맨위로가기

가리움 효과

"오늘의AI위키"는 AI 기술로 일관성 있고 체계적인 최신 지식을 제공하는 혁신 플랫폼입니다.
"오늘의AI위키"의 AI를 통해 더욱 풍부하고 폭넓은 지식 경험을 누리세요.

1. 개요

가리움 효과는 다전자 원자에서 전자가 원자핵과 다른 전자 사이의 상호작용에 의해 경험하는 유효 핵전하의 감소를 의미한다. 이는 내부 전자가 외부 전자에 미치는 반발력으로 인해 발생하며, 바깥쪽 전자가 원자핵에 덜 강하게 결합되도록 한다. 가리움 효과는 궤도 침투 효과와 함께 원자가 전자가 원자에서 쉽게 제거되는 이유를 설명하며, 유효 핵전하, 궤도 침투 효과, 원자 궤도 간의 차폐 강도 등을 통해 특징지어진다. 또한 금속의 전기 전도성, 금속 광택, 비활성 기체의 반응성과 같은 다양한 현상에 영향을 미친다.

더 읽어볼만한 페이지

  • 화학 결합 - 원자가 전자
    원자가 전자는 원자의 최외각 전자껍질에 존재하며 화학적 성질을 결정하는 데 중요한 역할을 하고, 주족 원소는 최외각 전자껍질의 전자로 정의되지만 전이 원소는 (n-1)d 궤도의 전자도 포함하며, 주기율표 족에 따라 예측 가능하지만 예외도 존재하고, 화학 결합, 산화 상태, 전기 전도도에 영향을 미친다.
  • 화학 결합 - 파울리 배타 원리
    파울리 배타 원리는 1925년 볼프강 파울리가 제시한 양자역학 원리로, 동일한 페르미온은 동일한 양자 상태에 존재할 수 없으며, 원자의 전자 배치, 화학 결합, 천체 특성 등을 설명하는 데 중요한 역할을 한다.
가리움 효과
개요
이름가리움 효과 (遮蔽効果)
영어 이름Shielding effect
설명핵과 전자 사이의 유효 핵 전하 감소
원인
주요 원인안쪽 껍질의 전자가 핵 전하를 가리기 때문
핵과 특정 전자 사이의 다른 전자들의 반발력 때문
효과
에너지 준위특정 전자의 에너지 준위를 높임
이온화 에너지전자를 떼어내기 쉽게 만듦 (이온화 에너지 감소)
원자 크기원자 크기 증가
계산
유효 핵 전하 (Zeff) 계산식Zeff = Z - S (Z는 원자 번호, S는 가리움 상수)
가리움 상수 (S)다른 전자가 특정 전자에 미치는 가리움 효과의 정도
가리움 상수 (S) 추정 방법
슬레이터 규칙슬레이터 규칙을 사용하여 추정
주기성
경향같은 주기에서 원자 번호가 증가할수록 감소 경향을 보임
같은 족에서 원자 번호가 증가할수록 증가 경향을 보임
응용
화학적 성질 예측원소의 화학적 성질을 예측하는 데 사용
분광학분광학적 데이터 해석에 활용
참고 사항
유효 핵 전하유효 핵 전하에 의해 결정되는 원자의 성질에 영향

2. 원리

오비탈이란 파동함수 또는 원자궤도함수라고 하며, 그 자체로는 의미가 없지만 파동함수의 제곱값은 확률이라는 특징을 가진다. 주양자수(n)는 에너지와 오비탈의 크기와 관련이 있다. 축퇴화란 n>1일 때 전체 n2의 양자 상태들이 하나의 에너지 준위 En으로 존재하는 상태를 말한다. 방위 양자수(l)는 오비탈의 모양, 자기 양자수(m)는 오비탈의 배향과 관련이 있다. 즉, 오비탈의 양자상태는 n, l, m에 의해 결정된다.

다전자 원자에 수소 원자 모델을 적용하기 위해서는 몇 가지를 고려해야 한다. 가장 간단한 다전자 원자인 헬륨은 핵전하가 +2e이고 전자가 두 개이므로 전자의 슈뢰딩거 방정식은 총 여섯 개의 변수(전자당 세 개)를 가져 근사 없이 풀기 어렵다. 하트리는 다음과 같은 근사법을 제안했다.

1. 모든 전자는 핵의 전하에서 다른 전자들의 효과를 합친 유효장 내에서 움직인다.

2. 특정 전자의 유효장은 핵과 다른 전자들과의 쿨롱 퍼텐셜 에너지의 합이다.

3. 이 유효장은 구형 대칭성을 가지며 각도 의존성이 없다.

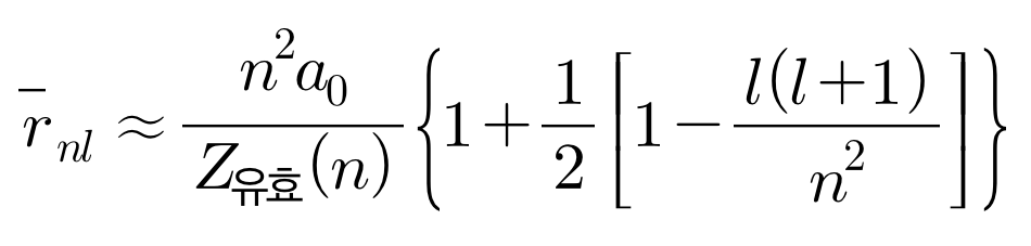
하트리 근사에 따르면, 각 전자는 유효 핵전하가 만든 유효장 내에서 움직인다. 하트리 오비탈에 의해 원자핵과 전자 간 평균 거리는 다음과 같다.

평균거리
({a_{0}}(보어 반지름)=5.29m)

수소 유사 원자에서는 전자에 작용하는 순수한 힘이 원자핵의 전기적 인력과 같다. 그러나 다전자 원자에서는 n껍질의 각 전자가 원자핵의 전자기적 인력뿐만 아니라 1껍질부터 n껍질까지 다른 전자들의 반발력도 받는다. 따라서 바깥 껍질 전자에 작용하는 순수한 힘은 작아져 안쪽 껍질 전자에 비해 원자핵에 덜 묶여 있다. 이것을 '''가리움 효과'''라 하며, 원자핵 본래 양전하를 부분적으로 가리는 것으로 근사하여 화학 반응에 기여하는 바깥 껍질 전하(유효 핵 전하)를 주로 생각한다.

바깥 껍질 전자 중 궤도가 안쪽 껍질보다 안쪽에 편재하는 전자는 안쪽 핵 전자보다 강한 인력을 받아 궤도가 안정된다. 이를 "궤도 관통 효과"라 한다. 예를 들어 2p 궤도 반경 분포의 피크는 2s 궤도 피크보다 안쪽에 있지만, 2s 궤도는 1s 궤도 안쪽에도 피크가 있어(관통) 안정되며, 안쪽 2p 궤도는 2s 전자보다 가리움 효과가 커진다. 가리움 이론은 원자가 전자 껍질 전자가 원자에서 제거하기 쉬운 이유도 설명한다.

가리움 효과의 강도는 양자 역학적 효과로 정확한 계산이 어렵다. 근사적으로 각 전자의 유효 핵 전하는 다음과 같이 추정한다.

 Z_\mathrm{eff}=Z- \sigma \,

여기서 Z는 원자핵 양성자 수, \sigma\,는 고려하는 전자와 원자핵 사이 전자들의 평균 수이다. \sigma\,는 양자 화학과 슈뢰딩거 방정식을 사용하거나, 슬레이터 규칙으로 구한다.

2. 1. 유효 핵전하

오비탈은 파동함수 또는 원자궤도함수라고 표현하며, 그 자체로 의미를 가지지 않지만 파동함수의 제곱값은 확률이라는 특징을 가진다. 하트리 근사와 가리움 효과에 따르면, 각 전자는 유효 핵전하가 만든 유효장 내에서 움직이게 된다.

수소 원자에서 전자에 작용하는 알짜힘은 원자핵으로부터의 전기적 인력과 같은 크기이다. 그러나, 더 많은 전자를 가진 원자에서 {n}번째 전자껍질의 각각의 전자는 원자핵으로부터의 전자기적인 인력뿐만 아니라, 첫 번째 껍질부터 {n}번째 껍질 까지의 다른 전자로부터의 반발력도 받고 있다. 따라서 바깥쪽 껍질의 전자에 작용하는 알짜힘은 극적으로 작아지고, 안쪽 껍질의 전자에 비해 원자핵에 그다지 속박되지 않는다. 이 감소를 ‘가리움 효과(Shielding Effect)’라고 한다.

주기율표알칼리 금속(하나의 원자가 전자만 있는)에 속하는 다른 원자에서 전자에 작용하는 힘은 원자 핵의 전자기력만큼 크다. 그러나 더 많은 전자가 관여할 때 각 전자(''n''번째 전자 껍질)는 양성 핵의 전자기력뿐만 아니라 1부터 ''n''까지의 껍질에 있는 다른 전자의 반발력도 경험한다. 이로 인해 바깥쪽 껍질의 전자에 작용하는 순 힘의 크기가 상당히 작아진다. 따라서 이러한 전자는 핵에 더 가까운 전자만큼 핵에 강하게 결합되지 않는다.

가리움 효과는 내부에 있는 전자가 외부에 있는 전자에 더 효과적으로 작용한다. 주양자수가 1인({n}=1) 전자가 {n}=2인 전자, {n}=3인 전자를 잘 가릴 수 있지만, {n}=2인 전자는 {n}=1인 전자를 잘 가릴 수 없다. 이 성질은 {n}(주양자수)이 같지만 {l}(방위양자수)이 다른 전자에도 적용된다. 2s 오비탈은 {l}=0이기 때문에 {l}=1인 2p 오비탈과 비교해서 원자핵 주변에 전자가 존재할 확률이 높다. 그렇기 때문에 1s 오비탈의 전자는 2s 오비탈의 전자보다는 2p 오비탈의 전자를 더 효과적으로 가릴 수 있다. 그러므로 같은 에너지 준위에서 s,p,d,f 오비탈 사이에는 Z_{eff}(s)>Z_{eff}(p)>Z_{eff}(d)>Z_{eff}(f) 식이 성립하므로 에너지는 E_{s} 가 된다. 그렇기에 다전자 원자의 경우, {n}의 값이 일정하더라도 {l}에 의해 에너지가 바뀌게 되므로 에너지 축퇴가 소멸한다.

전자 껍질이 공간에서 더 넓을수록 가리움으로 인해 전자와 핵 사이의 전기적 상호작용은 약해진다. 또한, 오비탈 침투의 차이로 인해, 주어진 오비탈(s, p, d, 또는 f)의 전자가 나머지 전자에 제공하는 가리움 강도, ''S''는 다음과 같다.

S(\mathrm{s}) > S(\mathrm{p}) > S(\mathrm{d}) > S(\mathrm{f}) .

가리움 효과의 정도는 양자역학에 의한 효과 때문에 정확한 계산이 어렵다. 근사치로써 아래의 방법으로 각 전자의 유효핵전하를 가늠할 수 있다.

:Z_\mathrm{eff}=Z- \sigma \,

여기에서 Z는 원자핵의 양성자의 수, \sigma\,는 고려하고 있는 전자와 원자핵의 사이에 존재하고 있는 전자의 평균 개수이다. \sigma\,양자화학슈뢰딩거 방정식을 사용하거나 슬레이터의 경험식을 사용하는 것으로 구할 수 있다.

E_n=-\frac{(Z_{eff})^2}{n^2}E_0 (''Z''eff는 유효핵전하, ''E''0 =13.6 eV)

러더퍼드 후방 산란 분광법에서 전자 차폐로 인한 보정은 큰 거리에서 입사 이온과 표적 핵 사이의 쿨롱 반발력을 수정한다. 이것은 바깥쪽 전자에 대한 안쪽 전자에 의해 야기되는 반발 효과이다.

2. 2. 오비탈 침투 효과

오비탈은 파동함수 또는 원자궤도함수라고 표현하며, 그 자체로는 의미가 없지만 파동함수의 제곱값은 확률이라는 특징을 가진다. 하트리 근사와 가리움 효과에 따르면, 각 전자는 유효 핵전하가 만든 유효장 내에서 움직이게 된다.

전자 껍질이 공간에서 더 넓을수록 가리움으로 인해 전자와 핵 사이의 전기적 상호작용은 약해진다.

수소 원자나 주기율표알칼리 금속(하나의 원자가 전자만 있는)에 속하는 다른 원자에서 전자에 작용하는 힘은 원자 핵의 전자기력만큼 크다. 그러나 더 많은 전자가 관여할 때 각 전자(''n''번째 전자 껍질)는 양성 핵의 전자기력뿐만 아니라 1부터 ''n''까지의 껍질에 있는 다른 전자의 반발력도 경험한다. 이로 인해 바깥쪽 껍질의 전자에 작용하는 순 힘의 크기가 상당히 작아진다. 따라서 이러한 전자는 핵에 더 가까운 전자만큼 핵에 강하게 결합되지 않는다. 이러한 현상을 종종 궤도 침투 효과라고 한다.

또한 동일한 주 에너지 준위 내의 원자 궤도 간에도 차폐 효과가 발생한다. s-준위의 전자는 동일한 주 에너지 준위의 p-준위에 있는 전자를 차폐할 수 있다.

가리움 효과는 내부에 있는 전자가 외부에 있는 전자에 더 효과적으로 작용한다. 주양자수가 1인({n}=1) 전자가 {n}=2인 전자, {n}=3인 전자를 잘 가릴 수 있지만, {n}=2인 전자는 {n}=1인 전자를 잘 가릴 수 없다. 이 성질은 {n}(주양자수)이 같지만 {l}(방위양자수)이 다른 전자에도 적용된다. 2s 오비탈은 {l}=0이기 때문에 평균거리식을 이용하면 {l}=1인 2p 오비탈과 비교해서 원자핵 주변에 전자가 존재할 확률이 높음을 알 수 있다. 그렇기 때문에 1s 오비탈의 전자는 2s 오비탈의 전자보다는 2p 오비탈의 전자를 더 효과적으로 가릴 수 있다. 따라서 같은 에너지 준위에서 s, p, d, f 오비탈 사이에는 Z_{eff}(s)>Z_{eff}(p)>Z_{eff}(d)>Z_{eff}(f) 식이 성립하므로 에너지는 E_{s} 가 된다. 그렇기에 다전자 원자의 경우, {n}의 값이 일정하더라도 {l}에 의해 에너지가 바뀌게 되므로 에너지 축퇴가 소멸한다.

또한, 오비탈 침투의 차이로 인해, 주어진 오비탈(s, p, d, 또는 f)의 전자가 나머지 전자에 제공하는 가리움 강도, ''S''는 다음과 같이 정렬할 수 있다:

S(\mathrm{s}) > S(\mathrm{p}) > S(\mathrm{d}) > S(\mathrm{f}) .

양자역학의 효과로 인해 차폐 효과의 크기를 정확하게 계산하기 어렵다. 근사적으로 다음과 같이 각 전자에 대한 유효 핵전하를 추정할 수 있다.

:Z_\mathrm{eff}=Z- \sigma \,

여기서 ''Z''는 핵 내 양성자 수이고 \sigma\,는 핵과 해당 전자 사이의 평균 전자 수이다. \sigma\,는 양자 화학 및 슈뢰딩거 방정식을 사용하거나 슬레이터의 경험식을 사용하여 찾을 수 있다.

3. 가리움 효과의 특징

1개의 전자만을 가지고 있는 수소 원자에서 전자에 작용하는 알짜힘은 원자핵으로부터의 전기적 인력과 같은 크기이다. 그러나 더 많은 전자를 가진 원자에서 {n}번째 전자껍질의 각각의 전자는 원자핵으로부터의 전자기적인 인력뿐만 아니라, 첫 번째 껍질부터 {n}번째 껍질까지의 다른 전자로부터의 반발력도 받고 있다. 따라서 바깥쪽 껍질의 전자에 작용하는 알짜힘은 극적으로 작아지고, 안쪽 껍질의 전자에 비해 원자핵에 그다지 속박되지 않는다. 이 감소를 ‘가리움 효과(Shielding Effect)’라고 한다.

가리움 효과의 정도는 양자역학에 의한 효과 때문에 정확한 계산이 어렵다. 근사치로써 아래의 방법으로 각 전자의 유효핵전하를 가늠할 수 있다.

:Z_\mathrm{eff}=Z- \sigma \,

여기에서 Z는 원자핵의 양성자의 수, σ는 고려하고 있는 전자와 원자핵의 사이에 존재하고 있는 전자의 평균 개수이다. σ는 양자화학슈뢰딩거 방정식을 사용하거나 슬레이터 규칙을 사용하는 것으로 구할 수 있다.

:E_n=-\frac{(Z_{eff})^2}{n^2}E_0 (''Z''eff는 유효핵전하, ''E''0 =13.6 eV)

가리움 효과는 내부에 있는 전자가 외부에 있는 전자에 더 효과적으로 작용한다. 주양자수가 1인({n}=1) 전자가 {n}=2인 전자, {n}=3인 전자를 잘 가릴 수 있지만, {n}=2인 전자는 {n}=1인 전자를 잘 가릴 수 없다. 이 성질은 {n}(주양자수)이 같지만 {l}(방위양자수)이 다른 전자에도 적용된다. 2s 오비탈은 {l}=0이기 때문에 위의 평균거리식을 이용하면 {l}=1인 2p 오비탈과 비교해서 원자핵 주변에 전자가 존재할 확률이 높음을 알 수 있다. 그렇기 때문에 1s 오비탈의 전자는 2s 오비탈의 전자보다는 2p 오비탈의 전자를 더 효과적으로 가릴 수 있다. 따라서 위와 같은 방사상 밀도함수 그래프를 도시할 수 있다. 그러므로 같은 에너지 준위에서 s, p, d, f 오비탈 사이에는 다음과 같은 Z_{eff}(s)>Z_{eff}(p)>Z_{eff}(d)>Z_{eff}(f) 식이 성립하므로 에너지는 E_{s} 가 된다. 그렇기에 다전자 원자의 경우, {n}의 값이 일정하더라도 {l}에 의해 에너지가 바뀌게 되므로 에너지 축퇴가 소멸한다.

하나의 전자를 가진 수소 유사 원자에서는, 전자에 작용하는 순수한 힘은 원자핵으로부터의 전기적 인력과 같은 크기이다. 그러나 더 많은 전자를 가진 원자에서는, n껍질에 있는 각 전자는 원자핵으로부터의 전자기적 인력뿐만 아니라, 1껍질 ~ n껍질에 있는 다른 전자로부터의 반발력도 받는다. 따라서 바깥 껍질에 있는 전자에 작용하는 순수한 힘은 극적으로 작아지며, 안쪽 껍질에 있는 전자에 비해 원자핵에 그다지 묶여 있지 않다. 이것을 '''가리움 효과'''라고 하며, 원자핵 본래의 양전하를 부분적으로 가리는 것으로 근사하여, 화학적 반응에 기여하는 바깥 껍질에 있는 전하 (유효 핵 전하)를 주로 생각할 수 있다. 또한, 바깥 껍질 전자 중에서 궤도가 안쪽 껍질보다 안쪽에 궤도가 편재하는 전자는, 안쪽 핵의 전자보다 강한 인력을 받아 궤도가 안정된다. 이것을 "궤도 관통 효과 (Orbital Penetration Effect)"라고 한다. 예를 들어 2p 궤도의 반경 분포의 피크는 2s 궤도의 피크보다 안쪽에 있지만, 2s 궤도는 1s 궤도 안쪽에도 피크가 있기 (관통하고 있기) 때문에 안정되며, 안쪽의 2p 궤도는 2s 전자보다 가리움 효과가 커진다. 가리움 이론에 의해, 왜 원자가 전자 껍질의 전자는 원자로부터 제거하기 쉬운지도 설명할 수 있다.

가리움 효과를 받아 속박이 작아진 최외각 전자는 자유 전자로 행동한다. 이것이 전기 전도나 금속 광택과 같은 금속적 성질을 특징짓는다.

더욱이 원소의 주기가 커지면 보어 모형으로 설명되는 내각 전자는 원자핵의 궤도 에너지가 더욱 높아져 그 속도가 광속에 가까워지므로, 전자의 겉보기 질량이 커지는 상대론적 효과가 더해진다. 외각 전자는 더욱 궤도 준위가 올라가 불안정해지고, 족이 커져도 금속적 성질이 나타나기 쉬워진다. 비활성 기체 원소도 주기가 커지면 폐각된 아각 전자가 결합에 기여하여 화합물을 만들게 되어, 불활성이 아니게 된다.

4. 하트리 근사

오비탈이란 파동함수 또는 원자궤도함수라고 표현하며, 그 자체로 의미를 가지지 않지만 파동함수의 제곱값은 확률이라는 특징을 가진다.

헬륨의 경우에는 핵전하가 +2e이고 전자가 두 개가 되므로 전자의 슈뢰딩거 방정식은 총 여섯 개의 변수(한 전자당 세 개)를 가지므로 이 방정식을 근사 없이 푸는 것은 어렵다. 하트리는 유효장을 도입하여 다음과 같은 근사법을 제안했다.


  • 1. 모든 전자는 핵의 전하에서 다른 전자들의 효과들을 합친 유효장 내에서 움직인다.
  • 2. 특정 전자의 유효장은 핵과 다른 전자들과의 쿨롱 퍼텐셜 에너지의 합이다.
  • 3. 이 유효장은 구형 대칭성을 가지며 각도 의존성이 없다.


하트리 근사와 가리움 효과에 따르면, 각 전자는 유효 핵전하가 만든 유효장 내에서 움직이게 된다.

하트리 오비탈에 의해서 원자핵과 전자간의 평균거리는 아래의 식으로 나타낼 수 있다.

({a_{0}}(보어 반지름)=5.29m)

5. 가리움 효과와 관련된 현상

수소 원자나 주기율표알칼리 금속(하나의 원자가 전자만 있는)처럼 전자가 하나뿐인 원자에서는 전자에 작용하는 힘이 원자핵의 전자기력만큼 크다. 그러나 전자가 더 많아지면, 각 전자(''n''번째 전자 껍질)는 원자핵의 전자기력뿐만 아니라 1부터 ''n''까지의 껍질에 있는 다른 전자들로부터 반발력도 받게 된다. 이 때문에 바깥쪽 껍질의 전자에 작용하는 순수한 힘은 상당히 작아지고, 핵에 더 가까운 전자만큼 강하게 결합되지 않는다. 이러한 현상을 궤도 침투 효과라고도 한다. 가리움 효과는 원자가 껍질 전자가 원자에서 더 쉽게 제거되는 이유를 설명하는 데에도 기여한다.

동일한 주 에너지 준위 내의 원자 궤도 간에도 가리움 효과가 발생한다. 예를 들어, s-준위의 전자는 동일한 주 에너지 준위의 p-준위에 있는 전자를 가릴 수 있다.

가리움 효과의 크기는 양자역학적 효과 때문에 정확하게 계산하기 어렵다. 근사적으로는 각 전자에 대한 유효 핵전하를 다음과 같이 추정할 수 있다.

:Z_\mathrm{eff}=Z- \sigma \,

여기서 ''Z''는 핵 내 양성자의 수이고, \sigma\,는 핵과 해당 전자 사이의 평균 전자 수이다. \sigma\,는 양자 화학 및 슈뢰딩거 방정식을 사용하거나 슬레이터의 경험식을 이용하여 구할 수 있다.

5. 1. 러더퍼드 후방 산란 분광법

러더퍼드 후방 산란 분광법에서 전자 가리움 효과로 인한 보정은 큰 거리에서 입사 이온과 표적 핵 사이의 쿨롱 반발을 수정한다. 이것은 바깥쪽 전자에 대한 안쪽 전자에 의해 야기되는 반발 효과이다.

5. 2. 금속의 성질

수소 원자나 주기율표알칼리 금속(하나의 원자가 전자만 있는)에 속하는 다른 원자에서 전자에 작용하는 힘은 원자 핵의 전자기력만큼 크다. 그러나 더 많은 전자가 관여할 때 각 전자(''n''번째 전자 껍질)는 양성 핵의 전자기력뿐만 아니라 1부터 ''n''까지의 껍질에 있는 다른 전자의 반발력도 경험한다. 이로 인해 바깥쪽 껍질의 전자에 작용하는 순 힘의 크기가 상당히 작아진다. 따라서 이러한 전자는 핵에 더 가까운 전자만큼 핵에 강하게 결합되지 않는다. 이러한 현상을 종종 궤도 침투 효과라고 한다. 차폐 이론은 원자가 껍질 전자가 원자에서 더 쉽게 제거되는 이유를 설명하는데 기여한다.

또한 동일한 주 에너지 준위 내의 원자 궤도 간에도 차폐 효과가 발생한다. s-준위의 전자는 동일한 주 에너지 준위의 p-준위에 있는 전자를 차폐할 수 있다.

가리움 효과를 받아 속박이 작아진 최외각 전자는 자유 전자로 행동한다. 이것이 전기 전도나 금속 광택과 같은 금속적 성질을 특징짓는다.

더욱이 원소의 주기가 커지면 보어 모형으로 설명되는 내각 전자는 원자핵의 궤도 에너지가 더욱 높아져 그 속도가 광속에 가까워지므로, 전자의 겉보기 질량이 커지는 상대론적 효과가 더해진다. 외각 전자는 더욱 궤도 준위가 올라가 불안정해지고, 족이 커져도 금속적 성질이 나타나기 쉬워진다. 비활성 기체 원소도 주기가 커지면 폐각된 아각 전자가 결합에 기여하여 화합물을 만들게 되어, 불활성이 아니게 된다.

5. 3. 비활성 기체의 반응성

원소의 주기가 커지면 보어 모형으로 설명되는 내각 전자는 원자핵의 궤도 에너지가 더욱 높아져 그 속도가 광속에 가까워지므로, 전자의 겉보기 질량이 커지는 상대론적 효과가 더해진다. 외각 전자는 더욱 궤도 준위가 올라가 불안정해지고, 족이 커져도 금속적 성질이 나타나기 쉬워진다. 비활성 기체 원소도 주기가 커지면 폐각된 아각 전자가 결합에 기여하여 화합물을 만들게 되어, 불활성이 아니게 된다.


본 사이트는 AI가 위키백과와 뉴스 기사,정부 간행물,학술 논문등을 바탕으로 정보를 가공하여 제공하는 백과사전형 서비스입니다.
모든 문서는 AI에 의해 자동 생성되며, CC BY-SA 4.0 라이선스에 따라 이용할 수 있습니다.
하지만, 위키백과나 뉴스 기사 자체에 오류, 부정확한 정보, 또는 가짜 뉴스가 포함될 수 있으며, AI는 이러한 내용을 완벽하게 걸러내지 못할 수 있습니다.
따라서 제공되는 정보에 일부 오류나 편향이 있을 수 있으므로, 중요한 정보는 반드시 다른 출처를 통해 교차 검증하시기 바랍니다.

문의하기 : help@durumis.com