파라알데하이드
"오늘의AI위키"의 AI를 통해 더욱 풍부하고 폭넓은 지식 경험을 누리세요.
1. 개요
파라알데하이드는 아세트알데히드와 황산의 반응으로 생성되는 사이클릭 유기 화합물이다. 중추신경계 억제제, 항경련제, 수면제 및 진정제로 사용되었으며, 현재는 지속성 뇌전증 치료에 사용되기도 한다. 파라알데하이드는 경구, 직장, 정맥, 근육 주사로 투여될 수 있으며, 과거에는 알코올 금단 증상 환자의 수면 유도에 사용되었으나 아세트알데히드의 발암성으로 인해 다른 약물로 대체되었다. 또한 페놀 포름알데히드 수지 제조, 항균 보존제, 용매, 알데히드 푸크신 생성 등에도 사용된다.
더 읽어볼만한 페이지
- 아세탈 - 니스타틴
니스타틴은 곰팡이 감염 치료에 사용되는 항진균제로, 곰팡이 세포막에 결합하여 세포 사멸을 유도하며, 피부, 질, 구강, 식도의 칸디다증 치료에 효과적이다. - 아세탈 - 메틸렌다이옥시기
메틸렌다이옥시기는 현재 알려진 정보가 없는 항목이다. - 용매 - 아세트산
아세트산(CH₃COOH)은 식초의 주성분인 카르복실산으로, 다양한 화학적 합성법과 발효법으로 대량 생산되며, 산업 및 일상생활에서 널리 사용되지만 고농도에서는 부식성이 강해 주의해야 한다. - 용매 - 푸르푸랄
푸르푸랄은 1821년 되베라이너가 폼산 합성 과정에서 분리한 화합물로, 농업 부산물에서 추출하여 석유화학, 윤활유 정제 등에 사용되며, 섭취 또는 흡입 시 독성이 있어 IARC는 인체 발암성 미분류 물질로 분류한다.
| 파라알데하이드 - [화학 물질]에 관한 문서 | |
|---|---|
| 일반 정보 | |
![]() | |
| IUPAC 이름 | 2,4,6-트리메틸-1,3,5-트라이옥산 |
| 관용명 | 파라알데하이드 |
| 식별 | |
| 약어 | 해당 없음 |
| UNII | S6M3YBG8QA |
| InChI | 1/C6H12O3/c1-4-7-5(2)9-6(3)8-4/h4-6H,1-3H3 |
| InChIKey | SQYNKIJPMDEDEG-UHFFFAOYAO |
| 표준 InChI | 1S/C6H12O3/c1-4-7-5(2)9-6(3)8-4/h4-6H,1-3H3 |
| 표준 InChIKey | SQYNKIJPMDEDEG-UHFFFAOYSA-N |
| CAS 등록번호 | 123-63-7 |
| EC 번호 | 204-639-8 |
| PubChem CID | 31264 |
| ChemSpider ID | 21106173 |
| ChEMBL ID | 1410743 |
| SMILES | CC1OC(C)OC(C)O1 |
| RTECS | 해당 없음 |
| MeSH 이름 | 파라알데하이드 |
| ChEBI ID | 27909 |
| KEGG ID | D00705 |
| 특성 | |
| 분자식 | C6H12O3 |
| 몰 질량 | 132.16 g/mol |
| 외형 | 무색의 액체 |
| 냄새 | 단 냄새 |
| 밀도 | 0.996 g/cm3 |
| 녹는점 | 12 °C |
| 끓는점 | 124 °C |
| 용해도 | 25 °C에서 10% 용해 |
| 증기압 | 20 °C에서 13 hPa |
| 옥탄올-물 분배 계수 (LogP) | 해당 없음 |
| 헨리 상수 | 해당 없음 |
| 대기 중 OH 라디칼 반응 속도 상수 | 해당 없음 |
| pKa | 해당 없음 |
| pKb | 해당 없음 |
| 자기 감수율 | -86.2·10−6 cm3/mol |
| 약리학 | |
| ATC 코드 | N05CC05 |
| 생체 이용률 | 해당 없음 |
| 대사 | 해당 없음 |
| 반감기 | 해당 없음 |
| 단백질 결합 | 해당 없음 |
| 배설 | 해당 없음 |
| 법적 지위 | 해당 없음 |
| 미국 법적 주석 | 해당 없음 |
| 호주 법적 지위 | 해당 없음 |
| 캐나다 법적 지위 | 해당 없음 |
| 위험성 | |
| GHS 신호어 | 경고 |
| H 문구 | H226 |
| P 문구 | P210, P233, P303+361+353, P370+378, P403+235, P501 |
| 주요 위험 | 인화성 |
| NFPA 704 | 해당 없음 |
| 자동 발화점 | 해당 없음 |
| 폭발 한계 | 상한: 17 %(V), 하한: 1.3 %(V) |
| 인화점 | 24°C - 밀폐 용기 |
| LD50 | 경구 - 쥐 - 1,530 mg/kg, 경피 - 토끼 - 14,015 mg/kg |
| LC50 | 해당 없음 |
| PEL | 해당 없음 |
2. 화학적 성질
파라알데하이드는 아세트알데히드의 순환 삼량체이다. 황산과 같은 산 촉매를 사용하여 아세트알데히드를 가열하면 파라알데히드가 생성된다. 이 반응은 가역 반응이며, 파라알데하이드를 산 촉매와 함께 가열하면 다시 아세트알데히드로 분해될 수 있다.
파라알데하이드는 ''시스''- 및 ''트랜스''-파라알데히드로 알려진 두 가지 부분 입체 이성질체의 혼합물로 생산 및 사용된다.[9][10]
산 촉매 존재 하에 파라알데하이드를 가열하면 아세트알데히드로 다시 탈중합 반응을 일으킨다.[11][12]
:C6H12O3 → 3CH3CHO
파라알데하이드는 취급성이 더 좋기 때문에 무수 아세트알데히드(끓는점 20°C)의 합성 등가물로 간접적으로 또는 직접적으로 사용될 수 있다. 예를 들어, 브로말(트리브로모아세트알데히드) 합성에 그대로 사용된다.[13]
: C6H12O3 + 9 Br2 → 3 CBr3CHO + 9 HBr
2. 1. 생성
파라알데하이드는 아세트알데히드와 황산의 직접적인 반응으로 생성될 수 있다. 반응 생성물은 온도에 따라 달라진다. 실온 이상에서는 삼합체의 형성이 선호되지만, -10°C 정도의 낮은 온도에서는 테트라머인 메탈데히드가 생성될 가능성이 더 높다.[7]황산과 아세트알데히드의 반응은 발열 반응으로, 반응열은 -113kJ·mol−1이다.[8]
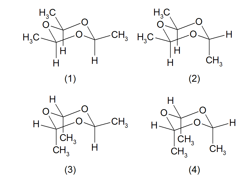
2. 2. 입체화학
파라알데하이드는 ''시스''- 및 ''트랜스''-파라알데하이드로 알려진 두 가지 부분 입체 이성질체의 혼합물로 생산되고 사용된다. 각 부분 입체 이성질체에 대해 두 가지 의자 형태가 가능하다. 구조 (1), (4) 및 (2), (3)은 각각 ''시스''- 및 ''트랜스''-파라알데하이드의 입체 이성질체이다. 구조 (3) ((2)의 입체 이성질체) 및 (4) ((1)의 입체 이성질체)는 입체적 이유로 고에너지 입체 이성질체이며 (1,3-축 방향 상호 작용이 존재함) 파라알데하이드 샘플에는 거의 존재하지 않는다.[9][10]2. 3. 반응
촉매량의 산으로 가열하면 아세트알데히드로 다시 탈중합 반응을 일으킨다.[11][12]:C6H12O3 → 3CH3CHO
파라알데하이드는 취급성이 더 좋기 때문에 무수 아세트알데히드(끓는점 20°C)의 합성 등가물로 간접적으로 또는 직접적으로 사용될 수 있다. 예를 들어, 브로말(트리브로모아세트알데히드)의 합성에 그대로 사용된다.[13]
: C6H12O3 + 9 Br2 → 3 CBr3CHO + 9 HBr
3. 의학적 응용
파라알데하이드는 1882년 이탈리아 의사 빈첸초 체르벨로에 의해 영국에서 임상에 도입되었다.[14][15][16] 중추신경계 억제제이며, 항경련제, 수면제 및 진정제로 효과가 있는 것으로 밝혀졌다. 일부 기침약에 거담제로 포함되었지만, 위약 효과 외에 이 기능에 대한 알려진 메커니즘은 없다.
파라알데하이드는 1950년 연쇄 살인 용의자 존 보드킨 아담스가 에디스 앨리스 모렐에게 마지막으로 주사한 약물이었다. 아담스는 모렐 살인 혐의로 재판을 받았지만 무죄 판결을 받았다.
3. 1. 진정/수면 효과
파라알데하이드는 1882년 이탈리아 의사 빈첸초 체르벨로에 의해 영국에서 임상에 도입되었다.[14][15][16]중추신경계 억제제이며, 곧 효과적인 항경련제, 수면제 및 진정제로 밝혀졌다.
진전 섬망 환자의 수면 유도에 흔히 사용되었으나, 현재는 다른 약물로 대체되었다. 1970년대까지 가장 안전한 최면제 중 하나로 여겨졌으며, 정신 병원 및 노인병동에서 취침 전에 정기적으로 투여되었다. 그러나 아세트알데히드가 인체 발암 물질 1군으로 확인된 후, 안전하다고 간주할 수 없게 되었다.
3. 2. 항경련 효과
파라알데하이드는 중추신경계 억제제이며, 효과적인 항경련제로 밝혀졌다.[14][15][16]오늘날 파라알데하이드는 때때로 지속성 뇌전증 치료에 사용된다. 디아제팜 및 기타 벤조디아제핀과 달리, 치료 용량에서 호흡을 억제하지 않으므로 소생 시설이 없거나 환자의 호흡이 이미 손상된 경우 더 안전하다.[17] 이는 간질을 앓는 어린이의 부모 및 기타 보호자에게 유용한 응급 약품이 된다. 항경련 효과와 최면 효과 사이의 용량 간격이 작기 때문에, 파라알데히드 치료는 대개 수면을 유발한다.
3. 3. 투여 방법
파라알데하이드는 경구, 직장, 근육 주사, 정맥 주사로 투여할 수 있다. 고무 및 플라스틱과 반응하므로 투여 전 주사기나 튜브와 접촉하는 시간이 제한된다.[14][15][16]
일반적으로 5mL 밀봉된 유리 앰플 형태로 제공된다. 미국에서는 생산이 중단되었지만, 이전에는 ''''파랄'''''(Paral)이라는 이름으로 판매되었다.
3. 3. 1. 경구 투여
파라알데히드는 맵고 타는 맛이 있으며 위장을 자극할 수 있다. 보통 유리 컵에 우유나 과일 주스와 섞고 금속 숟가락으로 저어준다.[1]3. 3. 2. 직장 투여
파라알데히드는 직장으로 투여할 수 있다. 파라알데히드 1부분을 생리식염수 9부분과 혼합하거나, 땅콩 또는 올리브 오일과 동일한 비율로 혼합하여 사용할 수 있다.3. 3. 3. 주사
파라알데히드는 근육 주사와 정맥 주사 방식으로 투여할 수 있다. 그러나 고무 및 플라스틱과 반응하므로, 투여 전에 주사기나 튜브와 안전하게 접촉할 수 있는 시간이 제한된다.[1]'''주사'''. 근육 주사는 매우 고통스러울 수 있으며 무균 농양, 신경 손상 및 조직 괴사를 유발할 수 있다.[1] 정맥 투여는 폐부종, 순환계 붕괴 및 기타 합병증을 유발할 수 있다.[1]
4. 기타 용도
파라알데하이드는 수지 제조 과정에서 페놀 포름알데히드 수지를 만들 때 포름알데히드 대신 사용된다.[18] 또한 항균 보존제로 쓰이며, 드물게 용매로도 사용된다.[18] 알데히드 푸크신 생성에도 사용되었다.[18]
참조
[1]
웹사이트
Sigma-Aldrich
2020-01-16
[2]
논문
Densities and ultrasonic velocities of binary mixtures of 2,4,6-trimethyl-1,3,5-trioxane + ''n''-alcohols at 298.15, 303.15 and 308.15 K
http://nopr.niscair.[...]
2006-03
[3]
서적
Ueber die Producte der Oxydation des Alkohols
https://babel.hathit[...]
1835
[4]
서적
Ueber zwei dem Aldehyd isomere Verbindungen
https://babel.hathit[...]
1838
[5]
서적
Ueber einige Producte der Einwirkung von Alkalien und Säuren auf den Aldehyd
https://babel.hathit[...]
1848
[6]
간행물
"The action of paraldehyde,"
https://books.google[...]
1885-04-15
[7]
서적
Chemie für Biologen mit 71 Tabellen
2005
[8]
서적
Ullmann's Encyclopedia of Industrial Chemistry
Wiley-VCH Verlag GmbH & Co. KGaA
2006-12-15
[9]
논문
Microwave spectrum of paraldehyde
1970
[10]
논문
The Electron Diffraction Study of Paraldehyde
1936
[11]
웹사이트
dl-Alanine
[12]
웹사이트
Methyl isopropyl carbinol
[13]
웹사이트
Bromal
[14]
논문
The history of barbiturates a century after their clinical introduction
2005-12
[15]
간행물
Sull'azione fisiologica della paraldeide e contributo allo studio del cloralio idrato
https://babel.hathit[...]
1883
[16]
웹사이트
Dizionario Biografico
http://www.treccani.[...]
[17]
논문
Respiratory depression in children receiving diazepam for acute seizures: a prospective study
[18]
논문
The role of paraldehyde in the rapid preparation of aldehyde fuchsin
1982-02
[19]
웹사이트
Oxford MSDS
http://msds.chem.ox.[...]
[20]
논문
The history of barbiturates a century after their clinical introduction
[21]
웹사이트
Sigma-Aldrich
2020-01-16
[22]
논문
Densities and ultrasonic velocities of binary mixtures of 2,4,6-trimethyl-1,3,5-trioxane + ''n''-alcohols at 298.15, 303.15 and 308.15 K
http://nopr.niscair.[...]
2006-03
본 사이트는 AI가 위키백과와 뉴스 기사,정부 간행물,학술 논문등을 바탕으로 정보를 가공하여 제공하는 백과사전형 서비스입니다.
모든 문서는 AI에 의해 자동 생성되며, CC BY-SA 4.0 라이선스에 따라 이용할 수 있습니다.
하지만, 위키백과나 뉴스 기사 자체에 오류, 부정확한 정보, 또는 가짜 뉴스가 포함될 수 있으며, AI는 이러한 내용을 완벽하게 걸러내지 못할 수 있습니다.
따라서 제공되는 정보에 일부 오류나 편향이 있을 수 있으므로, 중요한 정보는 반드시 다른 출처를 통해 교차 검증하시기 바랍니다.
문의하기 : help@durumis.com
