트로바플록사신
"오늘의AI위키"의 AI를 통해 더욱 풍부하고 폭넓은 지식 경험을 누리세요.
1. 개요
트로바플록사신은 심각한 간 손상을 유발할 가능성 때문에 사용이 제한된 퀴놀론계 항생제이다. 이 약물은 급성 간부전 및 사망 사례와 연관되어 미국과 유럽 연합에서 승인되지 않았다. 트로바플록사신은 1990년대 후반에 승인되었으나, 부작용으로 인해 판매가 중단되었다. 특히 1996년 나이지리아 카노에서 발생한 수막염 유행 당시 트로바플록사신 임상 시험에서 윤리적인 문제가 발생하여 논란이 되었다. 이 사건은 화이자가 나이지리아 정부의 허가나 어린이 부모의 동의 없이 임상 시험을 진행한 것으로 알려지면서 국제적인 비난을 받았다.
더 읽어볼만한 페이지
- 플루오로퀴놀론 - 시프로플록사신
시프로플록사신은 여러 감염 질환 치료에 쓰이는 항생제로, 주요 의학 단체 치료 지침에서 중요한 역할을 하지만, 내성 발현을 줄이기 위해 심각하지 않은 감염에는 다른 약물 사용이 권장되며, 임신, 수유, 소아 사용 시 주의가 필요하고, 약물 및 음식과의 상호 작용, 건염, 건 파열과 같은 부작용에 대한 블랙 박스 경고가 있다. - 플루오로퀴놀론 - 레보플록사신
레보플록사신은 다양한 세균 감염 치료에 사용되는 플루오로퀴놀론 계열의 항생제이지만, 심각한 부작용 위험성 때문에 사용에 제한이 권고되고 QT 간격 연장, 힘줄 파열, 신경 질환 악화 등의 부작용에 대한 주의가 필요하다. - 방향족 케톤 - 아세토페논
아세토페논은 큐멘 공정의 부산물로 생성되어 수지, 향료, 의약품 등의 제조에 사용되는 유기 화합물이다. - 방향족 케톤 - 피리독살
피리독살은 비타민 B6에 속하는 복소환식 유기 화합물들의 총칭으로, 피리독신, 피리독사민 등을 포함하며 녹색 식물에 주로 존재하고 결핍 시 간질 발작을 유발할 수 있으며 수용액 상태에서 자외선이나 열에 불안정하다. - 알파-케토산 - 피루브산
피루브산은 세포 내 에너지 생성 및 대사에 핵심적인 역할을 하는 아세트산과 비슷한 냄새의 무색 액체 화합물로, 해당과정을 통해 생성되어 시트르산 회로에 들어가거나 젖산으로 환원되는 등 다양한 대사 경로에 관여하며, 체중 감량 보조제로 판매되기도 하고 의약품 개발에도 활용될 가능성이 연구된다. - 알파-케토산 - 알파-케토글루타르산
알파-케토글루타르산은 시트르산 회로의 핵심 중간생성물로서 아미노산 생성, 세포 내 탄소 및 질소 수준 조절, 암모니아 해독, 글루탐산 공급, OXGR1 수용체 결합, 콜라겐 생성, 활성 산소 제거 등 다양한 생체 기능에 관여하는 중요한 분자이다.
2. 부작용
트로바플록사신은 심각한 간 손상 등 부작용을 유발할 가능성이 있어 사용이 크게 제한된다.[2]
2. 1. 간 손상
트로바플록사신 사용은 심각하고 때로는 치명적인 간 손상을 유발할 가능성이 높아 크게 제한되고 있다.[2] 현재 이 약물은 급성 간부전 및 사망 사례와 연관되어 있어 미국이나 유럽 연합에서 사용이 승인되지 않았다.3. 합성
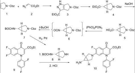
고리 형성을 위한 핵심 반응은 1,3-쌍극자 고리 부가 반응을 통해 N-Cbz-3-피롤린에 에틸 디아조아세테이트를 반응시켜 피라졸리딘 ('''3''')을 얻는 것이다. 열분해를 통해 질소를 잃고 시클로프로필피롤리딘 고리가 형성된다. 고리의 입체화학은 열역학적 특성을 반영하는데, 이는 ''시스'' 고리 융합이 훨씬 더 안정적인 배열이고, 에스터 그룹의 ''시스'' 배치가 그러하기 때문이다. 에스터는 이후 해당 카르복실산('''5''')으로 비누화된다. 이 산은 디페닐포스포릴 아자이드 (DPPA)로 처리될 때 Curtius rearrangement 반응의 변형을 겪어 일시적인 이소시아네이트 ('''6''')를 얻는다. 반응성 작용기는 반응 매질에서 t-BuOH를 첨가하여 생성물을 tert-부틸옥시카보닐 보호기 유도체 ('''7''')로 얻는다. 그 후 촉매 수소화 반응을 통해 카보벤질옥시 보호기를 제거하여 2차 아민('''8''')을 얻는다. 표준 퀴놀린 반응에서, 이 아민은 에틸 1-(2,4-디플루오로페닐)-6,7-디플루오로-4-옥소-1,4-디히드로-1,8-나프티리딘-3-카르복실레이트 ('''9''')의 7-위치에서 반응성이 더 높은 플루오린을 치환하는 데 사용된다.[3]
4. 사회와 문화
트로바플록사신(트로반)은 시장 출시 첫 해에 화이자의 총 매출 126억 달러 중 1.6억달러를 기여했다. 투자자들은 트로반이 궁극적으로 연간 10억달러의 수익을 가져다 줄 것으로 예상했다.[6]
1996년 나이지리아 카노에서 수막염 유행 당시, 화이자는 약 200명의 감염된 어린이들에게 트로바플록사신 임상 시험을 진행했다. 이 과정에서 11명의 어린이가 사망했고, 일부는 실명, 청력 손실, 뇌 손상 등 심각한 후유증을 겪었다.[10][11][12] 워싱턴 포스트는 화이자가 나이지리아 정부 허가나 부모 동의 없이 불법 임상 시험을 진행했으며, 시험 책임자인 압둘하미드 이사 두체 박사는 윤리 승인 서한을 위조하고 소급 적용했다고 보도했다.[13]
이 사건은 2000년 12월 ''워싱턴 포스트'' 보도로 알려져 큰 논란을 일으켰다. 이후 나이지리아 피해자들은 미국에서 화이자를 상대로 소송을 제기했으나 초기에는 실패했다. 그러나 2009년 미국 법원은 외국인 불법 행위 청구법에 따라 소송을 제기할 권리가 있다고 판결했고, 카노 주 정부와 화이자는 7500만달러에 합의했다.[14] 위키리크스가 폭로한 내용에 따르면, 화이자는 나이지리아 연방 검찰총장의 부패 혐의를 이용해 소송을 취하하려 했다는 의혹도 제기되었다.[15]
4. 1. 법적 지위
미국 식품의약국(FDA)은 1997년 12월 18세 이상 환자의 치료 목적으로 트로바플록사신을 승인했다.[4] 1999년 6월, FDA는 트로바플록사신과 관련된 부작용(FDA에 보고된 100건 이상의 급성 간 손상 사례) 때문에 의사들에게 처방을 제한하도록 권고했다. 2000년 5월, FDA는 트로바플록사신의 판매 허가를 철회했다.트로바플록사신은 1998년 10월 유럽 연합에서 판매 허가를 받았다.[5] 1999년 6월, 보고된 부작용을 고려하여 의약품 위원회는 1년간 판매 허가 중단을 권고했다.[6][7] 이 중단은 1999년 8월에 발효되었고 2000년 9월에 갱신되었다.[5] 2000년 10월, 화이자는 유럽 집행위원회에 판매 허가를 자발적으로 철회하겠다는 결정을 통보했으며, 이는 2001년 3월 EMA에 의해 승인되었다.[5]
4. 2. 경제
트로반은 시장 출시 첫 해에 화이자의 총 매출 126억 달러 중 1.6억달러를 기여했다. 투자자들은 트로반이 궁극적으로 연간 10억달러의 수익을 가져다 줄 것으로 예상했다.[6]4. 3. 나이지리아 임상 시험 논란
1996년 나이지리아 카노에서 수막염이 유행할 당시, 화이자(Pfizer)는 약 200명의[8][9] 감염된 어린이들에게 트로바플록사신을 투여하는 임상 시험을 진행했다. 이 과정에서 11명의 어린이가 사망했고, 일부는 실명, 청력 손실, 뇌 손상 등 심각한 후유증을 겪었다.[10][11][12] 워싱턴 포스트는 화이자가 나이지리아 정부의 허가나 부모의 동의 없이 불법 임상 시험을 진행했으며, 시험 책임자인 압둘하미드 이사 두체 박사는 윤리 승인 서한을 위조하고 소급 적용했다고 보도했다.[13]이 사건은 2000년 12월 ''워싱턴 포스트''의 보도로 세상에 알려져 큰 논란을 일으켰다. 이후 나이지리아 피해자들은 미국에서 화이자를 상대로 소송을 제기했으나 초기에는 실패했다. 그러나 2009년 미국 법원은 외국인 불법 행위 청구법에 따라 이들이 소송을 제기할 권리가 있다고 판결했고, 카노 주 정부와 화이자는 7500만달러에 합의했다.[14] 위키리크스가 폭로한 내용에 따르면, 화이자는 나이지리아 연방 검찰총장의 부패 혐의를 이용해 소송을 취하하려 했다는 의혹도 제기되었다.[15]
4. 3. 1. 윤리적 문제
1996년, 나이지리아 카노에서 수막염이 유행했을 때, 화이자(Pfizer)는 감염된 어린이 약 200명에게 트로바플록사신을 투여했다.[8][9] 이 임상 시험에서 어린이 11명이 사망했는데, 5명은 트로반을 복용했고, 6명은 비교를 위해 사용된 다른 항생제를 복용한 후였다. 다른 아이들은 실명, 청력 손실, 뇌 손상과 같은 후유증을 겪었는데, 이는 수막염의 일반적인 결과였다.[10][11][12]워싱턴 포스트는 화이자(Pfizer)가 나이지리아 정부의 허가나 어린이 부모의 동의 없이 불법 임상 시험을 진행했다고 보도했다.[13] 특히, 임상 시험 책임자인 압둘하미드 이사 두체 박사는 윤리 승인 서한을 위조하고 소급 적용한 사실이 드러났다.
시험 결과, 경구용 트로바플록사신으로 치료받은 어린이의 사망률은 5%(100명 중 5명)였고, 근육 주사 세프트리악손의 사망률은 6%(100명 중 6명)였다.
2002년부터 2005년까지 나이지리아 피해자들은 미국에서 소송을 제기했지만 실패했다. 그러나 2009년, 미국 법원은 외국인 불법 행위 청구법에 따라 나이지리아 피해자들이 미국에서 화이자(Pfizer)를 상대로 소송을 제기할 수 있다고 판결했다. 2009년 7월, 카노 주와 화이자는 7500만달러에 합의했다.[14]
위키리크스가 공개한 미국 대사관 전문에 따르면, 화이자는 나이지리아 연방 검찰총장의 부패 혐의를 폭로하여 소송을 취하하도록 압력을 가하기 위해 조사관을 고용했다고 한다.[15]
4. 3. 2. 법적 분쟁
나이지리아 트로반 시험 피해자들은 2002년부터 2005년까지 미국에서 화이자를 상대로 여러 건의 소송을 제기했지만, 초기에는 실패했다. 그러나 2009년 1월, 미국 제2 순회 항소 법원은 판결을 통해 나이지리아 피해자와 그 가족들이 외국인 불법 행위 청구법에 따라 미국에서 화이자를 상대로 소송을 제기할 권리가 있다고 판결했다. 2009년 7월 30일, 카노 주 정부와 화이자는 7500만달러에 합의했다.[14]위키리크스가 폭로한 미국 대사관 전문에 따르면, 화이자의 국가 매니저는 "화이자가 연방 검찰총장인 마이클 아온도아카(Michael Aondoakaa)의 부패 혐의를 밝혀 그를 폭로하고 연방 사건을 취하하도록 압력을 가하기 위해 조사관을 고용했다"고 인정했다.[15] 한편, 미국 뉴욕에는 두 건의 소송이 계류 중이었다.[14]
참조
[1]
논문
Activity of the new fluoroquinolone trovafloxacin (CP-99,219) against DNA gyrase and topoisomerase IV mutants of Streptococcus pneumoniae selected in vitro
1996-12
[2]
논문
Acute liver failure due to trovafloxacin: CT findings
[3]
서적
The organic chemistry of Drug Synthesis
1995
[4]
웹사이트
Trovafloxacin – Approval Letter & Printed Labelling
https://www.accessda[...]
[5]
웹사이트
Public statement on Trovan / Trovan IV / Turvel / Turvel IV: Withdrawal of the marketing authorisations
https://www.ema.euro[...]
[6]
뉴스
Unforeseen Side Effects Ruined One Blockbuster
https://www.nytimes.[...]
2000-08-27
[7]
뉴스
Suspension of Trovan Drug in Europe Is Urged
https://www.nytimes.[...]
1999-06-12
[8]
서적
The SAGE Encyclopedia of Pharmacology and Society
SAGE Publications, Inc.
2019-01-21
[9]
간행물
Report of the Investigation Committee on the Clinical Trial of Trovafloxacin (Trovan) by Pfizer, Kano, 1996.
https://www.washingt[...]
Federal Ministry of Health, Nigeria
[10]
논문
Safety of trovafloxacin in treatment of lower respiratory tract infections
1998-06
[11]
논문
Fluoroquinolone toxicity profiles: a review focusing on newer agents
1999-02
[12]
논문
Clinical presentation of meningococcal disease in childhood
2012-06
[13]
뉴스
Panel Faults Pfizer in '96 Clinical Trial In Nigeria
https://www.washingt[...]
2006-08-28
[14]
뉴스
Pfizer to Pay $75 Million to Settle Nigerian Trovan Drug-Testing Suit
https://www.washingt[...]
2010-05-26
[15]
뉴스
WikiLeaks cables: Pfizer 'used dirty tricks to avoid clinical trial payout'
https://www.theguard[...]
2010-12-09
본 사이트는 AI가 위키백과와 뉴스 기사,정부 간행물,학술 논문등을 바탕으로 정보를 가공하여 제공하는 백과사전형 서비스입니다.
모든 문서는 AI에 의해 자동 생성되며, CC BY-SA 4.0 라이선스에 따라 이용할 수 있습니다.
하지만, 위키백과나 뉴스 기사 자체에 오류, 부정확한 정보, 또는 가짜 뉴스가 포함될 수 있으며, AI는 이러한 내용을 완벽하게 걸러내지 못할 수 있습니다.
따라서 제공되는 정보에 일부 오류나 편향이 있을 수 있으므로, 중요한 정보는 반드시 다른 출처를 통해 교차 검증하시기 바랍니다.
문의하기 : help@durumis.com
