중심 및 주변 처리 경로 사용을 평가한 결과, 바이럴 비디오 광고가 중심 단서보다 주변 단서를 더 많이 포함한다는 것을 발견했다.[38] 판(Pan)과 장(Zhang)은 소셜 미디어 광고 설득 연구를 통해, 광고가 설득적일 때 소비자는 중심 처리 경로를 따르고 더 많이 관여하며, 정보 제공적일 때는 주변 처리 경로를 따르고 덜 관여하는 경향이 있다고 밝혔다.[39][40] 이는 정보 과부하 때문일 수 있으며, 마케터는 정보의 양보다 주장의 설득력에 집중해야 함을 시사한다.[40]
청소년 대상 광고 연구에서 Te'eni-Harari 등은 청소년은 성인과 달리 ELM이 적용되지 않고 단일 경로만을 사용한다고 밝혔다.[41] 광고에서 주변 단서를 사용할 때는 논란을 피하기 위해 주의해야 한다.[42]
2008년 Chen과 Lee는 온라인 쇼핑 설득 연구를 통해, 친화성과 성실성이 높은 소비자는 중심 경로 웹사이트 콘텐츠를 통해 실용적 가치를 얻는 반면, 정서적 안정성, 개방성, 외향성이 높은 소비자는 주변 경로 웹사이트 콘텐츠를 통해 경험적, 쾌락적 가치를 얻는다고 밝혔다.[51]
2009년 Sher와 Lee는 소비자의 온라인 쇼핑에 대한 회의론의 영향 연구를 통해, 회의적인 소비자는 중심 경로의 영향을 받기보다 원래 인상을 고수하는 경향이 있고, 회의론이 낮은 소비자는 주변 경로를 통해 태도를 형성하는 경향이 있다고 밝혔다.[52]
2024년 Junjie Shi는 Bilibili 과학 비디오 내 제품 배치 연구를 통해, 더 신뢰할 수 있거나 조회수가 많은 비디오가 제품 판매에 더 효과적이며, 비디오 제작자는 잘 제작된 비디오에 집중해야 한다고 결론지었다. 이는 ELM의 중심 경로와 일치한다.[53]
2023년 연구에서는 스트리머가 시청자의 온라인 쇼핑 습관에 미치는 영향을 조사했다. 시청률, 참여도, 신뢰성이 높은 스트리머가 제품 판매에 더 성공적이며, 스트리밍으로 인해 충동 구매가 증가했다.[54][55]
ELM을 전자 상거래 및 인터넷 관련 분야에 적용한 기타 연구는 다음과 같다.
- 웹 개인화가 온라인 사용자의 태도와 행동에 미치는 영향[57]
- 온라인 쇼핑의 시선 추적 연구[58]
- 온라인 소비자를 위한 웹사이트 개인 정보 보호 보증 신호의 설득력 연구[59]
- 멀티 채널 소매에서 인터넷 및 교차 채널 플랫폼을 통한 중심 및 주변 경로 사용
- ELM과 신호 이론을 이용한 인터넷 채용 분석[60]
6. 2. 건강 관리
최근 연구에서는 정교화 가능성 모델(ELM)을 의료 분야에 적용하려는 시도가 이루어지고 있다. 2009년, Angst와 Agarwal은 "개인 정보 보호 우려가 있는 상황에서의 전자 건강 기록 채택: 정교화 가능성 모델과 개인 설득"이라는 연구 논문을 발표했다.[43] 이 연구는 전자 건강 기록(EHR), (개인의) 정보 프라이버시 우려 (CFIP), 정교화 가능성 모델 (ELM)을 연구했다. 두 연구자는 "개인이 태도를 바꾸고 EHR에 대한 행동 의향을 선택하도록 설득할 수 있으며, 심각한 프라이버시 우려가 있는 상황에서도 의료 정보를 디지털화할 수 있도록 할 수 있는가?"라는 질문을 탐구하는 것을 목표로 했다.[44]코로나19 팬데믹이 2020년에 처음 발생했을 때, 당국은 발병을 통제하기 위해 인구의 행동 변화를 채택하도록 설득 전술에 크게 의존했다.[45] Mark W. Susmann 외 연구진은 유럽 사회 심리학 리뷰에 정교화 가능성 모델을 사용하여 어떤 전술이 반응에 대한 관심과 동기 부여 수준에 따라 행동 변화로 이어졌는지 결론 내리는 연구를 발표했다.[46] 이 연구는 팬데믹 속에서 설득을 분석할 때 "수신자가 메시지를 깊이 처리할 가능성이 있는지 여부에 따라 건강 커뮤니케이터가 가장 큰 설득력을 발휘할 변수를 식별할 수 있게 해주기 때문에" 이론이 "유용하다"고 설명했다.[46]
Denise Scannell 외 연구진은 저널 오브 헬스 커뮤니케이션에 트위터에서 백신에 대한 담론을 구체적으로 살펴보고 정교화 가능성 모델을 사용하여 백신 옹호 메시지와 반대 메시지 간의 차이점을 연구한 결과를 발표했다.[47] 이 연구에 따르면 백신 옹호 메시지는 중앙 처리 경로에 크게 의존하는 반면, 백신 반대 메시지는 주변 처리 경로를 더 많이 사용했지만, 그 차이는 그렇게 극적이지 않았다.[47]
ELM 모델은 태도에 영향을 미치는 방법을 이해할 수 있으므로, 채택 및 변화 적응에 대한 인식과 태도를 변경하는 데 활용될 수 있다.
연구 결과는 다음과 같다.
코로나19 팬데믹 기간에 사용된 방법과 유사하게, 호주의 울릉공 대학교 및 뉴사우스웨일스 대학교 연구진이 2023년에 수행한 연구에서는 ELM을 사용하여 다발성 경화증(MS) 환자에게 영양 메시지를 해석하는 방식을 연구했다. 이는 MS와 영양의 관계를 검토하는 체계적 검토를 기반으로 한다.[48] 연구에 따르면 다발성 경화증 환자를 위한 식단 및 영양 프로그램은 긍정적인 영향을 미치며, 수용을 돕고 사람들이 통제력을 느낄 수 있도록 한다.[49] 미국에서도 MS 환자의 최대 70%가 MS 치료의 한 형태로 식단을 시도하는 것으로 나타났다.[50] ELM은 가장 실질적인 증거가 있는 세 가지 범주, 즉 비타민 D, 지방산, 식이 다양성을 기반으로 연구 결과를 타겟 메시지로 분류하는 데 사용되었으며, 이를 사용하여 실용적인 예와 동기 부여 요소를 사용하여 설득력 있는 메시지를 만들었다. 이 메시지들은 호주 국가 식단 지침을 사용했는데, 이는 어떤 영양소를 먹을지가 아니라 어떤 종류의 음식을 먹을지 명시했는데, 이는 사람들이 영양소가 아닌 음식과 섭취를 연관시키기 때문으로 결정되었다.[48] 메시지에 대한 긍정적 및 부정적 반응은 각각 정보의 수용 및 거부로 이어졌다. 다발성 경화증 진단을 최근에 받은 참가자는 새로운 영양 정보에 대해 더 열린 마음을 갖는 경향이 있었지만 "극단적인" 식단에 대해서는 회의적이었다. 반면, MS를 더 오랫동안 앓아온 참가자는 극단적인 식단에 참여할 가능성이 더 높았지만 새로운 영양 정보를 받아들이는 데 덜 열린 마음을 보였다.[48] 이는 ELM의 주변 경로와 직접적으로 관련이 있는데, MS를 앓고 있는 사람은 새로운 정보, 심지어 신뢰할 수 있는 정보도 얻는 것을 방해하는 선입견을 가질 수 있기 때문이다.
6. 3. 정치
정교화 가능성 모델은 광고, 마케팅, 소비자 행동 및 건강 관리를 포함한 많은 분야에 적용되어 왔으며, 그 외에도 다양한 분야에 적용되고 있다.2000년대 초반에 만들어진 유튜브(YouTube)는 지배적인 소셜 미디어 형태가 되었다. 2020년에 유튜브는 월간 20억 명의 시청자를 확보했다.[72] 소셜 미디어 분야에서 유튜브가 끊임없이 인기를 얻고 지배적인 위치를 차지하면서, 유튜브가 왜 그렇게 인기가 많은지 알아내기 위한 수많은 연구가 진행되었다. 아나 무나로(Ana Munaro)의 설문 조사는 정교화 가능성 모델(ELM)이 유튜브의 성공에 어떻게 기여하는지 살펴보았다. 그녀의 연구는 유튜브에서 인기를 얻는 요인이 무엇인지 밝히는 것을 목표로 했다.[72] 아나는 다양한 카테고리의 11,000개 이상의 동영상과 150명의 크리에이터를 표본으로 추출했다.[72]
유튜브는 특정 동영상, 크리에이터 또는 주제에 대한 사람들의 느낌에 영향을 미칠 수 있는 다양한 요소를 가지고 있다. 이 연구는 먼저 언어를 연구했다. 언어는 유튜브의 중요한 부분이며 소비자가 정보를 처리하는 데 중요한 역할을 한다. 2018년 쿠주르(Kujur)와 싱(Singh)의 연구에 따르면, 감성적인 호소는 더 나은 소비자 참여와 상호 작용을 유도하는 것으로 나타났다.[73] 언어와 관련하여 또 다른 중요한 부분은 기능어와 내용어의 사용이다. 기능어와 내용어의 영향을 연구한 결과, 아나는 기능어가 더 많은 동영상이 더 긍정적인 결과를 얻는다는 것을 발견했다. 예를 들어 더 많은 댓글 참여, 바이럴(viral) 효과, 좋아요/싫어요가 있었다. 기능어는 이해하기 쉽고 일반적으로 더 재미있으며, 이러한 측면은 정교화 가능성 모델(ELM)의 주변 경로와 유사하다.[72] 기능어는 명시적이지 않으며, 맥락에 더 의존적이다.[74] 반면 내용어는 더 길고 혼란스러운데, 이는 정교화 가능성 모델(ELM)의 중심 경로와 유사하다.
객관성과 감성은 유튜브 동영상 내에서 중심 경로 또는 주변 경로로 해석될 수 있는 또 다른 영역이다. 이 연구는 동영상에 객관성이나 감성이 더 많이 포함될수록 인기가 높아지고, 조회수가 증가하며, 참여도가 높아진다는 것을 보여주었다. 이러한 결과는 정교화 가능성 모델(ELM)에 더 영향을 미치는데, 시청자는 더 생동감 있고 매력적으로 보이는 작품에 주의를 기울이고 관심을 가질 가능성이 더 높기 때문이다. 연구의 언어적 측면 외에도, 하루 중 게시 시간과 그 영향에 대한 추가 연구가 진행되었다. 예를 들어, 주말 게시물과 업무 외 시간대 게시물이 긍정적인 참여를 얻기에 가장 좋은 시간이었다. 전반적으로 이 연구는 정교화 가능성 모델(ELM)이 유튜브에서 사람이 동영상에 반응하는 방식에 어떻게 심오하게 영향을 미치는지에 대한 다양한 함의를 보여주었다.
6. 4. 소셜 미디어
정교화 가능성 모델(ELM)은 광고, 마케팅, 소비자 행동, 건강 관리 등 다양한 분야에 적용되어 왔으며, 특히 소셜 미디어와 온라인 쇼핑 영역에서 활발하게 연구되고 있다.Chen과 Lee는 2008년 온라인 쇼핑 설득에 대한 연구를 통해 소비자의 친화성과 성실성이 높을수록 중심 경로 웹사이트 콘텐츠가 실용적인 쇼핑 가치를 제공하는 데 유리하며, 소비자의 정서적 안정성, 개방성, 외향성이 높을수록 주변 경로 웹사이트 콘텐츠가 경험적 및 쾌락적 쇼핑 가치를 촉진하는 데 더 중요함을 발견했다.[51]
2009년 Sher와 Lee는 소비자의 온라인 쇼핑에 대한 회의론의 영향을 연구하여, 회의적인 소비자는 다른 요인보다는 원래의 인상을 고수하는 경향이 있고, 회의론이 낮은 소비자는 태도 형성에 주변 경로를 채택하여 온라인 리뷰의 양에 더 설득당하는 경향을 발견했다.[52]
2024년 초 Junjie Shi는 Bilibili 과학 비디오 내 제품 배치를 연구하여, 더 신뢰할 수 있거나 조회수가 많은 비디오가 제품 판매에 더 좋은 성과를 보이며, 비디오 제작자는 잘 제작된 비디오를 만드는 데 집중해야 함을 밝혔다.[53] 이는 ELM의 중심 경로와 일치하며, 사람들은 짧고 간결한 콘텐츠를 선호하는 경향을 보여준다.
2023년 Xi Luo, Jun-Hwa Cheah, Linda D. Hollebeek은 스트리머가 시청자의 온라인 쇼핑 습관에 미치는 영향을 연구하여, 시청률, 참여도, 신뢰성이 높은 스트리머가 제품 판매 가능성이 더 높고, 소규모 제작자는 어려움을 겪을 수 있음을 발견했다.[54] 또한, 스트리밍으로 인해 온라인 쇼핑의 충동 구매가 증가했으며, 이는 개발 도상 경제에서 더 두드러지게 나타났다.[55][56]
이 외에도 ELM은 전자 상거래 및 인터넷 관련 분야에서 다음과 같은 연구에 적용되었다.
- 웹 개인화가 온라인 사용자의 태도와 행동에 미치는 영향[57]
- 고객의 전자 상거래 경험에서 ELM 사용 방식을 이해하기 위한 온라인 쇼핑 시선 추적 연구[58]
- 온라인 소비자를 위한 웹사이트 개인 정보 보호 보증 신호의 설득력을 이해하기 위한 정교화 가능성 접근 방식[59]
- 멀티 채널 소매에서 인터넷 및 교차 채널 플랫폼을 통해 중심 및 주변 경로를 사용하는 방식
- ELM과 신호 이론을 사용한 인터넷 채용 분석[60]
YouTube는 2000년대 초반부터 소셜 미디어의 지배적인 형태로 자리 잡았으며, 2020년에는 월간 20억 명의 시청자를 확보했다.[72] 아나 무나로(Ana Munaro)는 ELM이 YouTube의 성공에 어떻게 기여하는지 연구하여, 기능어가 많은 동영상이 더 긍정적인 결과를 얻고, 객관성이나 감성이 더 많이 포함될수록 인기가 높아지는 경향을 발견했다.[72] 이는 시청자가 더 생동감 있고 매력적인 작품에 주의를 기울일 가능성이 높다는 ELM의 관점과 일치한다.
정교화 가능성 모델은 정치 및 투표, 사회 및 정치 운동, 이념 집단의 설득 전술 등 다양한 분야에서 활용되고 있다.
6. 5. 정신 건강 상담

개인이 상담을 받지 않는 가장 흔한 이유 중 하나는 낙인(미친 사람으로 여겨지거나 심각한 "문제"가 있다는 것)에 빠질까 봐 걱정하기 때문이다.[82] 30년 전에도 만연했던 이 낙인은 오늘날에도 여전히 존재한다.[83] 다행히, 정교화 가능성 모델(ELM)을 적용하면 대학생 집단 사이에서 상담에 대한 긍정적인 인식을 높이는 데 도움이 될 수 있다. 정신 건강 상담의 기능과 긍정적인 결과를 설명하는 비디오를 반복해서 시청한 학생들은 상담에 대한 인식에 상당하고 지속적인 변화를 보였다. 비디오를 한 번 시청하거나 전혀 시청하지 않은 학생들은 상담에 대해 비교적 부정적인 시각을 유지했다.[84] 따라서 상담의 긍정적인 요소에 반복적으로 노출되면 상담에 대한 부정적인 사회적 낙인에 맞서기 위해 중심 경로의 정교화와 실행이 더 커진다. 대부분의 부정적인 직관은 주변 경로의 영역 내에 존재하므로, 낙인에 대항하기 위해서는 일반 대중이 중심 처리 경로를 사용해야 한다.
상담사가 더 신뢰할 수 있다고 인식될수록, 상담을 받는 내담자는 상담사의 조언이 영향력이 있다고 인식할 가능성이 더 높다. 그러나 상담사 신뢰성은 내담자가 상담사가 전달하는 정보를 이해하는 정도에 의해 강력하게 매개된다.[85] 따라서 상담을 받는 내담자가 상담사를 이해한다고 느끼는 것이 매우 중요하다. 은유를 사용하는 것이 이 과정에 도움이 된다. 은유는 더 깊은 수준의 정교화를 요구하므로, 중심 처리 경로를 사용하게 된다. Kendall(2010)[86]은 내담자가 상담사가 전달하는 메시지/심리학적 지식을 이해하도록 돕는 유효한 방법으로 상담에서 은유를 사용할 것을 제안한다. 내담자가 공감하는 은유를 들으면, 상담사를 더 신뢰하고 긍정적인 관계를 형성할 가능성이 훨씬 더 높다.[87]
7. 비판 및 한계

정교화 가능성 모델(ELM)은 설득 연구에서 널리 사용되지만, 21세기 커뮤니케이션 환경에서 그 타당성과 관련성에 대한 비판도 제기되고 있다.[95]
일부 연구자들은 ELM을 잘못 해석하여 비판하기도 한다. 예를 들어, 크루글란스키(Kruglanski)와 톰슨(Thompson)은 중심 경로 또는 주변 경로의 처리가 메시지 설득에 영향을 미치는 정보의 "유형"에 의해 결정된다고 주장했지만, ELM은 정보의 "유형"이 아닌 정보가 "어떻게" 사용되는지에 따라 중심 경로 또는 주변 경로가 결정된다고 본다.[14] 즉, 어떤 정보든 중심 경로 또는 주변 경로를 통해 처리될 수 있으며, 그 처리 방식에 따라 다른 태도가 형성된다는 것이다.
또 다른 오해는 중심 경로 처리가 메시지 내용에 대한 생각만 포함하고 문제에 대한 생각은 포함하지 않는다는 것이다.[96] 그러나 페티(Petty)와 카치오포(Cacioppo)는 문제 관련 사고 역시 중심 경로의 일부이며, 메시지 내용에 대한 생각에 필요하다고 밝혔다.[97]
마지막으로, ELM이 양적 차원(정교화 수준)을 무시하고 질적 차원에만 집중한다는 비판도 있다. 하지만 ELM은 정교화가 높음에서 낮음까지 다양하며, 이에 따라 설득 결과가 달라진다는 점을 강조한다.[96] 페티와 웨거너의 실험 데이터는 설득 결과가 질적 차원 없이 양적 차원으로 설명될 수 있음을 보여준다.[98][99]
지난 30년간 ELM 관련 문헌을 검토한 결과, 주요 비판은 다음 4가지 연구 분야로 요약된다:[100]
이러한 비판에 대응하여 대안 모델들이 제시되었다. 이중 매개 가설(DMH)[104], 결합된 영향 가설[105], 단일 모델[106], 정보 처리의 발견적-체계적 모델(HSM)[100] 등이 그 예시이다.
2023년, Hedhli와 Zourrig는 ELM과 설득의 단일 모델 이론을 비교한 결과, ELM이 더 정확하며 설득 시도의 일관성 없는 결과를 더 잘 설명한다고 밝혔다.[107] 또한 ELM이 태도 변화를 예측할 수도 있어 마케팅, 광고, 커뮤니케이션 분야에서 유용하다고 평가했다.
한편, 여러 연구들은 변수들을 검토하고 시험함으로써 ELM을 확장하고 개선해왔다. 예를 들어, Britner와 Obermiller는 상황, 사람, 제품 범주를 새로운 변수로 제안했다.[30]
8. 다른 이론과의 관계
리처드 E. 페티와 존 T. 카시오포가 개발한 정교화 가능성 모델은 태도 변화에 대한 일반적인 이론으로, 설득 커뮤니케이션 효과의 기본적인 과정을 정리하고 분류하여 이해하기 위한 프레임워크를 제공한다.[2]
태도와 설득에 대한 연구는 고든 올포트와 에드워드 앨스워스 로스의 연구에서 두드러지게 나타났으며, 올포트는 태도를 "현대 사회 심리학에서 가장 독특하고 필수적인 개념"이라고 묘사했다.[3] 1930년대부터 1970년대 후반까지 태도와 행동 간의 일치성[4][5] 및 태도/행동 일치를 뒷받침하는 과정과 같이 태도와 설득에 관한 다양한 문제에 대한 연구가 이루어졌다.[6] 그러나 페티와 카시오포는 태도 및 설득 연구자들이 "전통적인 출처, 메시지, 수신자 및 채널 변수가 태도 변화에 영향을 미치는지, 언제, 그리고 어떻게 영향을 미치는지"에 대한 최소한의 합의가 이루어지지 않는다는 문제에 직면했다고 보았다.[7]
정교화 가능성 모델은 이중 과정 모델로서, 수신자가 메시지를 처리하고 태도와 행동을 변화시키기 위해 중앙 경로 또는 주변 경로 중 하나에 의존한다는 점 때문에 비판을 받기도 한다. Stiff (1986)는 메시지가 두 경로를 통해 동시에 처리될 수 있어야 하기 때문에 정교화 가능성 모델의 타당성에 의문을 제기했다.[103]
이러한 비판에 대한 대안으로 제시된 모델은 다음과 같다.
- '''이중 매개 가설(DMH)''' (Mackenzie 등, 1986): 수신자가 광고 내용과 실행을 적절한 경계심을 가지고 동시에 처리할 수 있다고 주장한다.[104]
- '''결합된 영향 가설''' (Lord 등, 1995): 동기 부여와 능력의 변수에도 불구하고 중앙 및 주변 단서가 결합하여 작용한다고 주장한다.[105]
- '''단일 모델''' (Kruglanski 등, 1999): 이중 과정 모델 대신 단일 인지 과정을 제안하며, 인간이 증거에 기반하여 판단을 내릴 수 있는 규범적이고 발견적인 규칙을 제시한다.[106]
- '''정보 처리의 발견적-체계적 모델(HSM)''': 정교화 가능성 모델과 매우 유사하며, 사람들이 설득력 있는 메시지를 어떻게 수집하고 분석하는지 탐구하는 양방향 모델이다.[108]
2023년, Hedhli와 Zourrig는 정교화 가능성 모델을 설득의 단일 모델 이론과 비교한 결과, 정교화 가능성 모델이 더 정확한 도구이며 종종 설득 시도의 일관성 없는 결과를 더 정확하게 설명한다는 것을 발견했다.[107]
정교화 가능성 모델과 관련하여 다음과 같은 이론들이 있다.
- 사회 판단 이론: 의견의 거리, 그리고 그 의견이 "수용 범위"에 있는지, "거부 범위"에 있는지, 아니면 중간 지대에 있는지 강조한다.
- 사회적 영향 이론: 사람의 생각을 바꾸도록 영향력을 행사하려는 사람들의 수, 강도, 즉시성을 강조한다.
- 확장된 수송-이미지 모델
참조
[1]
서적
Communication and persuasion: central and peripheral routes to attitude change
Springer-Verlag
1986
[2]
간행물
The elaboration likelihood model of persuasion
Elsevier
[3]
간행물
Attitudes
1935
[4]
간행물
Attitude-behavior relations: A theoretical analysis and review of empirical research
1977
[5]
서적
Direct experience and attitude-behavior consistency
1981
[6]
간행물
On the consequences of priming: Assimilation and contrast effects
1983
[7]
간행물
The elaboration likelihood model of persuasion
1986
[8]
서적
The SAGE Handbook of Persuasion
https://books.google[...]
SAGE
2013
[9]
서적
Handbook of theories of social psychology
Sage
[10]
간행물
Elaboration likelihood model: A missing intrinsic emotional implication
[11]
문서
[12]
간행물
Reconceptualizing social influence in counseling: The Elaboration Likelihood Model.
1989
[13]
서적
Influence : science and practice
https://archive.org/[...]
Allyn and Bacon
2001
[14]
문서
[15]
웹사이트
Social Cognition
http://webspace.ship[...]
[16]
간행물
The Case for Motivated Reasoning
1990
[17]
간행물
Motivation, Ability, and Opportunity to Process Information: Conceptual and Experimental Manipulation Issues
http://www.acrwebsit[...]
1988
[18]
간행물
Elaboration Likelihood Model in Consumer Research: A Review
http://ntur.lib.ntu.[...]
2001
[19]
간행물
Source Factors and the Elaboration Likelihood Model of Persuasion
https://www.acrwebsi[...]
[20]
서적
Communication and Persuasion
[21]
간행물
Thought confidence as a determinant of persuasion: the self validation hypothesis
[22]
간행물
Thought confidence as a determinant of persuasion: the self validation hypothesis
[23]
서적
Handbook of theories of social psychology
Sage
[24]
간행물
Elaboration and Validation Processes: Implications for Media Attitude Change
https://repositorio.[...]
2015-07-03
[25]
간행물
On Cognitive Busyness: When Person Perceivers Meet Persons Perceived
1988
[26]
간행물
American Graffiti: Effects of Authority and Reactance Arousal
[27]
간행물
Central and peripheral routes to advertising effectiveness: The moderating role of involvement
1983
[28]
간행물
Source factors and the elaboration likelihood model of persuasion
1984
[29]
간행물
Can a Celebrity Serve as an Issue-Relevant Argument in the Elaboration Likelihood Model?
2016-03
[30]
간행물
The Elaboration Likelihood Model: Limitations and Extensions in Marketing
1985-01-01
[31]
간행물
Impact Of Celebrity Endorsements In Disease-Specific Direct-To-Consumer (DTC) Advertisements: An Elaboration Likelihood Model Approach
[32]
간행물
Effect of Message Interactivity on Product Attitudes and Purchase Intentions
2016-01-02
[33]
간행물
Effectiveness of Films, Sport, Celebrity or Mascot to Content in the Advertising – A Dilemma for Global Brands
https://doi.org/10.1[...]
2021-07-29
[34]
간행물
Alcohol Advertising on Social Media: A Content Analysis on Message Strategies of Alcohol Advertisements on Facebook, Twitter, and Instagram
2022
[35]
간행물
Impact of online physician service quality on patients' adoption behavior across different stages: An elaboration likelihood perspective
https://linkinghub.e[...]
2024-01
[36]
논문
Adoption of online follow-up service by patients: An empirical study based on the elaboration likelihood model
https://linkinghub.e[...]
2021-01
[37]
논문
Online written consultation, telephone consultation and offline appointment: An examination of the channel effect in online health communities
https://linkinghub.e[...]
2017-11
[38]
논문
The Anatomy of Viral Advertising: A Content Analysis of Viral Advertising from the Elaboration Likelihood Model Perspective
https://www.tandfonl[...]
2023-01-02
[39]
논문
Research on Social Media Advertising Persuasion Based on the Elaboration Likelihood Model
https://www.shs-conf[...]
2023
[40]
문서
Research on social media advertising persuasion based on the elaboration likelihood model
EDP Sciences
2023
[41]
논문
Information Processing of Advertising among Young People: The Elaboration Likelihood Model as Applied to Youth
2007-09
[42]
논문
Religious Symbols as Peripheral Cues in Advertising
2000-04
[43]
논문
Adoption of electronic health records in the presence of privacy concerns: the elaboration likelihood model and individual persuasion
2009
[44]
논문
Adoption of electronic health records in the presence of privacy concerns: the elaboration likelihood model and individual persuasion
2009
[45]
논문
A research agenda for the post-COVID-19 world: Theory and research in social psychology
2021-03
[46]
논문
Persuasion amidst a pandemic: Insights from the Elaboration Likelihood Model
2022-07-03
[47]
논문
COVID-19 Vaccine Discourse on Twitter: A Content Analysis of Persuasion Techniques, Sentiment and Mis/Disinformation
2021-07-03
[48]
논문
Exploring factors to interpretation of targeted nutrition messages for people living with multiple sclerosis
2024-02
[49]
논문
Patient self-management and empowerment for multiple sclerosis: The implications of dietary lifestyle management for primary care
https://www1.racgp.o[...]
2022-04-01
[50]
논문
Complementary and alternative medicine for the treatment of multiple sclerosis
2010-05
[51]
논문
The Role Of Personality Traits And Perceived Values In Persuasion: An Elaboration Likelihood Model Perspective On Online Shopping
[52]
논문
Consumer Skepticism And Online Reviews: An Elaboration Likelihood Model Perspective
[53]
간행물
The Impact of Product Placement on the Dissemination Effectiveness of Online Education: A Case Study of Science Popularization Short Videos on Bilibili.
https://eudl.eu/doi/[...]
2023-10-13/15
[54]
논문
Boosting customers' impulsive buying tendency in live-streaming commerce: The role of customer engagement and deal proneness
https://doi.org/10.1[...]
2024-03
[55]
논문
Impulse buying: Modeling its precursors
https://doi.org/10.1[...]
1998-06
[56]
논문
Immediate or delayed! Whether various types of consumer sales promotions drive impulse buying?: An empirical investigation
https://doi.org/10.1[...]
2021-07
[57]
논문
The Effects Of Web Personalization On User Attitude And Behavior: An Integration Of The Elaboration Likelihood Model And Consumer Search Theory
[58]
논문
An Eye-Tracking Study Of The Elaboration Likelihood Model In Online Shopping
[59]
논문
Using an elaboration likelihood approach to better understand the persuasiveness of website privacy assurance cues for online consumers
[60]
논문
Understanding internet recruitment via signaling theory and the elaboration likelihood model
2013-09
[61]
서적
Social Influence
Psychology Press
[62]
논문
Message modality and source credibility can interact to affect argument processing
1993-01
[63]
논문
Evaluation of smoking prevention television messages based on the elaboration likelihood model
2011-12
[64]
논문
Focusing on media body ideal images triggers food intake among restrained eaters: A test of restraint theory and the elaboration likelihood model
2014-04
[65]
논문
Testimonials Versus Informational Persuasive Messages: The Moderating Effect of Delivery Mode and Personal Involvement
2008-10
[66]
논문
Trust in User-Generated Information on Social Media during Crises : An Elaboration Likelihood Perspective
2016-03-31
[67]
논문
Connective-Collective Action on Social Media: Moderated Mediation of Cognitive Elaboration and Perceived Source Credibility on Personalness of Source
2019-02
[68]
논문
The Role of Civility and Metacommunication in Facebook Discussions
2018-01
[69]
논문
Trust of Information on Social Media: An Elaboration Likelihood Model
https://aisel.aisnet[...]
2012-05-01
[70]
논문
More Accounts, Fewer Links: How Algorithmic Curation Impacts Media Exposure in Twitter Timelines
https://dl.acm.org/d[...]
2021-04-22
[71]
서적
Proceedings of the 17th international conference on World Wide Web
Association for Computing Machinery
2008-04-21
[72]
논문
To engage or not engage? The features of video content on YouTube affecting digital consumer engagement
https://onlinelibrar[...]
2021-09-01
[73]
논문
Emotions as predictor for consumer engagement in YouTube advertisement
https://doi.org/10.1[...]
2018-01-01
[74]
논문
Tweeting with the Stars: Automated Text Analysis of the Effect of Celebrity Social Media Communications on Consumer Word of Mouth
https://journals.sag[...]
2019-11-01
[75]
논문
Applying the Elaboration Likelihood Model to Voting
2012-01-01
[76]
논문
Political Star Power and Political Parties
2007-08-08
[77]
논문
Better Be Convincing or Better Be Stylish? a Theory Based Multi-Agent Simulation to Explain Minority Influence in Groups Via Arguments or Via Peripheral Cues
http://jasss.soc.sur[...]
2006-01-01
[78]
논문
An uninformed electorate: identity-motivated elaboration, partisan cues, and learning
2019-09-03
[79]
서적
2011 IEEE Ninth International Conference on Dependable, Autonomic and Secure Computing
2011-01-01
[80]
논문
Using the Elaboration Likelihood Model to Explain to Whom "#Black Lives Matter" ... And to Whom it Does Not
https://www.tandfonl[...]
2018-02-07
[81]
논문
Fear Appeals, Message Processing Cues, and Credibility in the Websites of Violent, Ideological, and Nonideological Groups: J Comput-Mediat Comm
2014-07-01
[82]
간행물
Fighting the stigma: A unique approach to marketing mental health.
1985-01-01
[83]
논문
Examination of the Stigmas Toward Help Seeking Among Turkish College Students
2017-01-01
[84]
논문
Increasing Positive Perceptions of Counseling: The Importance of Repeated Exposures
2012-04-01
[85]
논문
Examining elaboration likelihood model in counseling context
2013-01-01
[86]
논문
Examining the persuasive effect of metaphor use in psychotherapy: An experimental test of contributing factors
2010-01-01
[87]
논문
The role of mentalizing and epistemic trust in the therapeutic relationship.
http://discovery.ucl[...]
2014-01-01
[88]
논문
Persuasive messages on information system acceptance: A theoretical extension of elaboration likelihood model and social influence theory
2013-01-01
[89]
서적
The Application of Rhetorical Theory in Designing Effective Information Security Messages for Different Leadership Styles
https://hdl.handle.n[...]
2024-01-03
[90]
논문
Fear appeal cues to motivate users' security protection behaviors: an empirical test of heuristic cues to enhance risk communication
https://www.emerald.[...]
2022-05-09
[91]
논문
How leaders are persuaded: An elaboration likelihood model of voice endorsement
2021-05-18
[92]
간행물
A First Look at Communication Theory
McGraw-Hill, New York
1900-01-01
[93]
간행물
Advances in Experimental Social Psychology
Academic press, Orlando
1986-01-01
[94]
서적
Communication and Persuasion: Central and Peripheral Routes to Attitude Change
Springer New York
1986-01-01
[95]
논문
The elaboration likelihood model: review, critique and research agenda
https://usir.salford[...]
2014-11-04
[96]
논문
Is There One Persuasion Process or More? Lumping Versus Splitting in Attitude Change Theories
1999-04-01
[97]
서적
Attitudes and persuasion: Classic and contemporary approaches
1981-01-01
[98]
논문
The Evolution of Theory and Research in Social Psychology: From Single to Multiple Effect and Process Models of Persuasion
http://www.psy.ohio-[...]
1997-01-01
[99]
논문
The Elaboration Likelihood Model: Current Status and Controversies
http://www.psy.ohio-[...]
1999-01-01
[100]
논문
The elaboration likelihood model: review, critique and research agenda
https://usir.salford[...]
2014-11-04
[101]
논문
The elaboration likelihood model of persuasion after two decades: A review of criticisms and contributions
2003-01-01
[102]
간행물
Elaboration likelihood model: A missing intrinsic emotional implication.
2005-01-01
[103]
논문
Cognitive processing of persuasive message cues: A meta-analytic review of the effects of supporting information on attitudes
1986-03-01
[104]
논문
The Role of Attitude toward the Ad as a Mediator of Advertising Effectiveness: A Test of Competing Explanations
1986-01-01
[105]
논문
The Combined Influence Hypothesis: Central and Peripheral Antecedents of Attitude toward the Ad
1995-03-01
[106]
간행물
Persuasion by a Single Route: A View From the Unimodel
1999-04
[107]
문서
Dual routes or a one-way to persuasion? The elaboration likelihood model versus the unimodel
2023
[108]
간행물
Heuristic versus systematic information processing and the use of source versus message cues in persuasion.
http://doi.apa.org/g[...]
1980
[109]
서적
Communication and persuasion: central and peripheral routes to attitude change
Springer-Verlag
1986
[110]
서적
Handbook of theories of social psychology
Sage
[111]
간행물
Source factors and the elaboration likelihood model of persuasion
1984
[112]
간행물
The elaboration likelihood model of persuasion
Elsevier
[113]
간행물
Theories of message processing
McGraw-Hill
2005
[114]
간행물
Attitudes
1935
[115]
간행물
Attitude-behavior relations: A theoretical analysis and review of empirical research
1977
[116]
간행물
Direct experience and attitude-behavior consistency
1981
[117]
간행물
On the consequences of priming: Assimilation and contrast effects
1983
[118]
간행물
The elaboration likelihood model of persuasion
1986
[119]
서적
Communication and persuasion: central and peripheral routes to attitude change
https://archive.org/[...]
Springer-Verlag
1986
[120]
서적
Handbook of theories of social psychology
Sage
본 사이트는 AI가 위키백과와 뉴스 기사,정부 간행물,학술 논문등을 바탕으로 정보를 가공하여 제공하는 백과사전형 서비스입니다.
모든 문서는 AI에 의해 자동 생성되며, CC BY-SA 4.0 라이선스에 따라 이용할 수 있습니다.
하지만, 위키백과나 뉴스 기사 자체에 오류, 부정확한 정보, 또는 가짜 뉴스가 포함될 수 있으며, AI는 이러한 내용을 완벽하게 걸러내지 못할 수 있습니다.
따라서 제공되는 정보에 일부 오류나 편향이 있을 수 있으므로, 중요한 정보는 반드시 다른 출처를 통해 교차 검증하시기 바랍니다.
문의하기 : help@durumis.com