BTB 용액
"오늘의AI위키"의 AI를 통해 더욱 풍부하고 폭넓은 지식 경험을 누리세요.
1. 개요
브로모티몰 블루(BTB)는 pH 지시약으로 사용되는 트리아릴메탄계 색소이다. 산성 용액에서는 노란색, 염기성 용액에서는 파란색을 나타내며, 중성 용액에서는 녹색을 띤다. BTB는 물, 에테르, 알칼리 수용액에 용해되며, pH 6.0~7.6 범위에서 변색한다. 합성 방법은 티몰 블루에 브롬을 첨가하여 제조하며, 생물학 및 화학 실험, 의료 분야, 수영장 및 양식조 등에서 널리 사용된다. 특히, 광합성 및 호흡 관찰, 양막 조기 파열 감지 등에 활용된다.
더 읽어볼만한 페이지
- 알킬페놀 - 프로포폴
프로포폴은 정맥 마취제로 사용되지만 과량 투여 시 위험하며, 전신 마취 유도 및 유지 등에 사용되면서 빠른 작용 및 회복 등의 특징을 가지나, 오락적 사용이나 부작용의 위험이 있다. - 알킬페놀 - 삼차뷰틸하이드로퀴논
삼차뷰틸하이드로퀴논(TBHQ)은 산화 방지제로 사용되는 화학 물질이며, 식품 첨가물로 E319로 지정되어 불포화 식물성 기름 및 식용 동물성 지방의 방부제로 사용되고, 식품 보관 수명 연장 등의 장점이 있으나, 고용량에서는 잠재적인 건강 위험이 보고되기도 한다. - 산·염기 지시약 - 페놀프탈레인
페놀프탈레인은 pH 지시약 및 산-염기 적정에 널리 쓰이는 무색의 결정성 물질로, 염기성 용액에서 자홍색을 띠는 특성을 지니며, 과거에는 하제로 사용되었으나 현재는 혈액 검출, 콘크리트 탄산화 검사, 장난감 제조 등에 활용된다. - 산·염기 지시약 - 크리스탈 바이올렛
크리스탈 바이올렛은 청자색 염료이자 pH 지시약으로, 섬유, 종이 염료, 인쇄 잉크, 세포 염색, 지문 현출 등에 활용되며 젠티안 바이올렛으로도 불리지만 발암 및 생식 능력에 대한 우려도 있다. - 아이소프로필 화합물 - 발린
발린은 헤르만 에밀 피셔가 카세인에서 처음 분리한 필수 아미노산으로, 체내 합성이 불가능하여 음식으로 섭취해야 하며, 에너지 대사, 인슐린 저항성, 조혈줄기세포 자가 재생 등에 관여하고 대사 과정 손상 시 특정 질환을 유발할 수 있다. - 아이소프로필 화합물 - 아트라진
아트라진은 수수, 옥수수 등 작물에서 잡초를 제거하는 데 사용되는 제초제이며, 토양 잔류성, 내분비계 교란 물질로 인한 유해성 논란이 있어 여러 국가에서 규제 및 사용 기준이 관리되고 있다.
| BTB 용액 - [화학 물질]에 관한 문서 | |
|---|---|
| 일반 정보 | |
![]() | |
![]() | |
| IUPAC 명칭 | 4,4'-(1,1-다이옥시도-3H-2,1-벤족사티올-3,3-다이일)비스(2-브로모-6-아이소프로필-3-메틸페놀) |
| 화학식 | C27H28Br2O5S |
| CAS 등록번호 | 76-59-5 |
| PubChem CID | 6450 |
| ChemSpider ID | 6208 |
| ChEBI | 86155 |
| ChEMBL | 3392578 |
| EC 번호 | 200-971-2 |
| UNII | VGU4LM0H96 |
| SMILES | Brc1c(O)c(cc(c1C)C3(OS(=O)(=O)c2ccccc23)c4cc(c(O)c(Br)c4C)C(C)C)C(C)C |
| InChI | 1/C27H28Br2O5S/c1-13(2)17-11-20(15(5)23(28)25(17)30)27(19-9-7-8-10-22(19)35(32,33)34-27)21-12-18(14(3)4)26(31)24(29)16(21)6/h7-14,30-31H,1-6H3 |
| InChIKey | NUHCTOLBWMJMLX-UHFFFAOYAD |
| 표준 InChI | 1S/C27H28Br2O5S/c1-13(2)17-11-20(15(5)23(28)25(17)30)27(19-9-7-8-10-22(19)35(32,33)34-27)21-12-18(14(3)4)26(31)24(29)16(21)6/h7-14,30-31H,1-6H3 |
| 표준 InChIKey | NUHCTOLBWMJMLX-UHFFFAOYSA-N |
| 물리적 성질 | |
| 밀도 | 1.25 g/cm3 |
| 녹는점 | 202 °C |
| 용해도 | 물에 약간 용해됨 |
| pKa | 7.0 |
| 위험성 | |
| GHS 정보 | |
| 신호어 | 경고 |
| NFPA 704 | |
| 건강 | 2 |
| 인화성 | 1 |
| 반응성 | 0 |
| pH 지시약 정보 | |
| 지시약 이름 | 브로모티몰 블루 |
| 낮은 pH | 6.0 |
| 높은 pH | 7.6 |
| 낮은 pH 색상 | 노란색 |
| 높은 pH 색상 | 파란색 |
| 안전 보건 자료 (SDS) | |
| 외부 SDS | ThermoFisher Scientific |
2. 구조 및 성질

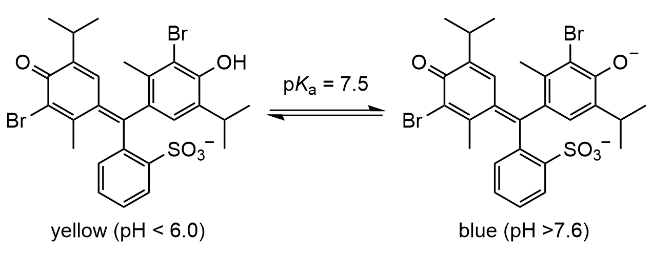
브로모티몰 블루(BTB)는 용액에서 약산으로 작용하며, pH에 따라 양성자화 또는 탈양성자화된 형태로 존재한다. 산성형(pH < 6.0)은 노란색, 염기성형(pH > 7.6)은 파란색을 나타내며, 중성(pH ≈ 7) 부근에서는 녹청색을 띤다. 중성 형태의 탈양성자화는 고도로 공액된 구조를 생성하여 색상 차이를 나타낸다.[2]
브로모티몰 블루의 양성자화된 형태는 427 nm에서 최대 흡수를 보이며 산성 용액에서 노란색 빛을 투과하는 반면, 탈양성자화된 형태는 602 nm에서 최대 흡수를 보이며 더 염기성 용액에서 파란색 빛을 투과한다.[3] 분자량은 624.38이며, pKa는 7.5이다. 매우 강한 산에서는 빨간색(마젠타)을, 매우 강한 염기에서는 보라색을 나타낸다.[13]
2. 1. 분자 구조
브로모티몰 블루(BTB)는 트리아릴메탄계 색소로 분류되며, 클로로페놀 레드, 티몰 블루, 브로모크레졸 그린 등과 공통된 탄소 골격을 가진다.[2][14] 분자 구조 내에 하나의 전자 끌기 그룹인 브로민 원자와 두 개의 전자 주개 그룹인 알킬기를 가지고 있어, pH 6.0에서 7.6 사이의 변색 범위를 갖는다.[2][14]술톤 고리가 열리고 닫힘에 따라 분자 구조가 변하며, 이로 인해 pH에 따른 색 변화가 나타난다. pH < 6.0에서는 노란색(산성형), pH > 7.6에서는 파란색(염기성형)을 띠며, 그 중간에서는 녹색을 나타낸다.[13] 분자량은 624.38, pKa는 7.5이다.[13]
산성형 BTB는 파장 433 nm에서 최대 흡광 강도를 보여 노란색을 띠고, 염기성형 BTB는 616 nm의 빛을 가장 잘 흡수하여 파란색으로 보인다.[13] BTB는 물에 잘 녹지 않지만, 에탄올 등의 알코올이나 알칼리 수용액에는 녹는다. 벤젠, 톨루엔, 크실렌 등의 비극성 용매에는 잘 녹지 않고, 석유 에테르에는 거의 녹지 않는다.[15]
2. 2. 용해도
BTB는 물에는 잘 녹지 않지만, 에탄올 등의 알코올이나 알칼리 수용액에는 녹는다.[15] 벤젠, 톨루엔, 자일렌과 같은 비극성 용매에는 잘 녹지 않고, 석유 에테르에는 거의 녹지 않는다.[5][15]3. 합성 및 제조
브로모티몰 블루는 글래셜 아세트산 용액에서 티몰 블루에 브롬 원소를 첨가하여 합성한다.[6]
pH 지시약으로 사용할 용액을 제조하려면 0.10 g을 8.0 cm3 N/50 (일명 0.02 노르말) 수산화 나트륨에 녹인 다음 물로 희석하여 250 cm3로 만든다. 부피 측정 작업에서 지시약으로 사용할 용액을 제조하려면 0.1 g을 100 cm3의 50% (v/v) 에탄올에 녹인다.[5] 산-염기 지시약으로 사용할 경우, 0.02 M 수산화 나트륨 수용액 8 cm3에 BTB 0.10 g을 녹여 250 cm3의 물로 희석한다. 용적 측정의 지시약으로 사용할 때는 50%(v/v) 함수 에탄올 100 cm3에 BTB 0.1 g을 녹여 조제한다.[15]
4. 용도

BTB 용액은 중성 부근의 약산 및 염기 검출에 사용되며, 수영장이나 양식조 등에서 카르복실산 검출에도 사용된다. 생물학 실험에서 슬라이드 염색이나 광합성, 호흡 관찰 실험에 사용되며, 의료 분야에서는 양수 파열 검사에 사용된다.
4. 1. 생물학 및 화학 실험
브로모티몰 블루(BTB)는 광합성이나 호흡을 관찰하는 실험에서 이산화 탄소 농도 변화를 확인하는 데 사용된다. BTB 용액은 이산화 탄소가 첨가되면 노란색으로 변한다.[7][8] 중성 BTB 용액에 튜브를 통해 숨을 내쉬면 호흡에서 나온 이산화 탄소가 용액에 흡수되면서 탄산이 형성되어 용액의 색상이 녹색에서 노란색으로 변한다. 이러한 BTB의 pH 지시약 특성은 근육 사용량이 많을수록 이산화 탄소 배출량이 증가한다는 것을 보여주는 과학 교육 수업에서 활용된다.[16][17]BTB는 페놀 레드와 함께 곰팡이 아스파라기나제 효소 활성을 측정하는 데 사용되기도 한다. 페놀 레드는 분홍색, BTB는 파란색으로 변하여 pH 증가를 나타내는데, 이는 효소 활성을 의미한다.[9] 그러나 최근 연구에 따르면 효소 활성 영역에서 밝은 노란색 고리가 형성되기 때문에 메틸 레드가 더 유용하다.[10][18]
BTB는 실험실에서 생물학적 슬라이드를 염색하는 염료로도 사용된다. 파란색 BTB 용액 몇 방울을 물 슬라이드에 떨어뜨려 표본과 혼합한 후 커버 슬립으로 덮어 고정한다. 현미경으로 세포벽이나 핵을 관찰할 때 사용된다.
4. 2. 의료 분야
브로모티몰 블루는 산부인과에서 양수의 조기 파열을 감지하는 데 사용된다.[11] 양수는 일반적으로 pH가 7.2보다 높으므로, 브로모티몰 블루는 양막에서 새는 체액과 접촉하면 파란색으로 변한다. 질의 pH는 보통 산성이므로, 파란색은 양수의 존재를 나타낸다. 혈액이나 정액과 같은 다른 알칼리성 물질이 있거나 세균성 질염이 있는 경우에는 검사 결과가 위양성일 수 있다.4. 3. 기타
중성 근처의 약산 및 염기의 검출에 사용된다. 수영장이나 양식조 등에서 카르복실산 검출에 사용된다.[16]참조
[1]
웹사이트
Archived copy
http://avogadro.chem[...]
2015-12-11
[2]
논문
Substituent effects on absorption spectra of pH indicators: An experimental and computational study of sulfonphthaleine dyes
https://biblio.ugent[...]
2014-03
[3]
논문
Thin film optical BTB pH sensors using sol–gel method in presence of surfactants
http://www.inl-journ[...]
2012-07-18
[4]
논문
The Equilibrium Constant for Bromothymol Blue: A General Chemistry Laboratory Experiment Using Spectroscopy
https://doi.org/10.1[...]
2011
[5]
서적
The Merck Index
Merck Research Laboratory
[6]
웹사이트
Bromothymol blue
https://labsupply.co[...]
2020-04-04
[7]
서적
Handbook of Acid-Base Indicators
CRC Press
[8]
서적
Handbook of Biological Dyes and Stains: Synthesis and Industrial Applications
Wiley
[9]
웹사이트
Isolation and screening of L-asparaginase free of glutaminase and urease from fungal sp.
https://www.research[...]
2016-08-22
[10]
논문
A comparative rapid and sensitive method to screen l-asparaginase producing fungi
2014-07
[11]
논문
The determination of rupture of the membranes
https://www.ajog.org[...]
1935-12-01
[12]
웹사이트
アーカイブされたコピー
http://avogadro.chem[...]
2015-12-11
[13]
논문
Determination of equilibrium structures of bromothymol blue revealed by using quantum chemistry with an aid of multivariate analysis of electronic absorption spectra
https://www.scienced[...]
2022-01-06
[14]
논문
Substituent effects on absorption spectra of pH indicators: An experimental and computational study of sulfonphthaleine dyes
http://www.sciencedi[...]
2014-11-18
[15]
서적
The Merck Index
Merck Research Laboratory
[16]
서적
Handbook of Acid-Base Indicators
CRC Press
[17]
서적
Handbook of Biological Dyes and Stains: Synthesis and Industrial Applications
Wiley
[18]
논문
A comparative rapid and sensitive method to screen l-asparaginase producing fungi
http://www.sciencedi[...]
2014-11-18
[19]
웹인용
Archived copy
http://avogadro.chem[...]
2015-12-11
본 사이트는 AI가 위키백과와 뉴스 기사,정부 간행물,학술 논문등을 바탕으로 정보를 가공하여 제공하는 백과사전형 서비스입니다.
모든 문서는 AI에 의해 자동 생성되며, CC BY-SA 4.0 라이선스에 따라 이용할 수 있습니다.
하지만, 위키백과나 뉴스 기사 자체에 오류, 부정확한 정보, 또는 가짜 뉴스가 포함될 수 있으며, AI는 이러한 내용을 완벽하게 걸러내지 못할 수 있습니다.
따라서 제공되는 정보에 일부 오류나 편향이 있을 수 있으므로, 중요한 정보는 반드시 다른 출처를 통해 교차 검증하시기 바랍니다.
문의하기 : help@durumis.com
