자이페르트-판 캄펀 정리
"오늘의AI위키"의 AI를 통해 더욱 풍부하고 폭넓은 지식 경험을 누리세요.
1. 개요
자이페르트-판 캄펀 정리는 위상 공간과 그 공간을 덮는 두 부분 공간의 기본군 사이의 관계를 설명하는 정리이다. 이 정리는 기본군뿐만 아니라 기본 준군에 대해서도 일반화될 수 있다. 특히, 공간이 두 열린 부분 공간의 합집합으로 표현될 때, 각 부분 공간의 기본군과 교집합의 기본군 사이의 관계를 통해 전체 공간의 기본군을 계산할 수 있다. 자이페르트-판 캄펀 정리는 원의 기본군 계산과 같은 문제 해결에 활용되며, 쐐기합 공간, 종수 n인 곡면의 기본군 계산에도 적용된다. 이 정리는 군의 표현을 통해 더 명확하게 표현될 수 있으며, 기본 준군을 사용하여 더 일반적인 경우로 확장될 수 있다. 이 정리는 헤르베르트 자이페르트와 에흐베르튀스 판 캄펀이 증명했으며, 로널드 브라운에 의해 기본 준군에 대해 일반화되었다.
더 읽어볼만한 페이지
- 대수적 위상수학 정리 - 렙셰츠 초평면 정리
렙셰츠 초평면 정리는 복소수체 위의 사영 대수다양체 와 초평면의 교집합 에 대해, 가 매끄러운 다양체일 때, 특이 호몰로지 군, 특이 코호몰로지 군, 호모토피 군 사이의 특정 군 준동형들이 동형사상 또는 전사 함수가 됨을 보이는 정리이며, 상대 호몰로지 군, 상대 코호몰로지 군, 상대 호모토피 군의 소멸 정리와 동치이다. - 대수적 위상수학 정리 - 보편 계수 정리
보편 계수 정리는 대수적 위상수학에서 호몰로지 군과 코호몰로지 군 사이의 관계를 Tor 및 Ext 함자를 통해 설명하며, 호몰로지 및 코호몰로지 보편 계수 정리로 나뉘고 여러 따름정리를 유도하거나 구체적인 예제 계산에 활용된다. - 대수적 위상수학 - 매시 곱
매시 곱은 미분 등급 대수 원소에 대한 연산으로 코호몰로지 곱으로 파악하기 어려운 위상수학적 불변량을 측정하며, 2항 곱과 3항 곱을 일반화한 형태로 불확정성을 가지지만, 브루니안 링크, 보로메오 고리 연구 및 꼬인 K-이론 등 다양한 분야에 응용된다. - 대수적 위상수학 - 톰 공간
톰 공간은 파라콤팩트 공간 위의 벡터 다발을 이용하여 구성되며, 르네 톰에 의해 도입되었고, 톰 동형을 통해 기저 공간의 코호몰로지와 관계를 가지며 특성류 이론 등에서 중요한 역할을 한다.
자이페르트-판 캄펀 정리 |
---|
2. 정의
위상 공간 와 이 공간을 덮는 두 부분 공간 가 주어졌고, 다음 조건이 성립한다고 가정하자.
또한, 부분 공간 가 다음 조건을 만족시킨다고 하자.
그렇다면, '''자이페르트-판 캄펀 정리'''에 따르면 다음 명제들이 성립한다.
:
특히, 와 가 경로 연결 공간이며, 는 한원소 집합이며, 는 공집합이 아닌 경로 연결 공간이라고 하자. 그렇다면 는 경로 연결 공간이며, 다음과 같은, 기본군의 (군의 범주에서의) 밂이 존재한다.
:
''X''가 두 열린 경로 연결 부분 공간 ''U''1, ''U''2의 합집합인 위상 공간이라고 하자. ''U''1 ∩ ''U''2가 경로 연결되어 있고 공집합이 아니며, ''x''0를 모든 기본군들의 기저로 사용할 ''U''1 ∩ ''U''2의 점이라고 하자. ''U''1과 ''U''2를 ''X''에 포함하는 사상은 준동형 사상 와 를 군 준동형 사상으로 유도한다. 그러면 ''X''는 경로 연결되어 있고 과 는 가환 푸시 아웃 다이어그램을 형성한다.

자연 사상 ''k''는 동형 사상이다. 즉, ''X''의 기본군은 의 합병과 함께 ''U''1과 ''U''2의 기본군의 자유곱이다.[1]
일반적으로 이 정리에서 포함에 의해 유도된 사상은 그 자체가 단사가 아니며, 더 정확한 진술은 군의 푸시 아웃의 관점에서 이루어진다.
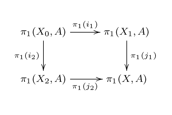
위상 공간 ''X''가 두 부분 공간 ''X''1, ''X''2의 내부로 덮여 있고, ''A''가 ''X''1, ''X''2 및 ''X''0 = ''X''1 ∩ ''X''2의 각 경로 성분을 만나는 집합이라고 할 때, ''A''는 ''X''의 각 경로 성분을 만나고, 포함에 의해 유도된 사상의 다이어그램 '''P'''는 군군의 범주에서 푸시 아웃 다이어그램이다.[4]
''X''가 부분 집합의 가족 의 내부의 합으로 덮이는 경우, 만약 ''A''가 집합의 모든 1, 2, 3-겹 교집합의 각 경로 성분을 만난다면, ''A''는 ''X''의 모든 경로 성분을 만나고, 포함에 의해 유도된 사상의 다이어그램
:
은 군군의 범주에서 코이퀄라이저이다.
알렉산더 그로텐디크는 Esquisse d'un Programme에서 다음과 같이 언급하였다.
원은 대수적 위상수학에서 가장 중요하고 기본적인 예시이지만, 위에 제시된 정리로는 기본군을 계산할 수 없다. 그 이유는, 원은 연결된 공통 부분을 갖는 두 개의 열린 집합의 합집합으로는 실현될 수 없다는 데에 있다. 이 문제는, 기하학적인 상황에 따라 선택한 기점들의 '''집합''' 위의 기본 아군 를 사용함으로써 해결할 수 있다. 원의 경우에는, 두 개의 기점을 선택하면 된다.[20]
이 아군은 의 점들을 잇는 내의 곡선들의 양 끝단에 상대적인 (양 끝단을 고정하는) 호모토피류로 이루어진다. 특히, 가 수축 가능 공간이고, 가 의 서로 다른 두 점으로 이루어져 있을 때, 는 로 종종 표기되는 아군과 동형임을 쉽게 알 수 있다. 이 아군은 두 개의 꼭짓점과 각 꼭짓점 사이에 정확히 하나의 사상으로 이루어진다. 이 아군은, 군의 이론에서 정수의 군이 수행하는 것과 유사한 역할을 아군의 이론에서 수행한다.[21] 아군 는 또한 아군의 호모토피 개념을 생각할 수 있게 한다. 즉, 이는 아군의 범주에서의 '''단위 구간 대상'''이다.

위상 공간 가 두 개의 부분 공간 과 의 내부로 덮이고, 기점 집합 는 과 와 의 모든 호상 연결 성분과 교차한다고 가정한다. 이 때 는 의 모든 호상 연결 성분과 교차하며, 포함에 의해 유도된 사상으로 이루어진 그림 는 아군의 범주의 푸시 아웃 그림이 된다.[22]
3. 예
자이페르트-판 캄펀 정리는 원, 구, 쐐기합, 종수 n인 곡면 등과 같이 더 간단한 공간으로 분해할 수 있는 위상 공간의 기본군을 계산하는 데 사용될 수 있다.[2]
이러한 예시들은 하위 섹션에서 자세히 다루고 있으므로, 여기서는 간략하게 언급만 하고 넘어간다.
3. 1. 원
원 의 기본군은 무한 순환군 이다. 이를 보이기 위해, 원을 두 개의 겹치는 열린 집합으로 나눈다.:
:
이때, 와 의 교집합은 두 개의 연결된 성분으로 구성된다.
:
, , 의 밑점 집합 에서의 기본 준군은 다음과 같다. (항등 사상은 생략)
:
:
:
원의 기본군은 와 의 준군들의 쌍대곱이다. 여기서 는 항등 사상이 아닌 사상이므로, 및 는 모두 무한 순환군 이다. 과 는 에서 서로 동형이므로, 의 기본군은 무한 순환군이다.[2]
하지만, 원은 연결된 교집합을 갖는 두 개의 열린 집합의 합으로는 표현할 수 없기 때문에, 이 방법으로는 원의 기본군을 직접 계산할 수 없다. 이 문제는 기저점의 집합 에 대한 기본 군군 를 사용하여 해결할 수 있다. 원의 경우 두 개의 기저점을 사용한다.[2]
3. 2. 구
2차원 이상의 구 에서, 북극과 남극을 각각 나타내는 ''n''과 ''s''에 대해 열린 집합 과 를 선택한다. 그러면 ''A'', ''B'' 및 ''A'' ∩ ''B''가 열린 경로 연결 집합이라는 속성을 갖는다.''A'' ∩ ''B''를 ''A''와 ''B''로 포함시키고, 그 다음 ''A''와 ''B''를 로 포함시키는 가환도표가 있으며, 각 부분 공간의 기본군 간의 상응하는 준동형사상 도표가 있음을 알 수 있다. 자이페르트-판 캄펀 정리를 적용하면 다음과 같은 결과를 얻는다.
:
그러나 ''A''와 ''B''는 모두 위상동형이며, 이는 단일 연결인 '''R'''2와 위상동형이므로 ''A''와 ''B'' 모두 자명군을 갖는다. 이로부터 의 기본군이 자명하다는 것을 알 수 있다.
3. 3. 쐐기합 공간
두 개의 점 있는 공간 와 가 주어졌을 때, 두 밑점을 동일시하여 의 몫을 취함으로써 쐐기합 을 구성할 수 있다.만약 가 수축 가능한 열린 근방 을 갖고, 가 수축 가능한 열린 근방 를 갖는다면 (예를 들어 와 가 CW 복합체인 경우), 반 캄펜 정리를 에 적용할 수 있다. 이때 두 개의 열린 집합으로 와 를 취하면, 쐐기합의 기본군은 두 공간의 기본군의 자유곱과 같다는 결론을 얻는다.
:.
점(하나만으로 이루어진 공간)의 기본군은 자명하므로, 반 캄펜 정리는 위 식이 군의 동형임을 보여준다.
3. 4. 종수 n인 곡면
종수 ''n'' 방향성 곡면 ''S''의 기본군은 ''종수-n 곡면군''이라고도 불린다. ''S''는 표준 기본 다각형을 사용하여 구성할 수 있다. 다각형 내부의 원판을 열린 집합 ''A''로, ''A''의 중심점을 제외한 ''S''의 여집합을 ''B''로 선택하면, ''A''와 ''B''의 교집합은 환면이 되어 원과 호모토피 동치이며 기본군이 정수군과 같다. 이때, 를 로 포함시키는 것은 임의의 생성자를 자명한 원소로 보내지만, 를 로 포함시키는 것은 자명하지 않다.는 ''B'' (한 점이 삭제된 ''S'')를 다음과 같이 변형 수축시켜 계산할 수 있다.
:
이 공간은 2''n''개의 원의 쐐기합(원의 부케)과 같고, 기본군은 2''n''개의 생성자를 갖는 자유군과 동형이다. 생성자는 루프 이고, 유일한 관계는 다음과 같다.
:
따라서 종수 n인 곡면의 기본군은 다음과 같이 표현된다.
:
4. 동치인 정식화
조합군론의 언어를 사용하면, 자이페르트-판 캄펀 정리는 군의 표현(group presentation)을 통해 더 명확하게 표현될 수 있다. 가 위상 공간, 와 가 의 열린 경로 연결 부분 공간이며, 가 공집합이 아니고 경로 연결되어 있으며, 일 때, 는 와 의 융합곱이다. (반드시 단사일 필요는 없는) 준동형사상 와 에 관하여, 주어진 군 표현은 다음과 같다.
:
이때 융합곱은 다음과 같이 표현될 수 있다.
:
범주론에서 는 군의 범주에서 다음 다이어그램의 밂이다.
:
5. 일반화
이 정리는 기본 준군(fundamental groupoid)을 사용하여 더 일반적인 경우로 확장될 수 있다. 기본 준군은 대수기하학에도 나타나며, 알렉산더 그로텐디크의 연구에서 중요한 역할을 한다.[17]
로널드 브라운은 기점 집합 `A` 위의 기본 준군 를 사용하여, 연결되지 않은 경우로 이 정리를 일반화하였다.[24]
위상 공간 `X`가 두 부분 공간 `X`1, `X`2의 내부로 덮여 있고, `A`가 `X`1, `X`2 및 `X`0 = `X`1 ∩ `X`2의 각 경로 성분을 만나는 집합이라고 하자. 그러면 `A`는 `X`의 각 경로 성분을 만나고, 포함에 의해 유도된 사상의 다이어그램
- -|]]
은 군군의 범주에서 푸시 아웃 다이어그램이다.[4][22]
이 정리는 위상수학에서 추상대수학으로의 전이를 제공하여 기본 군군 을 완전히 결정한다. 그런 다음 대수학과 조합론을 사용하여 어떤 기저점에서 기본군을 결정해야 한다.
이 정리의 한 해석은 호모토피 1-형태를 계산한다는 것이다.
`X`가 부분 집합의 가족 의 내부의 합으로 덮이는 경우, `A`가 집합의 모든 1, 2, 3-겹 교집합의 각 경로 성분을 만난다면, `A`는 `X`의 모든 경로 성분을 만나고, 포함에 의해 유도된 사상의 다이어그램
:
은 군군의 범주에서 코이퀄라이저이다.
알렉산더 그로텐디크는 다음과 같이 언급했다.
임의의 덮개에 대한 정리는, `A`가 덮개 집합의 세 겹 교차점을 모두 만나는 제한을 두어, 브라운과 압둘 라작 살레의 논문에 제시되어 있다.[10][24]
6. 역사
헤르베르트 자이페르트[25]와 에흐베르튀스 판 캄펀[27]이 이 정리를 증명하였다. 로널드 브라운(Ronald Brown영어)이 이를 기본 준군에 대하여 일반화하였다.[28]
이 정리는 로널드 브라운에 의해 기본 군군 를 밑점 집합 ''A''에 사용하여 비연결 경우로 확장되었다. 임의의 덮개에 대한 정리는, ''A''가 덮개 집합의 세 겹 교차점을 모두 만나는 제한을 두어, 브라운과 압둘 라작 살레의 논문에 제시되어 있다.[10] 기본 군에 대한 정리와 증명은 일부 군군 방법을 사용하여 J. 피터 메이의 책에도 제시되어 있다.[11]
밑점 집합에 대한 기본 군군의 응용은 요르단 곡선 정리, 덮개 공간 및 궤도 공간에 대해 로널드 브라운의 책에 제시되어 있다.[12]
이 정리의 고차원 버전은 호모토피 유형에 대한 정보를 제공하며, 고차원 군 이론 및 군군에 대한 논문에 제시되어 있다.[13] 비가환적인 두 번째 상대 호모토피 군을 계산하는 2차원 Van Kampen 정리는 로널드 브라운과 필립 J. 히긴스에 의해 제시되었다.[14]
기본 군은 대수기하학에도 나타나며, 알렉산더 그로텐디크의 첫 번째 부아 마리 대수기하학 세미나 (SGA1)의 주요 주제이다. Van Kampen 정리의 한 버전이 여기에 나타나며, 대수적 위상수학과는 매우 다른 방식으로, 즉 강하 이론에 의해 증명된다.[17]
참조
[1]
서적
Introduction to topological manifolds
Springer
2011
[2]
논문
Groupoids and Van Kampen's theorem
[3]
웹사이트
Groupoids in Mathematics
http://groupoids.org[...]
[4]
서적
Topology and Groupoids.
http://groupoids.org[...]
Booksurge PLC
2006
[5]
서적
Categories and Groupoids
Van Nostrand
1971
[6]
서적
Topology and Groupoids.
Booksurge PLC
2006
[7]
서적
Nonabelian Algebraic Topology: filtered spaces, crossed complexes, cubical homotopy groupoids
European Mathematical Society Tracts
2011-08
[8]
웹사이트
Higher-dimensional, generalized Van Kampen theorems (HD-GVKT)
http://planetphysics[...]
2024-10-15
[9]
문서
[10]
간행물
A Van Kampen theorem for unions of nonconnected spaces
[11]
서적
A Concise Introduction to Algebraic Topology
[12]
서적
Topology and Groupoids
Booksurge
2006
[13]
웹사이트
Higher-dimensional group theory
http://www.bangor.ac[...]
2007
[14]
간행물
On the connection between the second relative homotopy groups of some related spaces
[15]
문서
Nonabelian algebraic topology: filtered spaces, crossed complexes, cubical homotopy groupoids
http://groupoids.org[...]
EMS Tracts in Mathematics
20011
[16]
간행물
Van Kampen theorems for diagrams of spaces
[17]
문서
Algèbre et théories galoisiennes
Cassini
2005
[18]
논문
Groupoids and Van Kampen's theorem
http://planetmath.or[...]
[19]
서적
Introduction to topological manifolds
https://www.worldcat[...]
Springer
2011
[20]
논문
Groupoids and Van Kampen's theorem
http://planetmath.or[...]
[21]
웹사이트
Groupoids in Mathematics
http://groupoids.org[...]
[22]
서적
Topology and Groupoids.
http://groupoids.org[...]
Booksurge PLC
2006
[23]
서적
Introduction to topological manifolds
https://www.worldcat[...]
Springer
2011
[24]
논문
A van Kampen theorem for unions of nonconnected spaces
[25]
저널
[26]
저널
http://www.maths.ed.[...]
[27]
저널
https://archive.org/[...]
[28]
저널
본 사이트는 AI가 위키백과와 뉴스 기사,정부 간행물,학술 논문등을 바탕으로 정보를 가공하여 제공하는 백과사전형 서비스입니다.
모든 문서는 AI에 의해 자동 생성되며, CC BY-SA 4.0 라이선스에 따라 이용할 수 있습니다.
하지만, 위키백과나 뉴스 기사 자체에 오류, 부정확한 정보, 또는 가짜 뉴스가 포함될 수 있으며, AI는 이러한 내용을 완벽하게 걸러내지 못할 수 있습니다.
따라서 제공되는 정보에 일부 오류나 편향이 있을 수 있으므로, 중요한 정보는 반드시 다른 출처를 통해 교차 검증하시기 바랍니다.
문의하기 : help@durumis.com