XY 모형
"오늘의AI위키"의 AI를 통해 더욱 풍부하고 폭넓은 지식 경험을 누리세요.
1. 개요
XY 모형은 각 격자점마다 각도를 자유도로 갖는 통계역학 모형이다. 해밀토니언으로 정의되며, 격자 차원에 따라 다양한 성질을 보인다. 1차원에서는 정확한 해를 구할 수 있으며, 2차원에서는 코스털리츠-사울리스 전이를 보이며, 3차원에서는 상전이가 일어난다. 3차원 XY 모형은 다양한 물리 시스템의 보편성 부류에 속하며, 임계 지수를 공유한다.
더 읽어볼만한 페이지
| XY 모형 |
|---|
2. 정의
차원 격자 위의 '''XY 모형'''은 다음과 같은 자유도 및 해밀토니언으로 정의되는 통계역학 모형이다.
- 각 격자점 에 대하여, 자유도는 각도 이다.
- 해밀토니언은 다음과 같다. 여기서 및 는 임의의 상수이다. 는 스핀, 는 외부 자기장으로 해석할 수 있다.
- :
위 식에서, 은 격자에서 서로 이웃한 격자점의 쌍에 대한 합을 뜻한다. 인 경우는 강자성, 인 경우는 반강자성에 해당한다.
주어진 차원 격자 에서, 각 격자점 마다 2차원의 단위 벡터 가 존재한다.
스핀 배열 는 각 에 대해 각도 를 할당하는 것이다.
병진 불변 상호작용 와 점 의존적인 외부장 이 주어지면, 배열 에너지는 다음과 같다.
:
이고 가 가장 가까운 이웃인 경우를 '가까운 이웃' 경우라고 한다.
배열 확률은 역온도 를 갖는 볼츠만 분포로 주어진다.
:
여기서 는 정규화 상수 또는 분배 함수이다.[2] 표기 는 ''주기적 경계 조건''이 부과된 후 무한 부피 극한에서 임의 변수 의 기댓값을 나타낸다.
3. 성질
XY 모형의 성질은 차원()에 따라 다르다.
주어진 차원 격자 에서, 각 격자점 마다 2차원의 단위 벡터 가 존재한다. 스핀 배열 는 각 에 대해 각도 를 할당하는 것이다.
병진 불변 상호작용 와 점 의존적인 외부장 이 주어지면, 배열 에너지는 다음과 같다.
:
이고 가 가장 가까운 이웃인 경우를 '가까운 이웃' 경우라고 한다.
배열 확률은 역온도 를 갖는 볼츠만 분포로 주어진다.
:
여기서 는 정규화 상수 또는 분배 함수이다.[2] 표기 는 ''주기적 경계 조건''이 부과된 후 무한 부피 극한에서 임의 변수 의 기댓값을 나타낸다.
열역학적 극한에 대한 열역학적 자유 에너지와 스핀 상관 관계의 존재는 지네브르에 의해 증명되었으며, 이는 이 경우 그리피스 부등식으로 확장되었다.[3]
그리피스 부등식을 지네브르의 공식으로 사용하여, 아이젠만과 사이먼[4]은 차원 에서, 결합 및 역온도 인 ''강자성'' XY 모형의 2점 스핀 상관 관계가 차원 에서 결합 및 역온도 인 ''강자성'' 이징 모형의 2점 상관 관계에 의해 ''지배된다''는 것을 증명했다.
따라서 XY 모형의 임계 는 이징 모형의 임계 의 두 배보다 작을 수 없다.
1차원, 2차원, 3차원 이상에서 XY모형은 각각 다른 성질을 갖는다. 1차원 XY 모형은 유한 온도에서 상전이가 없지만, 2차원 XY 모형은 코스털리츠-사울리스 전이를 보인다. 3차원 XY 모형은 강자성-상자성 상 전이를 갖는다.
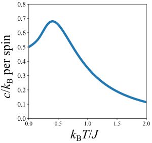
3. 1. 1차원
외부 자기장이 없을 때, 1차원 XY 모형은 정확히 풀 수 있다. 개의 격자점 이 존재하고, 양끝에 경계 조건을 부여하지 않는다고 가정하면, 자유도는 와 같은 변수로 나타낼 수 있다.이때 해밀토니언은 다음과 같다.
:
그리고 분배 함수는 다음과 같다.
:
여기서 는 제1종 변형 베셀 함수이다.
자유 경계 조건에서 해밀토니안은 다음과 같다.
좌표 변환()을 통해 분배 함수를 인수분해하면 다음과 같은 결과를 얻는다.
여기서 는 제1종의 변형 베셀 함수이다.
열역학적 극한()에서 스핀당 자유 에너지는 다음과 같다.
변형 베셀 함수의 속성을 이용하면 비열(스핀당)은 다음과 같이 표현된다.[5]
여기서 이고 는 단거리 상관 함수이다.
1차원 XY 모형은 1차원 이징 모형과 마찬가지로 유한 온도에서 상전이가 없다.
주기 경계 조건에서도 전달 행렬 형식론을 통해 같은 결과를 얻을 수 있다.[6]
자기 감수율 는 2차 섭동 이론을 통해 다음과 같이 계산된다.[7]
여기서 는 퀴리 상수이다.
3. 2. 2차원
2차원 XY 모형은 코스털리츠-사울리스 전이(Kosterlitz–Thouless transition영어)라는 상전이를 보인다. 높은 온도에서는 스핀의 기댓값이 0이고, 스핀의 상관 함수는 긴 거리에서 지수적으로 0으로 수렴한다.[8][9][10][11][12][13][14]머민-바그너 정리에 의해 2차원에는 자발 대칭 깨짐이 없어, 절대 영도에서도 스핀의 기댓값은 0이다. 그러나 낮은 온도에서 스핀의 상관 함수는 지수 법칙 대신 거듭제곱 법칙을 따른다.
코스털리츠-사울리스 전이는 스핀의 상관 함수가 지수 법칙에서 거듭제곱 법칙으로 바뀌는 현상이다. 높은 온도에서는 소용돌이(vortex영어)와 반소용돌이(antivortex영어)가 자유롭게 존재하지만, 낮은 온도에서는 소용돌이-반소용돌이 쌍으로만 존재할 수 있기 때문이다. 코스털리츠-사울리스 임계 온도에서는 소용돌이들이 속박된다.
2차원 XY 모형의 저에너지 극한은 자유 주기 보손의 2차원 등각 장론이다.
가까운 이웃 상호 작용을 갖는 2차원 XY 모형은 Mermin–Wagner 정리가 요구하는 장거리 순서를 갖지 않는 연속 대칭을 가진 2차원 시스템의 예이다. 대칭 붕괴와 관련된 기존의 상 전이는 존재하지 않는다. 그러나 이 시스템은 무질서한 고온 상태에서 임계 온도 이하의 준정렬 상태로 전이되는 징후를 보이며, 이를 Kosterlitz-Thouless 전이라고 한다.
2D XY 모형은 몬테카를로 시뮬레이션을 사용하여 매우 자세하게 연구되었다. 예를 들어 Metropolis 알고리즘을 사용, 시스템 에너지, 비열, 자화 등과 같은 열역학적 양을 다양한 온도 및 시간 척도에서 계산할 수 있다. 몬테카를로 시뮬레이션에서 각 스핀은 연속적으로 변화하는 각도와 관련된다.

XY 모형의 엄격한 분석은 열역학적 극한에서 자화가 0이고 제곱 자화가 를 따르며, 이는 열역학적 극한에서 사라짐을 보여준다.
임계 전이 및 와류 형성의 특성은 XY 모형의 연속 버전을 통해 설명할 수 있다. 여기서 이산 스핀은 공간의 임의의 지점에서 스핀의 각도를 나타내는 필드로 대체된다.
XY 모형의 연속 버전은 초유체 헬륨, 육방정 액정을 모델링하는 데 사용된다. 이는 대칭 붕괴가 항상 동반되는 다른 상 전이와는 다르다. XY 모형의 위상적 결함은 저온 상에서 고온 무질서 상으로의 와류-언바인딩 전이로 이어진다.
3. 3. 3차원
3차원 XY 모형은 자유 아벨 게이지 이론의 격자화로 해석할 수 있다. 3차원에서 게이지장 는 한 개의 자유도를 가지며, 이는 쌍대화:
를 통해 나타낼 수 있다. 이렇게 정의된 스칼라장 는 게이지 변환에 의하여 주기적이며, 따라서 XY 모형의 각도로 해석할 수 있다.
낮은 온도에서는 U(1) 게이지 대칭의 자발 대칭 깨짐으로 인하여, 스핀이 기댓값을 갖는다.
:
따라서 가능한 바닥 상태들의 집합은 원 모양이다.
높은 온도에서는 게이지 대칭이 회복된다. 즉, 스핀의 기댓값은 0이며, 상관 함수는 지수적으로 감소한다.
:
:
이 두 상 사이에서는 어떤 임계 온도 에서 상전이(자발 대칭 깨짐)가 발생한다.
3차원에서도 상전이는 솔리톤과 관계있다. 고온 상에서는 여차원이 1인 소용돌이가 발생하며, 주기 스칼라장 는 소용돌이 둘레에 자명하지 않은 모노드로미를 갖는다. 반면, 저온 상에서는 소용돌이가 억제된다. 상호작용 범위와 관계없이, 충분히 낮은 온도에서는 자화가 양의 값을 갖는다.
- 고온에서는 자발적 자화가 사라진다: . 게다가, 클러스터 전개는 스핀 상관관계가 지수적으로 빠르게 클러스터화됨을 보여준다. 예를 들어 이다.
- 저온에서는 적외선 경계가 자발적 자화가 엄격하게 양수임을 보여준다: . 게다가, 1-매개변수 극단 상태 군이 존재하며, , 이지만, 추측건대, 이러한 각 극단 상태에서 절단된 상관관계는 대수적으로 감소한다.
세 차원 경우는 위상 전이 시 임계 지수가 비자명하기 때문에 흥미롭다. 많은 3차원 물리 시스템이 3차원 XY 모형과 동일한 보편성 부류에 속하며, 특히 이축 자성체와 액체 헬륨-4와 같은 동일한 임계 지수를 공유한다. 이러한 임계 지수 값은 실험, 몬테카를로 시뮬레이션으로 측정되며, 재규격화군 및 등각 부트스트랩과 같은 양자장론의 이론적 방법을 통해 계산할 수도 있다. XY 모형의 임계점이 재규격화군 고정점으로 설명될 것으로 믿어지기 때문에 재규격화군 방법이 적용 가능하다. 또한 단위적인 3차원 등각장론으로 여겨지기 때문에 등각 부트스트랩 방법이 적용 가능하다.
3차원 XY 모형의 가장 중요한 임계 지수는 이다. 이들 모두는 복소수 순서 매개변수장 와 주 단일항 연산자 (긴즈버그-란다우 묘사에서 와 동일)의 스케일링 차원 와 의 두 숫자를 통해 표현될 수 있다. 또 다른 중요한 장은 (와 동일)이며, 그 차원 는 스케일링 보정 지수 를 결정한다. 등각 부트스트랩 계산에 따르면,[15] 이러한 세 가지 차원은 다음과 같다.
| 0.519088(22) | |
| 1.51136(22) | |
| 3.794(8) |
이는 임계 지수의 다음 값을 제공한다.
| 일반적인 표현() | 수치 값 | |
|---|---|---|
| α | -0.01526(30) | |
| β | 0.34869(7) | |
| γ | 1.3179(2) | |
| δ | 4.77937(25) | |
| η | 0.038176(44) | |
| ν | 0.67175(10) | |
| ω | 0.794(8) |
4. 위상 전이
2차원 XY 모형은 코스털리츠-사울리스 전이(상전이)를 보인다. 높은 온도에서는 스핀의 기댓값이 0이며, 스핀의 상관 함수는 긴 거리에서 지수적으로 0으로 수렴한다. 머민-바그너 정리로 인해 2차원에서는 자발 대칭 깨짐이 없어, 절대 영도에서도 스핀의 기댓값은 0이다. 그러나 낮은 온도에서 스핀의 상관 함수는 지수 법칙 대신 거듭제곱 법칙을 따른다.
코스털리츠-사울리스 전이는 스핀의 상관 함수가 지수 법칙에서 거듭제곱 법칙으로 바뀌는 현상이다. 높은 온도에서는 소용돌이와 반소용돌이가 자유롭게 존재하지만, 낮은 온도에서는 소용돌이-반소용돌이 쌍으로만 존재할 수 있기 때문이다. 코스털리츠-사울리스 임계 온도에서는 소용돌이들이 속박된다.
2차원 XY 모형의 저에너지 극한은 자유 주기 보손의 2차원 등각 장론이다.
참조
[1]
논문
Dependence of Critical Properties on Dimensionality of Spins
[2]
서적
Principles of Condensed Matter Physics
https://books.google[...]
Cambridge University Press
[3]
논문
General formulation of Griffiths' inequalities
http://projecteuclid[...]
[4]
논문
A comparison of plane rotor and Ising models
[5]
논문
On the thermodynamics of classical spins with isotrop Heisenberg interaction in one-dimensional quasi-periodic structures
[6]
논문
Transfer matrix in plane-rotator model
[7]
서적
The Theory of Magnetism II
Springer Series in Solid-State Physics
[8]
논문
Microcanonical Monte Carlo simulations for the two-dimensional XY model
[9]
논문
Transfer matrix in plane-rotator model
https://www.scienced[...]
1984
[10]
논문
Finite-size scaling method for the Berezinskii-Kosterlitz-Thouless transition
[11]
논문
Superfluid Transition and Specific Heat of the 2D ''x-y'' Model: Monte Carlo Simulation
[12]
논문
Monte Carlo study of the planar spin model
[13]
서적
Applications of the Monte Carlo Method in Statistical Physics
Springer Science & Business Media
[14]
논문
The Kosterlitz–Thouless transition in two-dimensional abelian spin systems and the Coulomb gas
http://projecteuclid[...]
[15]
논문
Carving out OPE space and precise O(2) model critical exponents
http://link.springer[...]
[16]
논문
Monte Carlo study of an improved clock model in three dimensions
https://link.aps.org[...]
2019-12-26
[17]
서적
Phase Transition Dynamics
Cambridge University Press
2004
본 사이트는 AI가 위키백과와 뉴스 기사,정부 간행물,학술 논문등을 바탕으로 정보를 가공하여 제공하는 백과사전형 서비스입니다.
모든 문서는 AI에 의해 자동 생성되며, CC BY-SA 4.0 라이선스에 따라 이용할 수 있습니다.
하지만, 위키백과나 뉴스 기사 자체에 오류, 부정확한 정보, 또는 가짜 뉴스가 포함될 수 있으며, AI는 이러한 내용을 완벽하게 걸러내지 못할 수 있습니다.
따라서 제공되는 정보에 일부 오류나 편향이 있을 수 있으므로, 중요한 정보는 반드시 다른 출처를 통해 교차 검증하시기 바랍니다.
문의하기 : help@durumis.com