파라벤
"오늘의AI위키"의 AI를 통해 더욱 풍부하고 폭넓은 지식 경험을 누리세요.
1. 개요
파라벤은 4-하이드록시벤조산의 에스터로, 메틸파라벤, 에틸파라벤, 프로필파라벤 등이 있으며, 샴푸, 보습제, 화장품 등 다양한 제품의 방부제로 사용된다. 파라벤은 항균 작용을 통해 제품의 변질을 막는 역할을 하지만, 알레르기 반응을 일으킬 수 있으며, 에스트로겐과 유사한 작용을 할 수 있다는 우려도 있다. 파라벤은 피부를 통해 흡수되거나 경구/직장으로 섭취될 수 있으며, 체내에서 빠르게 대사되어 배출된다. 파라벤은 하수 처리 시설을 거쳐 환경으로 배출되며, 염소화 파라벤 및 4-하이드록시벤조산(PHBA)과 같은 분해 생성물을 형성하여 환경 문제를 야기할 수 있다.
더 읽어볼만한 페이지
- 카복실산 에스터 - 암로디핀
암로디핀은 디히드로피리딘계 칼슘 채널 차단제로, 고혈압과 협심증 치료에 사용되며 혈관을 이완시켜 혈압을 낮추고 심근으로의 산소 공급을 증가시키지만, 말초 부종이나 현기증 등의 부작용이 있을 수 있고 특정 질환에서는 사용이 금지된다. - 카복실산 에스터 - 로바스타틴
로바스타틴은 이상지질혈증 및 심혈관 질환 치료에 사용되는 HMG-CoA 환원효소 억제제이며, 콜레스테롤 생합성을 방해하고 근육통, 소화불량 등의 부작용과 근병증, 간 손상과 같은 심각한 부작용이 나타날 수 있어 주의가 필요하다. - 보존제 - 소금
소금은 염화나트륨을 주성분으로 하며, 조미료, 식품 보존, 산업, 종교 의식 등 다양한 분야에서 활용되고, 인체에 필수적인 영양소를 제공하지만 과다 섭취 시 건강 문제를 일으킬 수 있으며, 암염 채굴, 천일염 생산, 해수 증발 등의 방법으로 제조된다. - 보존제 - 헥사메틸렌테트라민
헥사메틸렌테트라민은 포름알데히드와 암모니아 반응으로 생성되는 유기 화합물로, 페놀 수지 경화제, 요로 방부제, 폭약 제조 원료, 고체 연료, 유기 합성 시약 등 다양한 용도로 사용되지만, 식품 첨가물 사용은 국가별로 다르며 환경 및 건강에 대한 우려도 있다.
| 파라벤 | |
|---|---|
| 기본 정보 | |
![]() | |
| 화학식 | C8H8O3 |
| 분자량 | 152.147 g/mol |
| CAS 등록 번호 | 99-76-3 |
| PubChem CID | 7456 |
| 화학적 성질 | |
| 녹는점 | 125 ~ 128 °C |
| 끓는점 | 270 °C |
| 용해도 (물) | 2.5 g/L (20 °C) |
| 관련 화합물 | |
| 관련 화합물 | 파라-하이드록시벤조산 벤조산 살리실산 |
| 기타 정보 | |
| 법적 규제 (대한민국) | 화장품에 사용 금지 |
2. 화학적 특성
파라벤은 ''파라''-하이드록시''벤''조산의 에스터 화합물이다. 메틸파라벤(E 번호 E218), 에틸파라벤(E214), 프로필파라벤(E216), 부틸파라벤, 헵틸파라벤(E209) 등이 일반적인 파라벤에 속한다.[1]
''파라''-하이드록시벤조산과 알코올(메탄올, 에탄올, n-프로판올 등)의 에스테르화 반응을 통해 파라벤을 합성한다.[1] 콜베-슈미트 반응을 변형하여 페놀의 칼륨 페녹사이드와 이산화 탄소를 반응시켜 산업적으로 ''파라''-하이드록시벤조산을 생산한다.[1]
파라벤은 다양한 미생물에 대한 항균 활성을 가지지만, 그 작용 기전은 명확하게 밝혀지지 않았다. 파라벤은 세균의 막 수송 과정을 방해하거나,[2] DNA, RNA, 특정 효소(ATPases, 인산전달효소 등)의 합성을 억제하는 것으로 추정된다.[3][4] 프로필파라벤은 메틸파라벤보다 더 강한 항균 작용을 보이는데, 이는 세균 막에 대한 용해도가 높아 세포질 내에 더 높은 농도로 축적될 수 있기 때문으로 보인다. 파라벤의 항균 작용은 주로 세균 막과 관련이 있는 것으로 알려져 있다. 지질 용해도가 높은 파라벤은 지질 이중층을 파괴하여 막 수송을 방해하고 세포 내 물질 유출을 유발할 수 있다.[5]
2. 1. 구조
파라벤은 ''파라''-하이드록시''벤''조산의 에스터이다. 일반적인 파라벤에는 메틸파라벤(E 번호 E218), 에틸파라벤(E214), 프로필파라벤(E216), 부틸파라벤, 헵틸파라벤(E209) 등이 있다.[1] 덜 일반적인 파라벤에는 아이소부틸파라벤, 아이소프로필파라벤, 벤질파라벤 및 이들의 나트륨 염이 있다.[1] 파라벤의 일반적인 화학 구조에서 R은 메틸, 에틸, 프로필, 부틸과 같은 알킬 그룹을 나타낸다.[1]2. 2. 합성
파라벤은 ''파라''-하이드록시벤조산과 알코올(메탄올, 에탄올, n-프로판올 등)의 에스테르화 반응을 통해 생산된다.[1] ''파라''-하이드록시벤조산은 콜베-슈미트 반응의 변형을 통해 산업적으로 생산되며, 이때 페놀의 칼륨 페녹사이드와 이산화 탄소를 사용한다.[1]2. 3. 작용 기전
파라벤은 광범위한 미생물에 대해 활성을 나타낸다. 그러나, 이들의 항균 작용 기전은 잘 알려져 있지 않다. 파라벤은 막 수송 과정을 방해하거나[2], 일부 세균 종에서 DNA와 RNA 또는 ATPases 및 인산전달효소와 같은 일부 주요 효소의 합성을 억제하는 것으로 여겨진다.[3][4] 프로필파라벤은 메틸파라벤보다 더 많은 세균에 대해 활성을 나타내는 것으로 간주된다. 프로필파라벤의 더 강력한 항균 작용은 세균 막에서의 더 큰 용해도 때문일 수 있으며, 이는 세포질 표적에 더 높은 농도로 도달하게 할 수 있다. 그러나 파라벤의 작용 기전에 대한 대부분의 연구에서 이들의 항균 작용이 막과 관련이 있다고 제안하므로, 더 큰 지질 용해도가 지질 이중층을 파괴하여 세균 막 수송 과정을 방해하고 아마도 세포 내 구성 물질의 누출을 유발할 가능성이 있다.[5]3. 용도
파라벤은 여러 종류의 제형에서 효과적인 방부제이다. 파라벤과 그 염은 주로 살균제 및 살진균제 특성을 가진다.
3. 1. 일반적인 용도
파라벤은 여러 종류의 제형에서 효과적인 방부제이다. 이러한 화합물과 그 염은 주로 살균제 및 살진균제 특성 때문에 사용된다. 파라벤은 샴푸, 상업용 보습제, 쉐이빙 젤, 개인 윤활제, 국소/비경구 의약품, 선탠 제품, 화장품,[6] 및 치약에서 발견된다. 또한 식품 방부제로도 사용되며, 상처 치료와 같은 의약품에도 사용된다.[7] 이러한 치료법은 피부를 촉촉하게 유지하고 감염을 예방하여 상처를 치유하는 데 도움이 된다. 파라벤의 항균 특성은 치료 효과에 중요한 역할을 한다. 이러한 적용은 만성 상처가 있고 감염을 최대한 예방해야 하는 사람들에게 유용하다.4. 건강 문제
파라벤의 독성 데이터는 대부분 단일 노출, 즉 하나의 제품에 한 가지 유형의 파라벤이 사용된 경우를 연구한 결과이다. 이러한 연구에 따르면 파라벤은 비교적 안전하며, 내분비계에 미미한 위험만 초래한다.[8] 그러나 여러 종류의 제품에 다양한 유형의 파라벤이 흔히 사용되기 때문에, 매일 여러 화장품 및 개인 위생용품을 사용함으로써 발생하는 다중 파라벤 노출에 대한 추가적인 평가가 필요하다.[8]
미국 식품의약국(FDA)은 화장품에 파라벤을 사용하는 것이 건강에 영향을 미친다는 정보는 없다고 밝히고 있다. FDA는 파라벤의 잠재적 건강 영향에 대한 질문을 계속 검토하고 관련 데이터를 평가하고 있다.[9]
4. 1. 알레르기 반응
파라벤은 대부분 자극적이지 않고 민감성을 유발하지 않는다. 접촉성 피부염 또는 습진 환자 중 3% 미만이 파라벤에 대한 민감성을 보이는 것으로 나타났다.[10]4. 2. 암 유발 가능성
파라벤은 암을 유발하지 않는 것으로 알려져 있다.[11]4. 3. 에스트로겐 활성
파라벤의 에스트로겐 활성은 알킬기의 길이에 따라 증가한다. 프로필파라벤도 어느 정도 에스트로겐 활성을 나타내는 것으로 알려져 있으며,[12] 이는 친유성이 덜하기 때문에 부틸파라벤보다 적을 것으로 예상된다. 정상적인 사용 환경에서 부틸파라벤의 에스트로겐 활성이 미미하다고 결론 내릴 수 있으므로, 파라벤의 에스트로겐 활성은 알킬기의 길이에 따라 증가한다는 점을 고려할 때, 더 짧은 유사체에 대해서도 동일한 결론을 내릴 수 있다.5. 체내 흡수 및 대사
파라벤은 피부, 경구, 직장 등 다양한 경로를 통해 체내로 흡수될 수 있으며, 흡수된 후에는 빠르게 대사되어 주로 소변을 통해 배출된다.
5. 1. 경피 흡수
파라벤은 각질의 방어 기능에 큰 영향을 받으며, 건강한 피부에서는 최소량만이 체내로 침투한다. 하지만, 표피에 존재하는 효소인 카르복실에스테라아제에 의해 파라히드록시벤조산으로 가수 분해되어 소변으로 빠르게 배설되는 것이 밝혀졌다. 1984년-2008년의 시험 데이터에 따르면 파라벤은 인체 조직에 유의미한 수준까지 축적되지 않는다고 결론지을 수 있다.[36]5. 2. 경구/직장 흡수
파라벤은 경구 또는 직장으로 섭취될 경우 빠르게 흡수, 대사되어 소변으로 배출된다.[37] 섭취 후 30분에서 1시간 안에 최고 농도에 도달하며, 이후 대사산물(파라히드록시벤조산)로 분해되는 외에 유리체 및 글루쿠론산 포합체 형태로 소변으로 배설된다. 4시간 후에는 검출 한계까지 감소한다.[37]6. 부작용
피부를 통해 흡수된 파라벤은 TRPA1 수용체를 활성화시켜 통증을 유발할 수 있다는 연구 결과가 있다.[38] 접촉성 피부염이나 습진 환자 중 일부는 파라벤에 민감하게 반응하며,[10] 알레르기 유사 증상이 나타나는 경우도 보고되었다.[39] 피부염 병력이 있는 사람에게서 메틸파라벤 단독 접촉에 의한 피부 감작 사례도 있다.[36]
각질의 방어 기능에 따라 파라벤의 체내 침투량이 달라지는데, 건강한 피부에서는 소량만 침투하며, 카르복실에스테라아제 효소에 의해 파라히드록시벤조산으로 분해되어 소변으로 배설된다. 파라벤이 인체 조직에 유의미하게 축적되지 않는다는 연구 결과도 있다.[36]
파라벤 프리는 방부제 프리를 의미하지 않으며, 방부제 외 에탄올 등도 피부 자극을 유발할 수 있다.[1]
6. 1. 경피 흡수
피부를 통해 흡수된 파라벤은 TRPA1 수용체를 활성화시켜 통증을 유발할 수 있다는 사실이 자연과학연구기구 생리학연구소 연구팀에 의해 밝혀졌으며, 생쥐를 대상으로 한 실험에서도 확인되었다.[38] 접촉성 피부염이나 습진 환자 중 3% 미만이 파라벤에 대한 민감성을 보이며,[10] 1000명 중 3명의 확률로 알레르기 유사 증상이 나타나는 것으로 알려져 있다.[39] 이전에 피부염 병력이 있는 사람에게 메틸파라벤 단독 접촉에 의한 피부 감작이 확인된 개별 사례가 있다.[36]각질의 방어 기능에 큰 영향을 받으며, 건강한 피부에서는 최소량만이 체내로 침투하지만, 표피에 존재하는 효소인 카르복실에스테라아제에 의해 파라히드록시벤조산으로 가수 분해되어 소변으로 빠르게 배설된다. 1984년-2008년의 시험 데이터에 따르면 파라벤은 인체 조직에 유의미한 수준까지 축적되지 않는다고 결론지을 수 있다.[36]
6. 1. 1. 파라벤 프리
파라벤 프리는 방부제 프리를 의미하지 않는다. 방부제 외에도 에탄올 등이 피부에 자극을 줄 수 있다.[1]7. 논란
파라벤은 내분비계 교란 물질로 작용할 수 있다는 우려로 인해 안전성 논란이 지속적으로 제기되고 있다.
7. 1. 내분비계 교란 물질
내분비 교란 물질에 대한 우려로 인해 소비자와 기업들은 파라벤 무첨가 대안을 찾게 되었다.[13] 흔한 대체 물질은 페녹시에탄올이었지만, 이 또한 자체적인 위험이 있으며, 미국 식품의약국(FDA)은 젖꼭지 크림에 이 성분을 포함하는 것에 대한 경고를 발표했다.[14]7. 2. 규제
유럽 소비자 안전 과학 위원회(SCCS)는 2013년에 메틸파라벤과 에틸파라벤이 하나의 에스테르 형태일 경우 최대 0.4%, 혼합하여 사용할 경우 최대 0.8% 농도에서 안전하다고 재확인했다. SCCS는 부틸파라벤과 프로필파라벤을 완제품 화장품의 보존제로 사용하는 것은 개별 농도의 합이 0.19%를 넘지 않으면 소비자에게 안전하다고 결론지었다.[15] 유럽 연합 위원회 규정 (EU) No 358/2014에 따라 이소프로필파라벤, 이소부틸파라벤, 페닐파라벤, 벤질파라벤, 펜틸파라벤은 사용이 금지되었다.[16]8. 환경 문제
파라벤은 화장품 등 다양한 제품에 널리 사용되어 환경으로 배출된다. 2010년 연구에 따르면, 개인 위생 용품의 44%가 파라벤을 함유하고 있었다.[17] 이러한 제품을 사용 후 씻어내면 파라벤은 하수구를 통해 하수 처리 시설로 흘러 들어가 수계 및 고체 매질에 축적될 수 있다. 환경에서 흔히 발견되는 파라벤 유도체는 메틸파라벤, 에틸파라벤, 프로필파라벤, 부틸파라벤 등이다.[18]
뉴욕의 한 폐수 처리장(WWTP)에서 유입 폐수 내 모든 모 파라벤 유도체의 질량 부하는 176mg/일/1000명으로 나타났다.[19] 현재 뉴욕시 인구 850만 명을 기준으로 1년 동안 WWTP로 유입되는 파라벤의 양을 추정하면 약 546kg이다.
가스 크로마토그래피 및 고성능 액체 크로마토그래피와 같은 분석 기술을 통해 환경 내 파라벤 유도체 및 분해 산물의 축적 수준이 정량화되었다.[18][22] 이들은 3차 처리수와 하수 슬러지에서 측정되었는데, 이는 파라벤과 그 분해 산물이 하수 처리 시설(WWTP)에서 배출된 후 환경에 도달하는 주요 경로이기 때문이다.[18]
일반적으로 파라벤의 분해 생성물은 원래 파라벤 보다 더 독성이 강한 것으로 알려져 있다. 대표적인 파라벤 분해 생성물에는 염소화 파라벤과 4-하이드록시벤조산(PHBA)이 있다.
오존 처리는 환경에 축적되는 파라벤, 염소화 파라벤 및 PHBA의 양을 제한하기 위한 고급 처리 기술이다.[18] 오존은 파라벤을 산화시키고, 이후 필터를 통과하면 제거하기 쉽게 만드는 매우 강력한 산화제이다.[35] 오존 처리는 파라벤 제거에 매우 효과적(98.8–100%)이며, PHBA에 대해서는 92.4%로 약간 낮은 효과를 보였다.[18] 그러나 염소화 파라벤의 경우 제거율이 다소 낮게(59.2–82.8%) 관찰된다.[18]
8. 1. 환경 배출
파라벤은 화장품 등 다양한 제품에 널리 사용되어 환경으로 흔하게 배출된다. 2010년 연구에 따르면, 테스트한 개인 위생 용품의 44%가 파라벤을 함유하고 있었다.[17] 이러한 제품을 사용 후 씻어내면 파라벤은 하수구를 통해 지역 하수 처리 시설로 흘러 들어가 수계 및 고체 매질에 축적될 수 있다. 환경에서 흔히 발견되는 파라벤 유도체는 메틸파라벤, 에틸파라벤, 프로필파라벤, 부틸파라벤 등이다.[18] 파라벤은 폐수와 함께 하수 처리장(WWTP)으로 유입되어 제거, 화학적 변형, 또는 슬러지나 3차 처리수를 통해 환경으로 배출된다.[18]뉴욕의 한 폐수 처리장(WWTP)에서 유입 폐수 내 모든 모 파라벤 유도체(메틸파라벤, 에틸파라벤, 프로필파라벤, 부틸파라벤 등)의 질량 부하는 176 mg/일/1000명으로 나타났다.[19] 이 값을 바탕으로 현재 뉴욕시 인구 850만 명이 1년 동안 WWTP로 유입하는 파라벤의 양을 추정하면 약 546 kg이다. 따라서 장기간 관찰 시 파라벤 축적 수준은 상당하다. WWTP는 파라벤 유도체의 92~98%를 제거하지만, 대부분 분해 생성물 형성으로 인한 것이다.[19] 높은 제거율에도 불구하고, 여러 연구에서 환경에 지속적으로 존재하는 높은 수준의 파라벤 유도체와 분해 생성물이 측정되었다.[20]
가스 크로마토그래피 및 고성능 액체 크로마토그래피와 같은 분석 기술을 통해 환경 내 파라벤 유도체 및 분해 산물의 정확한 축적 수준이 정량화되었다.[18][22] 이러한 수준은 3차 처리수와 하수 슬러지에서 정확하게 측정되었는데, 이는 파라벤과 그 분해 산물이 하수 처리 시설(WWTP)에서 배출된 후 환경에 도달하는 주요 경로이기 때문이다.[18]

파라벤은 유기물과 결합하는 능력 때문에 하수 슬러지에서 비교적 안정성이 높다. 미국 환경 보호청은 토양 흡착 계수 값을 메틸파라벤 1.94, 에틸파라벤 2.20, 프로필파라벤 2.46, 부틸파라벤 2.72로 계산했다.[27] 이 값들은 파라벤이 퇴적물과 슬러지의 유기 부분에 부착되어 환경에 지속될 수 있음을 의미한다.[28]
염소화 파라벤은 하수 처리 시설에서 모 파라벤(92~98% 효율)보다 낮은 40% 효율로 제거된다.[18] 이는 염소화 파라벤의 감소된 생분해성, 하수 처리 시설 전체에서의 증가된 안정성, 그리고 낮은 log Kow 값으로 인한 슬러지 상으로의 상대적으로 낮은 흡착 때문이다.[18]
3차 처리수에서는 파라벤 유도체보다 PHBA의 농도가 더 높게 나타나며, PHBA는 하수 슬러지에서 가장 높은 농도로 존재한다. 이러한 축적에는 두 가지 이유가 있다. 첫째, PHBA는 고체 입자에 흡착되는 경향이 있는데, 이는 안식향산의 높은 Kd 값(약 19)으로 추정할 수 있다. PHBA의 pKa는 2.7이지만, 환경 pH는 6~9 사이이다.[29][30] pKa가 pH보다 작으므로 카르복실산은 탈양성자화된다. 카르복실산염은 고체 환경 매트릭스에 흡착제 역할을 하여 3차 처리수, 특히 고체 매트릭스 자체 역할을 하는 하수 슬러지에서의 응집을 촉진한다. 둘째, 하수 처리 시설의 2차 침전조 단계에서 생물학적 과정을 통해 PHBA의 수준이 중간 정도로 증가한다.
8. 2. 분해 생성물
파라벤은 염소화 반응, 가수분해 등을 통해 다양한 분해 생성물을 형성한다.파라벤은 유기물과 결합하는 능력 때문에 하수 슬러지에서 비교적 안정적이다. 미국 환경 보호청은 토양 흡착 계수 값을 메틸파라벤 1.94, 에틸파라벤 2.20, 프로필파라벤 2.46, 부틸파라벤 2.72로 계산했다.[27] 이 값들은 파라벤이 퇴적물과 슬러지의 유기 부분에 부착되어 환경에 지속될 수 있음을 의미한다.[28]
일반적으로 파라벤의 분해 생성물은 원래 파라벤 보다 더 독성이 강한 것으로 알려져 있다. 대표적인 파라벤 분해 생성물에는 염소화 파라벤과 4-하이드록시벤조산(PHBA)이 있다.
이러한 분해 생성물들은, 하수 처리 시설에서 완벽하게 제거되지 않고, 3차 처리수나 하수 슬러지에서 발견된다.
8. 2. 1. 염소화 파라벤



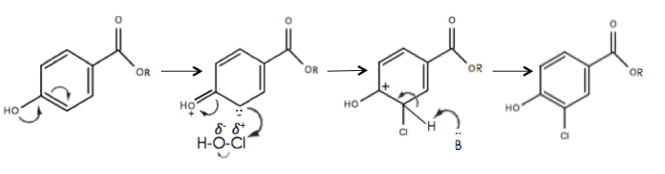
모체 파라벤 외에도, 하수 처리장(WWTP) 단계에서 형성되는 파라벤 분해 생성물은 단일 및 이염소화 파라벤을 포함하여 환경에 우려를 제기한다. 파라벤 함유 제품이 배수구로 흘러 들어가면 파라벤은 염소화 반응을 겪을 수 있다.[21] 이 반응은 수돗물에 존재하는 유리 염소 또는 하수 처리장에서 최종 소독 단계로 자주 사용되는 차아염소산 나트륨과 함께 발생할 수 있다.[22] 중성수에서 라만 분광법은 염소가 주로 차아염소산(HClO)으로 존재함을 확인했다.[23] 파라벤은 HClO와 반응하여 친전자성 방향족 치환을 통해 단일 및 이염소화 생성물을 형성할 수 있다.[21] 염소의 친전자성 공격은 파라벤의 수산기에서 기증된 전자 밀도에 의해 안정화되는 카보 양이온을 형성한다.[24] 이 단계는 방향족성의 손실로 인해 흡열 반응이지만, 수산기는 속도를 증가시키는 활성 그룹 역할을 한다.[21] 염소를 함유하는 탄소에서 염기는 프로톤을 친핵성 추상할 수 있으며, 그 다음에는 관여된 파이 전자에 의해 방향족성이 복원된다. 수산기는 파라벤의 에스터 그룹보다 더 활성화되므로, 반응은 이미 파라 위치가 차단되어 있으므로 두 개의 오르토 위치로 향한다.[24]
아레니우스 방정식은 네 가지 모체 파라벤(메틸-, 에틸-, 프로필-, 부틸파라벤)의 염소화에 대한 활성화 에너지를 계산하는 데 사용되었으며, 36–47kJ/mol 범위인 것으로 밝혀졌다.[21] 다른 연구에서는 20°C의 수돗물에 50–200μM 유리 염소를 첨가하고, 0.5μM 프로필파라벤을 첨가하여 수혼합물의 조성을 40분 동안 모니터링하여 수돗물에서 발견되는 조건에서 염소화가 발생하는지 확인했다.[22] 연구 결과 5분 후에 프로필파라벤이 사라지고, 5분 이내에 3-클로로-프로필파라벤과 3,5-디클로로-프로필파라벤 파라벤이 모두 나타나며, 3,5-디클로로-프로필파라벤이 반응에 남아있는 주요 종으로 지속됨을 확인했다.[22] 유사하지만 더 빠른 추세가 반응 온도가 35°C로 증가한 연구에서 발견되었다.[21]
8. 2. 2. 4-하이드록시벤조산 (PHBA)


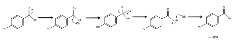
파라벤 분해 생성물 중 하나는 4-하이드록시벤조산(PHBA)이다. 파라벤은 두 가지 메커니즘을 통해 PHBA로 분해될 수 있다. 첫 번째는 화학적 분해 경로이다. 모체 파라벤은 에스터 결합의 염기 촉매 가수 분해를 거쳐 PHBA를 형성한다. 이 반응은 pH 8 이상의 알칼리성 조건에서 일어난다.[21] 가정 하수 처리수의 pH 범위가 6–9이고,[29] 화장품에 파라벤이 널리 쓰이기 때문에 가정 환경에서 흔히 발생한다. 파라벤 함유 화장품이 하수 유입수에 배출되면 pH가 8 이상인 환경에 노출되어 파라벤의 염기 촉매 가수 분해가 일어나 PHBA가 형성된다.
전자 전달 메커니즘에서 산소와 카보닐 탄소 사이 이중 결합의 파이 전자는 산소로 공명하여 산소에 음전하를 띠게 하고 카보닐 탄소에 양전하를 띄게 한다. 친핵체인 수산화 이온이 친전자성 카보닐 탄소를 공격하여 카보닐 탄소에서 sp3 혼성화를 만든다. 전자는 다시 공명하여 산소와 카보닐 탄소 사이에 이중 결합을 형성한다. 원래의 sp2 혼성화를 유지하기 위해 –OR 그룹이 떨어져 나간다. –OR 그룹은 더 큰 안정성으로 음전하를 유지할 수 있기 때문에 –OH 그룹보다 더 나은 이탈기 역할을 한다. 마지막으로, 염기로 작용하는 –OR-는 카르복실산을 탈양성자화하여 카르복실레이트 음이온을 형성한다.
파라벤이 PHBA로 분해되는 두 번째 방법은 폐수 처리(WWTP) 과정에서 생물학적으로 발생하는 것이다. 폐수 처리의 2차 침전조 단계에서 슬러지가 바닥에 축적된다. 유입수의 액체와 고체 상이 분리되면 파라벤은 슬러지에 축적되는 경향이 더 크다. 이는 약 1.58의 log Kow 값으로 정량화된 적당한 소수성 때문이다.[25] 이 슬러지는 유기 영양소가 풍부하여 미생물이 증식하기 쉽다. ''클로아케균(Enterobacter cloacae)''은 슬러지 파라벤을 생물학적으로 대사하여 PHBA를 생성한다.[26]
8. 3. 오존 처리

오존 처리는 환경에 축적되는 파라벤, 염소화 파라벤 및 PHBA의 양을 제한하기 위한 가능한 방법으로 고려되어 온 고급 처리 기술이다.[18] 오존은 파라벤을 산화시키고, 이후 필터를 통과하면 제거하기 쉽게 만드는 매우 강력한 산화제이다.[35] 오존의 친전자성 특성으로 인해, 오존은 방향족 파라벤 고리와 쉽게 반응하여 수산화된 생성물을 형성할 수 있다.[35] 오존 처리는 일반적으로 염소화보다 덜 위험한 소독 방법으로 간주되지만, 오존 처리는 더 많은 비용 고려 사항이 필요하다.[35] 오존 처리는 파라벤 제거에 매우 효과적(98.8–100%)이며, PHBA에 대해서는 92.4%로 약간 낮은 효과를 보였다.[18] 그러나 염소화 파라벤의 경우 제거율이 다소 낮게(59.2–82.8%) 관찰된다.[18] 오존 처리로 파라벤을 제거하기 위한 제안된 반응 메커니즘은 기계론적으로 상세히 설명되어 있다.[35]
참조
[1]
웹사이트
Parabens: A Review of Epidemiology, Structure, Allergenicity, and Hormonal Properties
http://www.medscape.[...]
Medscape
2016-02-29
[2]
논문
Function of lipophilic acids as antimicrobial food additives.
1973-02-02
[3]
논문
The effect of parabens on DNA, RNA and protein synthesis in Escherichia coli and Bacillus subtilis.
1983-04
[4]
논문
Irreversible paraben inhibition of glycolysis by Streptococcus mutans GS-5.
1996-11
[5]
논문
Hydrolysis of 4-Hydroxybenzoic Acid Esters (Parabens) and Their Aerobic Transformation into Phenol by the Resistant Enterobacter cloacae Strain EM
[6]
웹사이트
Ingredients - Parabens in Cosmetics
https://www.fda.gov/[...]
2016-11-01
[7]
논문
A perspective on the safety of parabens as preservatives in wound care products
2021-04
[8]
논문
Parabens: potential impact of low-affinity estrogen receptor binding chemicals on human health
[9]
웹사이트
Parabens
https://www.fda.gov/[...]
2018-12-21
[10]
논문
An overview of parabens and allergic contact dermatitis.
2013
[11]
웹사이트
Can cosmetics cause cancer?
https://www.cancerre[...]
2022-11-01
[12]
논문
Parabens: a review of epidemiology, structure, allergenicity, and hormonal properties
[13]
뉴스
Cosmetics firms heed calls for organics
http://www.boston.co[...]
The Boston Globe
2008-05-26
[14]
웹사이트
2008 - FDA Warns Consumers Against Using Mommy's Bliss Nipple Cream
https://www.fda.gov/[...]
United States Food and Drug Administration
2015-10-31
[15]
웹사이트
SCCS: Opinion on Parabens
http://ec.europa.eu/[...]
European Commission
2013-05-03
[16]
문서
Commission Regulation (EU) No 358/2014 of 9 April 2014
http://eur-lex.europ[...]
[17]
문서
Preservatives and fragrances in selected consumer-available cosmetics and detergents
2011
[18]
문서
Occurrence, fate and risk assessment of parabens and their chlorinated derivatives in an advanced wastewater treatment plant
2015
[19]
문서
Fate of Parabens and their Metabolites in two wastewater treatment plants in New York, United States
2016
[20]
문서
Occurrence, fate, and behavior of parabens in aquatic environments: A review
2015
[21]
문서
Chlorination of parabens: reaction kinetics and transformation product identification
2016
[22]
문서
Paraben-chlorinated derivatives are found in river water
2012
[23]
문서
Monitoring the speciation of aqueous free chlorine from pH 1 to 12 with Raman spectroscopy to determine the identity of the potent low-pH oxidant
2006
[24]
문서
Kinetics and mechanism of chlorination of phenol and substituted phenols by sodium hypochlorite in aqueous alkaline medium
2001
[25]
웹사이트
4-Hydroxybenzoic acid
https://pubchem.ncbi[...]
National Library of Medicine
2023-04-13
[26]
논문
Hydrolysis of 4-Hydrobenzoic Acid Esters (Parabens) and Their Aerobic Transformation into Phenol by the Resistant Enterobacter cloacae Strain EM
2001
[27]
문서
Stir bar sorptive extraction of parabens, triclosan and methyl triclosan from soil, sediment and sludge with in situ derivatization and determination by gas chromatography-mass spectrometry
2011
[28]
문서
Parabens in Sediment and Sewage Sludge from the United States, Japan, and Korea: Spatial Distribution and Temporal Trends
2013
[29]
문서
Influence of Wastewater PH on Turbidity
2014
[30]
문서
Water quality assessment of wastewater treatment plant in a Ghanaian Beverage Industry
2013
[31]
문서
An Evaluation of Estrogenic Activity of Parabens Using Uterine Calbindin-D9k Gene in an Immature Rat Model
2009
[32]
문서
Acute toxicity of parabens and their chlorinated by-products with Daphnia magna and Vibrio fischeri bioassays
2009
[33]
문서
Safety assessment of esters of p-hydroxybenzoic acid (parabens)
2005
[34]
문서
4-Hydroxybenzoic Acid
[35]
문서
Ozonation of parabens in aqueous solutions: kinetics and mechanism of degradation
2010
[36]
웹사이트
メチルパラベンの基本情報・配合目的・安全性 {{!}} 化粧品成分オンライン
https://cosmetic-ing[...]
2022-03-05
[37]
웹사이트
ヒト血清、及び尿中のパラベン類の挙動
https://www.env.go.j[...]
環境省
2022-03-05
[38]
웹사이트
化粧品の防腐剤が皮膚の痛みの原因に
https://scienceporta[...]
2022-03-05
[39]
웹사이트
パラベンとは -パラベンフリーって本当に良いの?- | かけこみコスメ寺
https://www.michilun[...]
2022-03-05
[40]
웹사이트
パラベンとは -パラベンフリーって本当に良いの?- | かけこみコスメ寺
https://www.michilun[...]
2022-03-05
본 사이트는 AI가 위키백과와 뉴스 기사,정부 간행물,학술 논문등을 바탕으로 정보를 가공하여 제공하는 백과사전형 서비스입니다.
모든 문서는 AI에 의해 자동 생성되며, CC BY-SA 4.0 라이선스에 따라 이용할 수 있습니다.
하지만, 위키백과나 뉴스 기사 자체에 오류, 부정확한 정보, 또는 가짜 뉴스가 포함될 수 있으며, AI는 이러한 내용을 완벽하게 걸러내지 못할 수 있습니다.
따라서 제공되는 정보에 일부 오류나 편향이 있을 수 있으므로, 중요한 정보는 반드시 다른 출처를 통해 교차 검증하시기 바랍니다.
문의하기 : help@durumis.com
