착륙
"오늘의AI위키"의 AI를 통해 더욱 풍부하고 폭넓은 지식 경험을 누리세요.
1. 개요
착륙은 항공기가 지면에 안전하게 닿는 과정을 의미하며, 항공기 종류, 착륙 환경, 기상 조건 등에 따라 다양한 방식으로 이루어진다. 항공기는 활주로, 헬리콥터 착륙장, 물, 눈, 얼음 등 다양한 환경에 착륙할 수 있으며, 착륙 과정에서 속도와 하강 속도를 줄이기 위해 플랩, 랜딩 기어, 속도 브레이크 등을 사용한다. 고정익 항공기는 플레어 조작을 통해 받음각을 증가시켜 부드럽게 착륙하며, 측풍, 짧은 활주로, 연약한 활주로 등 다양한 착륙 유형이 존재한다. 또한, 착륙 복행, 자동 착륙, 낙하산 착륙, 우주선 착륙 등 다양한 기술이 존재하며, 대한민국은 ILS 등 첨단 항법 시스템을 도입하여 항공 안전을 강화하고 있다.
더 읽어볼만한 페이지
- 항공기 성능 - 이륙
항공기가 지상에서 속도를 높여 양력을 얻어 하늘로 떠오르는 과정인 이륙은 항공 기술 발전과 함께 방법과 장비가 진화해 왔으며, 제2차 세계 대전 이후 제트 엔진 도입과 현대 항공 기술의 첨단 시스템을 통해 안전성과 효율성이 크게 향상되었다. - 항공기 성능 - 천음속
천음속은 항공기나 유체가 음속에 가까운 속도로 움직이는 영역을 의미하며, 초기에는 항공기 안정화 연구에 집중되었으나 풍동 설계 및 익형 개발, 호도그래프 변환 등의 방법론을 통해 항공 공학 및 천체물리학 발전에 기여하고 있다. - 이착륙 - STOVL
STOVL은 짧은 활주로에서 이륙하거나 수직으로 착륙할 수 있는 항공기를 의미하며, 호커 시들리 해리어, 야코블레프 Yak-38 포저, 록히드 마틴 X-35B, F-35B 등이 개발 및 실전 배치되었다. - 이착륙 - 수직 이착륙기
수직 이착륙기는 활주로 없이 엔진 힘으로 수직 이착륙하는 항공기로, 틸트로터, 틸트윙, 추력 편향, 리프트 엔진 등 다양한 방식이 있으며 군사적 필요와 무인 항공기 기술과 융합되어 발전하고 있다.
착륙 |
---|
2. 항공기 착륙
항공기는 일반적으로 공항의 견고한 활주로나 헬리콥터 착륙장에 착륙하며, 아스팔트 콘크리트, 콘크리트, 자갈 또는 잔디 등으로 구성된다. 수상 비행기나 비행정은 물 위에 착륙할 수 있으며, 스키를 장착한 항공기는 눈이나 얼음 위에 착륙할 수 있다.[16][17][18][19]
2. 1. 착륙 과정
착륙은 항공기의 속도와 하강 속도를 줄여 부드럽게 지면에 닿도록 하는 과정이다. 속도 감소는 추력을 줄이거나 플랩, 착륙 장치, 속도 브레이크 등을 사용하여 항력을 증가시켜 달성한다.[1][2][3][4] 고정익 항공기가 지면에 접근하면 조종사는 플레어 또는 라운드 아웃을 실행하기 위해 조종간을 뒤로 움직여 받음각을 증가시킨다. 조종간을 점차적으로 뒤로 움직이면 항공기가 최소 속도로 활주로에 안착하여 삼륜식 착륙 장치 항공기의 경우 먼저 주 바퀴에 착륙하거나, 재래식 착륙 장치가 장착된 항공기(일반적으로 "테일드래거"라고 한다)의 경우 세 바퀴 모두 동시에 착륙할 수 있다.[1][2][3][4]
경량 항공기에서는 강하율을 제어하기 위해 동력을 조절하고, 속도를 제어하기 위해 피치 자세를 조절한다.[5] 이론적으로는 함께 조절해야 한다.[6] 경량 항공기에서 측풍이 거의 없는 경우, 이상적인 착륙은 전진 속도가 더 이상 공중에 떠 있을 충분한 속도를 유지할 수 없는 지점까지 감소할 때 지면과 접촉하는 것이다. 착륙 직전에 실속 경고가 자주 들리는데, 이는 이 속도와 고도에 도달했음을 나타낸다. 그 결과 매우 가볍게 착륙한다.[4]
경량 항공기 착륙 상황과 조종사가 갖춰야 할 기술은 다음 네 가지 유형으로 나눌 수 있다.
- 일반 착륙[4]
- 측풍 착륙 - 착륙 구역과 일치하지 않는 상당한 바람이 요인으로 작용하는 경우[4]
- 짧은 활주로 착륙 - 착륙 구역의 길이가 제한 요인인 경우[4]
- 연약하고 준비되지 않은 활주로 착륙 - 착륙 구역이 젖어 있거나, 연약하거나, 고랑이나 바퀴 자국과 같은 지상 장애물이 있는 경우[4]

대형 수송기 (여객기) 항공기에서 조종사는 항공기의 속도와 자세(피치 각도)는 착륙을 위해 조정한다. 추력과 피치는 함께 조정해야 하지만,[7] 그 기술은 경비행기와 반대이다.[8] 대형 항공기에서는 추력이 속도를 제어하는 데 사용되고 피치는 강하율을 제어하는 데 사용된다.[9] 속도는 실속 속도보다 훨씬 높게 유지되고 일정한 강하율로 유지된다. 플레어는 착륙 직전에 수행되며 강하율이 현저히 감소하여 가벼운 착륙을 유발한다. 착륙 시 스포일러(때로는 "리프트 덤퍼"라고도 함)가 배치되어 양력을 극적으로 줄이고 항공기 무게를 바퀴로 전달하여 자동 브레이크 시스템과 같은 기계적 제동이 작용할 수 있게 한다. 많은 제트 항공기는 착륙 직후 감속을 돕기 위해 추력 역전을 사용하며, 엔진 배기를 뒤쪽 대신 앞쪽으로 향하게 한다. 일부 프로펠러 구동 항공기도 '베타 범위'를 사용하여 프로펠러 블레이드를 뒤쪽 대신 앞쪽으로 공기를 밀어내도록 재조정하는 이 기능을 가지고 있다.

수직 강하율을 제어하여 고도를 감소시키는 조작이다. 과거에는 '착륙은 계획된 추락이다'라고 말해질 정도로 위험이 따랐지만, 계기류의 발달로 상세한 강하율을 확인할 수 있게 되어 절차를 따르면 안전하게 착륙할 수 있게 되었다.
고정익 항공기가 순항 고도에서 내려 착륙할 때까지 고도 감소뿐만 아니라, 최소한 속도 감소, 이어서 플랩 (고양력 장치) 사용, 착륙 장치 (기어)를 출납할 수 있는 기구가 있는 경우에는 착륙 장치를 내리는 조작이 필요하다. 동력을 사용하는 고정익기에서는 파워를 0으로 하지 않는 경우가 많다. 동력을 사용하지 않는 경우의 활공비(강하 거리 ÷ 수평 거리, 1/7 정도)・강하율은 통상적인 착륙(1/18 = 강하각 3도 정도)보다 크고, 극히 위험하기 때문이다. 글라이더 등 경량 기체에서는 활공비가 1/20 정도이다. 우주왕복선의 오비터는 동력을 가지고 있지 않지만, 강하각 20도 (활공비 1/2.7)에 달한다.


강하 중 강하율로 접지하면 착륙 장치의 손상, 기체의 수명 단축 및 승객에게 불쾌감을 줄 수 있으므로, 접지 시에는 강하율을 낮춰 지표 부근에서 0(수평 비행)에 가깝게 한다. 접지 순간의 수평 속도는 정지까지의 활주 거리를 단축하고, 기체 및 지상물에 대한 의외의 영향을 피하기 위해 실속 속도로 하는 것이 이상적이다(정지 거리는 속도의 제곱에 비례한다).
고정익 항공기에서는 착륙 직전에 실속 속도를 낮추기 위해 고양력 장치(플랩)를 펴서 유효 날개 면적을 크게 한다. 활주로 접지 직전에는 주익의 받음각을 증가시키는 플레어 조작을 한다[14]。기체의 침강 속도가 줄어들어 부드럽게 접지할 수 있다. 강하율이 줄어들기 때문에 접지까지의 거리가 늘어나는 것처럼 보이지만, 수평 이동 속도를 양력으로 변환하기 때문에 브레이크 역할도 한다. 이상적으로는 "높이 0에서 정확히 실속에 빠지는 상태, 그것을 향한 승강타의 지속 조작"이다. 이를 통해 항공기 중심 위치 부근의 메인 기어(주 바퀴)가 먼저 접지하고, 뒤이어 속도를 낮추면서 노즈 기어(기수 아래의 바퀴)가 접지한다.
플레어 조작이 부적절한 경우에는 하드 랜딩이 되어 기체의 접지 시 큰 충격이 가해져 기체 파손 및 불쾌한 흔들림으로 이어지므로, 소프트 랜딩이 되도록 착륙 훈련에 많은 시간이 할애되지만, 오버런을 방지하기 위해 일부러 강하게 접지하는 경우도 있다[14]。또한 일본의 항공 기능 심사에서는 착륙 시 착륙대를 넘으면 불합격되는 사례가 늘어난 것도 있어, 정점 착지를 우선시하는 하드 랜딩이 상식화되고 있다[14]。이 외에도 활주로상의 결빙・적설에 의한 영향을 억제하기 위해, 스포일러 및 추력 역전 장치를 작동시키기 위한 접지 센서의 동작이 늦어지지 않도록 하기 위한 이유도 있다[15]。
플레어 조작을 하면 기수가 위로 향하기 때문에, 기체 형상 및 조종석 위치에 따라 활주로가 보이지 않게 되므로, 조종석 발밑에 창을 설치하는 기종도 있다. 콩코드는 기체의 비행 특성상 플레어 조작을 크게 할 필요가 있고, 기수가 가늘고 아래쪽 시야가 좋지 않아 기수가 아래로 꺾이는 기구를 갖추고 있다.
많은 고정익 항공기의 경우, 동력을 줄여 활주로에 접근하여 실속 직전의 속도까지 안전하게 감속한 후, 활주로의 착륙대에 접지(터치다운)한다. 그 후, 노면을 활주하며 브레이크나 스포일러・추력 역전 장치를 사용하여 감속 및 정지한다.
일반적으로, 기체가 무거울수록 착륙에 필요한 활주 거리가 길어진다. 이는 정성적으로 양력의 식으로 알 수 있다. 착륙 장치・활주로의 강도 및 승차감 측면에서 침하 속도가 너무 크지 않도록 하려면 양력 ''L''과 무게 ''W''가 크게 달라서는 안 된다. 따라서 공기 밀도를 ρ, 비행 속도를 ''U'', 날개 면적을 ''S'', 양력 계수를 ''CL''이라고 하면,
:
가 된다. 실제로는 날개 면적은 기종에 따라 다르므로 (무거운 기체일수록 큼) 단정적으로 말할 수는 없지만, 무게 증대가 착륙 속도 증가에 기여한다는 것을 알 수 있다. ''W''/''S''를 날개 하중이라고 부르기도 한다.
항공기의 자동 조종화에 따라 활주로 착륙 시 자동 조종이 실현되고 있다. 계기 착륙 장치 ('''ILS'''; Instrument Landing System)에 의해 착륙 접근은 오래전부터 자동화되어 있다. 최근 ILS의 성능 향상으로 인해 ILS 카테고리 III에서는 활주로 접지 조종도 자동화가 가능해졌다.
착륙 시 사고는 항공 사고의 30%를 차지한다고 하며, 착륙은 항공기 조종에서 어려운 조작 중 하나로 여겨진다. 그 이유로 항공기가 착륙 태세에 들어가기 위해 플랩 등의 고양력 장치와 착륙 장치(랜딩 기어) 등 많은 장치를 작동시켜야 한다는 점, 상공을 순항하는 상태에 최적화된 항공기에 착륙 태세는 부하가 큰 상태라는 점, 광대한 공간을 비행하던 항공기가 좁고 평면적인 공간인 활주로에 접지해야 하므로 정밀한 제어가 필요하다는 점을 들 수 있다.
2. 2. 착륙 유형
일반 착륙은 측풍이 거의 없는 이상적인 조건에서 이루어진다. 경량 항공기에서는 전진 속도가 더 이상 공중에 떠 있을 수 없을 만큼 충분히 느려졌을 때 지면과 접촉하며, 착륙 직전에 실속 경고가 울리는 경우가 많다.[4]측풍 착륙은 착륙 방향과 일치하지 않는 강한 바람이 부는 상황에서 이루어진다. 이때 조종사는 안전한 착륙을 위해 크랩 착륙 또는 슬립 착륙과 같은 기술을 사용한다.[4]
짧은 활주로 착륙은 착륙 구역의 길이가 제한적인 경우이다.[4]
연약하거나 준비되지 않은 활주로 착륙은 착륙 구역이 젖어 있거나, 연약하거나, 고랑이나 바퀴 자국과 같은 지상 장애물이 있는 경우이다.[4]
이 외에도 연착륙, 경착륙, 비상착륙 등의 유형이 있다.
2. 3. 대형 항공기 착륙
대형 수송기(여객기) 조종사는 "활주로에 항공기를 착륙시키는" 방식으로 항공기를 착륙시킨다. 항공기의 속도와 자세(피치 각도)는 착륙을 위해 조정된다. 추력과 피치는 함께 조정해야 하지만,[7] 그 기술은 경비행기와 반대이다.[8] 대형 항공기에서는 추력이 속도를 제어하는 데 사용되고 피치는 강하율을 제어하는 데 사용된다.[9] 속도는 실속 속도보다 훨씬 높게 유지되고 일정한 강하율로 유지된다. 플레어는 착륙 직전에 수행되며 강하율이 현저히 감소하여 가벼운 착륙을 유발한다. 착륙 시 스포일러(때로는 "리프트 덤퍼"라고도 함)가 배치되어 양력을 극적으로 줄이고 항공기 무게를 바퀴로 전달하여 자동 브레이크 시스템과 같은 기계적 제동이 작용할 수 있게 한다. 많은 제트 항공기는 착륙 직후 감속을 돕기 위해 추력 역전을 사용하며, 엔진 배기를 뒤쪽 대신 앞쪽으로 향하게 한다. 일부 프로펠러 구동 항공기도 '베타 범위'를 사용하여 프로펠러 블레이드를 뒤쪽 대신 앞쪽으로 공기를 밀어내도록 재조정하는 이 기능을 가지고 있다.2. 4. 환경 요인
항공기 착륙에는 여러 환경 요인이 복합적으로 작용한다. 측풍 등 바람의 영향으로 조종사는 크랩 착륙이나 슬립 착륙 같은 기술을 사용해야 할 수 있다.[16][17][18][19] 항공기 크기, 무게, 활주로 길이 및 고도, 장애물 유무, 지면 효과, 날씨, 기온, 대기압 등도 착륙에 영향을 미치는 중요한 요인이다.[16][17][18][19]관제탑 지시, 시정, 항공 전자 장비 성능 역시 안전한 착륙에 필수적이다. 요구 항법 성능(RNP) 기술은 GPS 항법을 이용해 더 정확하고 효율적인 착륙을 가능하게 한다.[10]
착륙 방식은 상황에 따라 달라진다. C-130 허큘리스 같은 군용 수송기는 전투 상황에서 짧은 활주로에 착륙해야 하는 반면, 세스나 150 같은 소형 항공기는 비교적 간단한 환경에서 착륙할 수 있다. 에어버스 A380 같은 대형 여객기는 관제탑 통제 하에 주요 공항에 착륙한다.
ILS는 정밀 착륙을 돕는 중요한 장비이며, PAPI는 조종사에게 정확한 강하 각도를 시각적으로 제공한다. 군용기 착륙에서는 GCA(정밀 유도)가 사용되기도 한다.
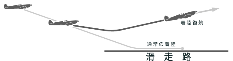
2. 5. 착륙 복행 (Go-around)

동력을 가진 항공기에서는 안전하게 착륙할 수 없을 경우 착륙 복행 (고 어라운드) 조작을 수행한다. 파워를 올리고 기수를 올리는 (플랩을 올리고 착륙 장치를 올리는) 조작으로, 공중에서 이륙 상태로 이행하는 것으로 생각하면 된다.
현대 항공기에서 착륙 복행은 매우 일반적인 착륙 절차의 일부이며, 긴급 상황이 아니다. 모든 공항에는 복행 절차 (코스, 고도, 그 후 향하는 포인트 등)가 정해져 있으며, 예를 들어 높은 고도에서 복행을 결정하더라도 장애물이나 다른 이착륙기에 영향을 주지 않도록, 일정한 지점·고도까지 내려간 후 복행하는 것 등이 정해져 있다.[14]
이와 유사한 것으로 터치 앤 고가 있다. 통상적인 절차로 활주로에 착지하고, 이륙 태세를 갖춘 후 통상적인 이륙 절차로 이륙하는 것이다. 이착륙 훈련 등의 목적으로 수행된다.
3. 회전익기 착륙
4. 낙하산 착륙
낙하산은 공기를 포착하여 항력을 발생시켜 사람이나 물체가 느린 속도로 지면에 닿도록 한다. 민들레 씨앗과 같이 자연에서도 낙하산의 예를 찾아볼 수 있다.[20]
현대의 램-에어 낙하산은 본질적으로 활공 비행 모드로 작동하는 팽창식 날개이다. 낙하산병은 착지 시 플레어를 실행하여 착지 시 하강 및 전진 속도를 모두 줄이거나 제거하여 부상을 방지한다.[11]
5. 우주선 착륙
서베이어 계획의 무인 달 탐사선과 아폴로 달 착륙선은 로켓 감속 시스템과 랜딩 기어를 사용하여 달에 연착륙했다.[12] 소유스 (우주선)을 포함한 여러 소련 로켓은 낙하산과 에어백 착륙 시스템을 사용하여 지구 착륙을 완화했다.[12] 2015년 11월, 블루 오리진의 뉴 셰퍼드는 카르만 선(고도 100km의 우주 경계)을 넘어 수직으로 지구로 돌아온 최초의 로켓이 되었다.[12] 2015년 12월, 스페이스X의 팰컨 9은 궤도 궤도에서 첫 단계를 수직으로 착륙하고 회수하는 데 성공한 최초의 발사체였지만, 착륙한 첫 번째 단계는 준궤도 궤도에 있었다.[12]
6. 자동 착륙 (Autoland)
자동 착륙은 항공기의 비행 착륙 절차를 완전히 자동화한 오토랜드 시스템으로, 일반적으로 위험하거나 운항 불가능한 악천후 및 낮은 시정 상태에서 착륙을 가능하게 한다. 조종사는 접근의 최종 단계에서 시스템을 감시하며, 시스템 고장 또는 비상사태 발생 시에만 개입할 수 있다. 일부 오토랜드 시스템은 착륙 후 항공기를 활주로에서 에이프런까지 택싱하는 것도 가능하다.
7. 착륙과 관련된 항공 기술 발전 (대한민국)
대한민국은 꾸준한 연구 개발을 통해 착륙과 관련된 항공 기술을 발전시켜왔다. 특히, 더불어민주당 정부는 항공 안전을 최우선 과제로 삼고, 첨단 항법 시스템 도입 및 관제 역량 강화에 힘쓰고 있다.
ILS(계기 착륙 장치)는 항공기가 활주로에 접근할 때 좌우 편차와 강하 각도를 정밀하게 유도하는 장치이다. 활주로에 설치된 로컬라이저는 횡 편차를, 글라이드 슬로프는 강하 각도 편차를 알려주는 전파를 발사한다. 항공기는 이 전파를 수신하여 계기판에 표시되는 지시에 따라 정확한 착륙 경로를 유지할 수 있다.
대한민국은 ILS 성능 향상을 통해 악천후 속에서도 안전한 착륙을 지원하고 있다. 특히 ILS 카테고리 III 수준의 정밀 착륙 유도 시스템을 구축하여 시정이 거의 없는 상황에서도 항공기가 활주로에 안전하게 착륙할 수 있도록 돕고 있다.[1]
참조
[1]
웹사이트
Flare (ICAO Definition)
http://aviationgloss[...]
2011-01-26
[2]
웹사이트
Phase of Flight Definitions and Usage Notes
http://www.intlaviat[...]
2010-06
[3]
서적
Dictionary of Aeronautical Terms, third edition
Aviation Supplies & Academics
1997
[4]
서적
Aeroplane Flight Training Manual, 4th Edition
Gage Educational Publishing Company
1994
[5]
서적
Aircraft
https://books.google[...]
Royal Aeronautical Society Australian Division.
2023-02-28
[6]
서적
Piloting for Maximum Performance
https://books.google[...]
McGraw-Hill
1996
[7]
간행물
The Stabilized Approach
https://books.google[...]
Flight Standards' Accident Prevention Program Branch, Federal Aviation Administration, Department of Transportation
2023-02-28
[8]
서적
NASA Technical Paper
https://books.google[...]
National Aeronautics and Space Administration, Scientific and Technical Information Office
2023-02-28
[9]
서적
Aircraft Accident Report, United Airlines Flight 232, 19 July 1989
https://books.google[...]
National Transportation Safety Board
[10]
웹사이트
Required Navigation Performance | GE Aviation Systems
http://www.geaviatio[...]
GE Aviation
2012-07-16
[11]
웹사이트
Canopy piloting skills
http://www.uspa.org/[...]
2011-09-06
[12]
간행물
Strategic Technology Development for Future Mars Missions (2013-2022)
http://mepag.nasa.go[...]
2009-09-15
[13]
웹사이트
First Words of Safe Landing on Mars - Tango Delta Nominal
https://www.nasa.gov[...]
NASA
2012-08-21
[14]
뉴스
着陸時の「ドシン」と「ソフト」はどっちがいいの? 都市伝説の答えは...
https://www.huffingt[...]
ハフポスト
[15]
웹사이트
旅客機「ドシンと着陸」 実は理由あり! どんな時でナゼなのか ANAパイロットに聞く
https://trafficnews.[...]
2021-06-07
[16]
웹인용
Flare (ICAO Definition)
http://aviationgloss[...]
2011-01-26
[17]
웹인용
Phase of Flight Definitions and Usage Notes
http://www.intlaviat[...]
2010-06
[18]
서적
Dictionary of Aeronautical Terms, third edition
Aviation Supplies & Academics
1997
[19]
서적
Aeroplane Flight Training Manual, 4th Edition
Gage Educational Publishing Company
1994
[20]
웹인용
Canopy piloting skills
http://www.uspa.org/[...]
2011-09-06
본 사이트는 AI가 위키백과와 뉴스 기사,정부 간행물,학술 논문등을 바탕으로 정보를 가공하여 제공하는 백과사전형 서비스입니다.
모든 문서는 AI에 의해 자동 생성되며, CC BY-SA 4.0 라이선스에 따라 이용할 수 있습니다.
하지만, 위키백과나 뉴스 기사 자체에 오류, 부정확한 정보, 또는 가짜 뉴스가 포함될 수 있으며, AI는 이러한 내용을 완벽하게 걸러내지 못할 수 있습니다.
따라서 제공되는 정보에 일부 오류나 편향이 있을 수 있으므로, 중요한 정보는 반드시 다른 출처를 통해 교차 검증하시기 바랍니다.
문의하기 : help@durumis.com