맨위로가기

글리코젠 탈분지효소

"오늘의AI위키"는 AI 기술로 일관성 있고 체계적인 최신 지식을 제공하는 혁신 플랫폼입니다.
"오늘의AI위키"의 AI를 통해 더욱 풍부하고 폭넓은 지식 경험을 누리세요.

1. 개요

글리코젠 탈분지 효소는 글리코겐 분해 과정에 관여하는 효소로, 인산화효소에 의해 분해된 글리코겐의 가지를 제거하여 글리코겐 저장소 동원을 돕는다. 이 효소는 4-α-D-글루칸 전이 효소와 아밀로-α-1,6-글루코시다제의 두 가지 기능을 수행하며, 생물 종에 따라 구조가 다르다. 대장균과 같은 세균에서는 두 개의 별개 단백질에 의해 수행되지만, 포유류와 효모에서는 단일 효소가 두 가지 기능을 모두 수행한다. 글리코젠 탈분지 효소의 기능 손상은 III형 글리코겐 저장 질환을 유발할 수 있으며, 이는 간비대, 저혈당증, 근육병증 등의 증상을 나타낸다.

더 읽어볼만한 페이지

  • EC 2.4.1 - 만노실기전이효소
  • EC 2.4.1 - 글리코실기전이효소
    글리코실기전이효소는 글리코실기를 다른 분자에 전달하여 탄수화물, 글리코사이드, 올리고당, 다당류 등을 합성하고, 당단백질 또는 당지질을 형성하며, 반응 메커니즘에 따라 유지형과 반전형 효소로 나뉘고, 일부 저해제는 의약품으로 활용되며, ABO식 혈액형 결정과 복합당질 합성, 신약 개발에 기여한다.
  • EC 3.2.1 - 리소자임
    리소자임은 펩티도글리칸의 β-1,4-글리코사이드 결합을 분해하는 효소로, 그람 양성균의 세포벽 분해를 통한 항균 작용을 하며, 질병 예방 및 치료, 식품 보존 등 다양한 분야에 활용된다.
  • EC 3.2.1 - 락테이스
    락테이스는 유당을 포도당과 갈락토스로 분해하는 효소로, 유당 불내증 치료 보충제나 유당 분해 우유 제조에 사용되며, 효모와 곰팡이에서 얻을 수 있고 일부 인구 집단에서는 락타아제 지속성이 나타난다.
글리코젠 탈분지효소
효소 정보
이름4-α-글루칸전이효소
다른 이름글리코젠 탈분지효소
영어 이름Glycogen debranching enzyme
EC 번호2.4.1.25
CAS 등록번호9032-09-1
GO 코드0004134
추가 효소 정보
이름아밀로-α-1,6-글루코시데이스
EC 번호3.2.1.33
CAS 등록번호9012-47-9
GO 코드0004135

2. 기능

글리코젠 탈분지 효소는 인산화효소와 함께 글리코겐 분해와 포도당 동원에 기능한다. 인산화효소가 글리코겐 가지를 분해하여 4개의 포도당 잔기로 만들면 더 이상 잔기를 제거하지 못한다. 글리코젠 탈분지 효소는 글리코겐 분해에 관여하는 주요 효소인 인산화효소가 글리코겐 저장소를 동원하는 것을 돕는다. 인산화효소는 글리코겐 내 인접한 포도당 분자 사이의 α-1,4-글리코시드 결합만을 절단할 수 있지만, 가지는 α-1,6 결합으로도 존재한다. 인산화효소가 분지점으로부터 4개의 잔기에 도달하면 절단을 멈춘다. 잔기 중 10개 중 1개가 분지되어 있기 때문에 인산화효소만으로는 글리코겐 저장소 동원이 충분하지 않다.[4][18] 인산화효소가 이화 작용을 재개하기 전에 탈분지 효소는 두 가지 기능을 수행한다.


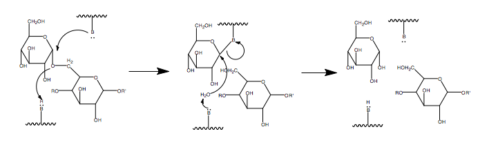
  • 4-α-D-글루칸 전이 효소(4-α-D-glucanotransferase영어), 또는 글루코실전이효소는 4개의 잔기 글리코겐 가지에서 3개의 포도당 잔기를 근처의 가지로 옮긴다. 이는 α-1,6 글리코시드 결합을 통해 포도당 사슬에 결합된 단일 포도당 잔기를 노출시킨다.[4]
  • 알파-1,6 결합 절단 메커니즘
    아밀로-α-1,6-글루코시다제(amylo-α-1,6-glucosidase영어), 또는 글루코시다제는 남아있는 α-1,6 결합을 절단하여 포도당과 선형 글리코겐 사슬을 생성한다.[4] 글루코시다제가 α-1,6-결합을 절단하는 메커니즘은 활성 부위아미노산이 아직 확인되지 않아 완전히 알려지지 않았다. 이는 옥소카르베늄 이온 중간체와 포도당 내 구조 유지를 통해 두 단계의 산-염기 보조 유형 메커니즘을 거치는 것으로 생각된다.[23] 이것은 결합을 절단하는 일반적인 방법으로, 가수 분해 부위 아래의 산이 양성자를 제공하고, 위에 있는 염기가 물을 탈양성자화하여 친핵체 역할을 할 수 있다. 이러한 산과 염기는 효소의 활성 부위에 있는 아미노산 측쇄이다.[19]


따라서 탈분지 효소, 전이 효소 및 α-1,6-글루코시다제는 분지된 글리코겐 구조를 선형 구조로 변환하여 인산화효소에 의한 추가 절단을 위한 길을 열어준다.

3. 구조

대장균(*Escherichia coli*) 및 기타 세균에서 글루코실전달효소와 글루코시다제 기능은 두 개의 별개의 단백질에 의해 수행된다. 대장균에서 포도당 전달은 malQ 유전자에 의해 암호화된 78.5 kDa 단백질인 4-알파-글루칸전달효소에 의해 수행된다.[14] α-1,6-포도당 절단을 수행하는 두 번째 단백질은 탈분지효소라고 하며, 이 효소는 분자량 73.6 kDa이며 glgX 유전자에 의해 암호화된다.[13] 두 효소의 활성은 항상 반드시 결합되는 것은 아니다. 대장균에서 glgX는 글루칸전달효소의 작용 없이 4-서브유닛 가지의 절단을 선택적으로 촉매한다. 이 절단의 산물인 말토테트라오스는 말토덱스트린 포스포릴라제에 의해 추가로 분해된다.[2][5]

대장균 GlgX는 이소아밀라아제 단백질과 구조적으로 유사하다. 단량체 단백질은 8개의 평행한 베타 가닥이 8개의 평행한 알파 가닥으로 둘러싸인 중심 도메인을 포함한다. 이 구조 내에서 주목할 만한 것은 길이가 26Å이고 폭이 9Å인 홈으로, 절단 전에 4-포도당 가지를 안정화시키는 것으로 생각되는 방향족 잔기를 포함한다.[2]

고세균 ''Sulfolobus solfataricus''의 글리코겐 분해 효소인 treX는 아밀로시다제와 글루칸전달효소의 두 가지 활성에 단일 활성 부위를 사용하는 흥미로운 예이다. TreX는 glgX와 구조적으로 유사하며 80 kDa의 질량과 하나의 활성 부위를 갖는다.[11][12] 그러나 glgX와 달리 treX는 용액에서 이량체 및 사량체로 존재한다. TreX의 올리고머 형태는 효소 모양과 기능을 모두 변경하는 데 중요한 역할을 하는 것으로 보인다. 이량체화는 활성 부위에 가까이 위치한 "유연한 루프"를 안정화시키는 것으로 생각된다. 이것은 treX(glgX가 아닌)가 글루코실전달효소 활성을 보이는 이유를 설명하는 데 핵심이 될 수 있다. 사량체로서 treX의 촉매 효율은 이량체 형태보다 4배 증가한다.[2][15]

포유류와 효모에서 단일 효소가 두 가지 탈분지 기능을 모두 수행한다.[6] 인간 글리코젠 탈분지 효소(유전자: AGL)는 분자량 175 kDa의 단량체이다. AGL의 두 가지 촉매 작용은 서로 독립적으로 작용할 수 있으며, 이는 여러 활성 부위가 존재함을 보여준다. 이러한 생각은 활성 부위 억제제인 폴리하이드록시아민과 같은 물질로 강화되었는데, 이 물질은 글루코시다아제 활성을 억제하는 반면 트랜스퍼라아제 활성은 측정 가능한 변화가 없었다.[9] 글리코겐 탈분지 효소는 여러 촉매 부위를 포함하고 단량체로 활성화되는 유일한 알려진 진핵생물 효소이다.[7][8]

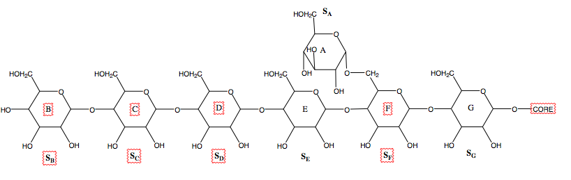
일부 연구에 따르면 효모 GDE의 C-말단 절반은 글루코시다아제 활성과 관련이 있는 반면 N-말단 절반은 글루코실트랜스퍼라아제 활성과 관련이 있다.[6] 이러한 두 개의 활성 부위 외에도 AGL은 글리코겐 중합체에 결합할 수 있는 세 번째 활성 부위를 포함하는 것으로 보인다.[10] 아래의 그림은 사슬의 6개 포도당 분자와 분지된 포도당에 결합하여 활성 부위 내 7개의 소단위에 해당한다고 생각되는 결합 위치를 나타낸다.[1]

활성 부위 내 7개의 소단위에 해당한다고 생각되는 결합 위치


''칸디다 글라브라타''(Candida glabrata) GDE의 구조가 보고되었다.[1] 이 구조는 GDE 내의 별개의 도메인이 글루칸트랜스퍼라아제 및 글루코시다아제 활성을 암호화한다는 것을 보여주었다. 그들의 촉매 작용은 각각 알파-아밀라아제 및 글루코아밀라아제와 유사하다. 그들의 활성 부위는 각 기질에 선택적이어서 GDE의 적절한 활성화를 보장한다. 활성 부위 외에도 GDE는 글리코겐에 대한 추가 결합 부위를 가지고 있으며, 이는 글리코겐으로의 모집에 중요하다. 질병 유발 돌연변이를 GDE 구조에 매핑하여 글리코겐 저장 질환 III형에 대한 통찰력을 얻었다.

4. 임상적 중요성

글리코젠 탈분지 효소(GDE)의 활성이 손상되면 신체는 저장된 글리코젠을 효과적으로 방출할 수 없게 된다. 이는 상염색체 열성 질환인 글리코젠 축적병 III형(코리병, 포르베스병)을 유발할 수 있다. 글리코젠 축적병 III형에서는 글리코겐 분해가 불완전하게 이루어져 짧은 외부 가지를 가진 비정상적인 글리코겐이 축적된다.[18]

대부분의 환자는 간과 근육 모두에서 글리코젠 탈분지 효소 결핍증을 보이는 IIIa형을 앓지만, 15%의 환자는 간에만 글리코젠 탈분지 효소가 결핍된 IIIb형을 앓는다.[18] AGL 유전자의 돌연변이 위치에 따라 서로 다른 유전자 발현 이소형에 영향을 미칠 수 있다. 예를 들어 엑손 3에서 발생하는 돌연변이는 주로 간에서 발현되는 이소형에 영향을 미쳐 글리코젠 축적병 III형을 유발한다.[25]

이러한 다양한 발현은 글리코젠 축적병 I형과 거의 구별할 수 없는 다양한 증상을 나타내는데, 여기에는 간비대, 소아의 저혈당증, 작은 키, 근육병증, 심근병증이 포함된다.[3][16] IIIa형 환자는 종종 간 질환 및 진행성 근육 관련 증상을 보이며, 발병 연령, 질병 진행 속도 및 중증도에 따라 차이가 있다. IIIb형 환자는 일반적으로 간 질환과 관련된 증상을 보인다.[1] 글리코젠 축적병 III형 환자는 다른 형태의 글리코젠 축적병과 달리 정상적인 요산 및 혈액 젖산 수치를 보이면서 간 효소 수치가 상승하여 구별할 수 있다.[25] IIIa형의 경우, 근육 약화가 성인이 되면서 두드러지게 나타나 심실 비대 및 원위부 근육 소모로 이어질 수 있다.[25]

참조

[1] 논문 Crystal structure of glycogen debranching enzyme and insights into its catalysis and disease-causing mutations 2016-04
[2] 논문 Structural rationale for the short branched substrate specificity of the glycogen debranching enzyme GlgX 2010-06
[3] 논문 Human glycogen debranching enzyme gene (AGL): complete structural organization and characterization of the 5' flanking region 1996-12
[4] 서적 Biochemistry W.H. Freeman
[5] 논문 Role of the Escherichia coli glgX gene in glycogen metabolism 2005-02
[6] 논문 Identification of the catalytic residues of bifunctional glycogen debranching enzyme 2001-08
[7] 논문 Glycogen debranching enzyme: purification, antibody characterization, and immunoblot analyses of type III glycogen storage disease 1987-12
[8] 웹사이트 Glycogen debranching enzyme - Homo sapiens (Human) https://www.uniprot.[...] UniProt
[9] 논문 Amylo-1,6-glucosidase/4-alpha-glucanotransferase. Reaction of rabbit muscle debranching enzyme with an active site-directed irreversible inhibitor, 1-S-dimethylarsino-1-thio-beta-D-glucopyranoside 1980-09
[10] 논문 Amylo-1,6-glucosidase/4-alpha-glucanotransferase: use of reversible substrate model inhibitors to study the binding and active sites of rabbit muscle debranching enzyme 1977-09
[11] 논문 Structural insight into the bifunctional mechanism of the glycogen-debranching enzyme TreX from the archaeon Sulfolobus solfataricus 2008-10
[12] 웹사이트 TreX - Actinoplanes sp. SN223/29 https://www.uniprot.[...] UniProt
[13] 웹사이트 Glycogen debranching enzyme - Escherichia coli O139:H28 (strain E24377A / ETEC) https://www.uniprot.[...] UniProt
[14] 웹사이트 4-alpha-glucanotransferase - Escherichia coli (strain K12) https://www.uniprot.[...]
[15] 논문 Oligomeric and functional properties of a debranching enzyme (TreX) from the archaeon Sulfobus solfataricus P2.
[16] 논문 Glycogen storage disease in adults 1994-02
[17] 서적 Molecular Pathology of Liver Diseases (Molecular Pathology Library) Springer
[18] 논문 Substrate recognition mechanism of alpha-1,6-glucosidic linkage hydrolyzing enzyme, dextran glucosidase from Streptococcus mutans 2008-05
[19] 논문 Mechanisms of enzymatic glycoside hydrolysis 1994-12
[20] 논문 Active site mapping of amylo-alpha-1,6-glucosidase in porcine liver glycogen debranching enzyme using fluorogenic 6-O-alpha-glucosyl-maltooligosaccharides 2007-05
[21] 논문 The determination of amylo-1,6-glucosidase 1967-10
[22] 논문 Immunoblot analyses of glycogen debranching enzyme in different subtypes of glycogen storage disease type III 1990-01
[23] 논문 Molecular mechanism in alpha-glucosidase and glucoamylase 1997-08
[24] 웹사이트 Genes (Genetic Home Reference a service of U.S. National Library of Medicine. http://ghr.nlm.nih.g[...] 2012-02-29
[25] 논문 Mutations in exon 3 of the glycogen debranching enzyme gene are associated with glycogen storage disease type III that is differentially expressed in liver and muscle 1996-07
[26] 논문 Glycogen storage disease type III diagnosis and management guidelines 2010-07
[27] 논문 The determination of amylo-1,6-glucosidase 1967-10
[28] 논문 Structural rationale for the short branched substrate specificity of the glycogen debranching enzyme GlgX 2010-06
[29] 논문 Human glycogen debranching enzyme gene (AGL): complete structural organization and characterization of the 5' flanking region 1996-12



본 사이트는 AI가 위키백과와 뉴스 기사,정부 간행물,학술 논문등을 바탕으로 정보를 가공하여 제공하는 백과사전형 서비스입니다.
모든 문서는 AI에 의해 자동 생성되며, CC BY-SA 4.0 라이선스에 따라 이용할 수 있습니다.
하지만, 위키백과나 뉴스 기사 자체에 오류, 부정확한 정보, 또는 가짜 뉴스가 포함될 수 있으며, AI는 이러한 내용을 완벽하게 걸러내지 못할 수 있습니다.
따라서 제공되는 정보에 일부 오류나 편향이 있을 수 있으므로, 중요한 정보는 반드시 다른 출처를 통해 교차 검증하시기 바랍니다.

문의하기 : help@durumis.com