개환 중합
"오늘의AI위키"의 AI를 통해 더욱 풍부하고 폭넓은 지식 경험을 누리세요.
1. 개요
개환 중합은 고리형 화합물이 열리면서 중합체를 형성하는 반응으로, 양이온, 음이온, 자유 라디칼, 복분해 메커니즘을 통해 진행된다. 양이온 개환 중합은 에폭사이드, 락톤, 락탐, 고리형 아민, 고리형 에터 등에서 일어나며, 강한 양성자성 산이나 루이스 산이 개시제로 사용된다. 음이온 개환 중합은 알칼리 금속, 무기 염기, 금속 알콕사이드 등이 개시제로 사용되며, 에폭사이드, 락톤, 락탐, 고리형 실록세인 등에서 반응이 일어난다. 자유 라디칼 개환 중합은 폴리에스터, 폴리아마이드 등의 합성에 이용되며, 복분해 개환 중합(ROMP)은 사이클로알켄, 바이사이클로알켄을 중합하여 고분자를 제조하는 데 사용되며, Grubbs 촉매가 널리 사용된다.
더 읽어볼만한 페이지
2. 역사
개환 중합(開環重合, ROP)은 1900년대 초부터 고분자를 생산하는 데 사용되어 왔다. 개환 중합의 가장 오래된 역사를 가진 폴리펩타이드의 합성은 1906년 Leuchs의 작업으로 거슬러 올라간다.[6] 그는 아미노산 N-카복시무수물(NCA)을 개환 중합하여 폴리펩타이드를 합성했다. 그 후, 무수당의 개환 중합을 통해 덱스트란, 잔탄검, 웰란검, 젤란검, 디우탄검 및 풀루란을 포함한 다당류가 합성되었다. 개환 중합의 메커니즘과 열역학은 1950년대에 확립되었다.[7][8] 또한 개환 중합은 1976년에 처음으로 반복 단위를 갖는 고분자량 고분자(Mn~105)를 제조하였다.[9][10] 산업적으로는 나일론-6 생산에 개환 중합이 활용되고 있다.
개환 중합(ROP)은 고분자 사슬의 말단이 고리형 단량체를 공격하여 더 긴 고분자를 형성하는 사슬 성장 중합의 한 형태이다. 대부분의 경우 단량체가 양이온 또는 음이온성 활성 중심에 연속적으로 첨가되어 진행되는 사슬 중합 메커니즘에 의해 진행되지만, 라디칼 또는 배위 중합과 같은 비이온성 메커니즘으로 일어나는 특수한 개환 중합도 있다.[11]
3. 중합 메커니즘
개환 중합은 개시제의 종류와 반응 조건에 따라 라디칼, 음이온, 양이온 중합 등 다양한 메커니즘으로 진행될 수 있다.[11] 특히, 라디칼 ROP는 바이닐 단량체의 기존 사슬 성장 중합을 통해 합성할 수 없는, 주 사슬에 에테르, 에스테르, 아마이드 및 탄산염 등의 작용기가 통합된 고분자를 생산하는 데 유용하다.[12][13]
개환 중합의 정확한 메커니즘은 개시제, 단량체, 중합 조건에 크게 의존하며, 어떤 개환 중합은 고리가 열려 중축합을 하는 단량체로 전환되는 복잡한 메커니즘을 갖기도 한다.
고리형 단량체의 개환을 위한 추진력은 고리 중심으로 운집된 원소들의 결합각 스트레인과 입체적 반발을 해소하려는 것이다. 따라서 다른 종류의 중합에서와 같이, 개환의 엔탈피 변화는 음수이다.[1]
3. 1. 양이온 개환 중합 (Cationic Ring-Opening Polymerization, CROP)
양이온 개환 중합(CROP)은 전자가 부족한 양이온 고리형 화합물이 전자를 주는 단량체와 반응하여 고분자를 생성하는 중합법이다. 이 반응은 반복적인 말단 전이 과정을 통해 진행된다. 양이온 개환 중합에는 헤테로고리 화합물(에폭사이드, 락톤, 락탐, 고리형 아민, 고리형 에터 등)이 사용될 수 있다.
이 중합 반응에는 강한 양성자성 산(H₂SO₄, CF₃SO₃H, CF₃CO₂H 등) 또는 루이스 산(Ph₃C⁺[PF₆]⁻, CH₃C⁺O[SbF₆]⁻ 등)이 개시제로 사용된다.[1]
분류:중합 반응
3. 1. 1. 에폭사이드의 양이온 개환 중합
에폭사이드는 고리 스트레인이 높아 개환 중합(ROP) 반응성이 매우 크다.
에폭사이드의 산소 원자와 R+가 결합하여 양전하를 갖는 (Ⅰ) 고리형 옥소늄 이온을 만든다. (Ⅰ)에서 C-O 결합이 끊어짐에 따라 사슬 구조가 되고, 양전하를 갖는 (Ⅱ) 열린 사슬형의 탄소 양이온이 된다.
다른 단량체의 에폭사이드 산소가 고리의 탄소 원자를 친핵성 공격하여 (I) 고리형 옥소늄 이온을 개환하거나, 개시 단계와 동일한 반응으로 단량체가 첨가되어 (Ⅱ) 열린 사슬형의 탄소 양이온의 성장이 진행된다.
정지는 H+가 제거되면서 불포화 C=C 말단기를 만드는 말단 구조의 재배열 반응을 통해 일어날 수 있다.
또한 [AlCl₄]-와 같은 불안정한 이온을 사용하면 이온쌍 재배열을 통해 정지가 일어날 수 있다.
분자 내 또는 분자 간 사슬이동이 일어난다. 전자는 고리 형성을 유도하는 꼬리물기 반응인 반면, 후자는 교환 반응으로 볼 수 있으며 선형 사슬과 고리 분자 모두에서 일어날 수 있다. 이 반응들은 개환 중합의 특징인 ‘고리-사슬 평형’을 야기한다. 즉, 선형 분자는 고리 분자와 평형에 있게 된다.

3. 1. 2. 락톤의 양이온 개환 중합
락톤(lactone영어)은 다음의 일반 구조를 갖는 고리형 에스터이며, 두 가지 중요한 메커니즘에 의해 양이온 개환 중합을 한다.
3. 1. 3. 락탐의 양이온 개환 중합
락탐(고리형 아마이드)의 양이온 개환 중합은 보통 락탐의 산소나 질소 원자에 양성자를 줄 수 있는 산에 의해 개시된다. 개시 반응은 락탐 카보닐 산소가 양성자화되어 다른 락탐 분자의 아마이드 질소가 갖는 고립 전자쌍에 의한 카보닐 탄소 공격을 촉진하며, 그 첨가 생성물은 재배열을 통해 양성자화된 아실 락탐을 만들고, 그런 다음 H+를 다른 락탐 분자로 전달하는 과정을 포함하는 것으로 여겨지고 있다.
아실 락탐의 말단 -NH2기는 다른 양성자화된 락탐 분자를 공격하는 친핵체로 작용하여 개시 단계에서와 똑같은 화학 반응을 거쳐 사슬 성장을 유도하고, 여기서 치환된 락탐의 비대칭 탄소 원자 -CHR-의 입체 배열은 유지되며 매번 H+를 내놓으면서 첨가 반응을 위한 다른 락탐 분자를 양성자화 시켜 나간다.
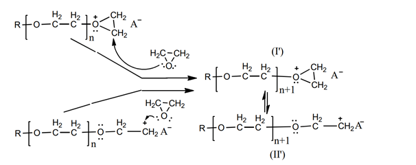
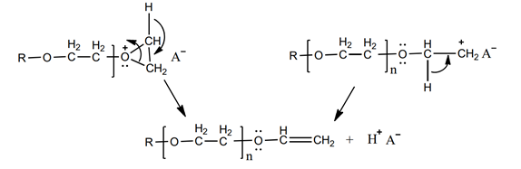
3. 1. 4. 고리형 실록세인의 양이온 개환 중합
고리형 실록세인은 강한 양성자성 산에 의해 개시되어 복잡한 중합 반응을 거친다. 교환 반응과 꼬리물기 사슬 이동 반응으로 고리-사슬 평형이 이루어진다.[1] 폴리실록세인의 합성은 상업적으로 중요하며, 음이온 개환 중합을 일으키는 데 필요한 강염기에 대해 반응성이 있는 작용기를 가지고 있어 이 작용기를 포함한 치환기를 가진 실록세인의 중합에 사용할 수 있는 장점을 갖고 있다.[1]


3. 2. 음이온 개환 중합 (Anionic Ring-Opening Polymerization)
음이온 개환 중합에는 알칼리 금속 (Na, K), 무기 염기 (NaOH, KOH, NaNH2), 금속 알콕사이드 (LiOCH3, NaOEt), 금속 알킬 및 수소화물 (LinBu, NaH), 전자 이동 착물 (나프탈렌화 소듐) 등 다양한 개시제가 사용된다.[1]
3. 2. 1. 에폭사이드의 음이온 개환 중합
무기 염기나 금속 알콕사이드(Mt⁺B⁻)에 의해 에폭사이드의 중합은 다음과 같이 진행된다.

본질적으로 정지 반응은 없으며, 따라서 고분자 음이온은 활성을 유지한다. 즉, 리빙 중합으로 진행될 수 있다. 개시를 위해 HO-를 사용하고, 단량체 전환이 완결된 후 양성자 주개(묽은 산)를 첨가하여 중합 반응을 정교하게 정지시킴으로써 양 말단에 하이드록실기를 갖는 선형 폴리에터를 만들 수 있다.
3. 2. 2. 락톤의 음이온 개환 중합
락톤은 고리 카보닐기로의 친핵성 공격과 이어지는 CO-O 결합의 절단을 통해 중합된다.
치환된 단량체가 갖고 있는 비대칭 탄소 원자 –CHR-의 입체구조는 고분자에서도 유지된다. 이러한 일반적 메커니즘에서 예외적인 경우는 약염기(예: CH|3영어COO-Na+)에 의한 β-피옥피오락톤 중합인데, 이때는 O-CH2의 탄소 원자에 친핵성 공격이 일어나 이 결합이 끊어지고 카복실레이스 이온 활성종이 생성된다.
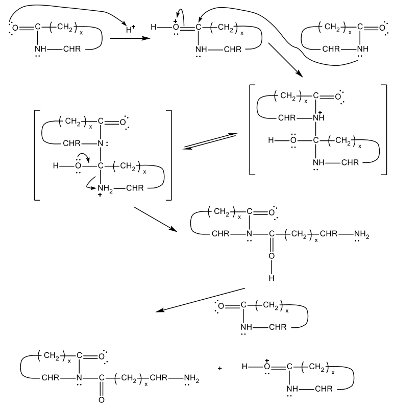
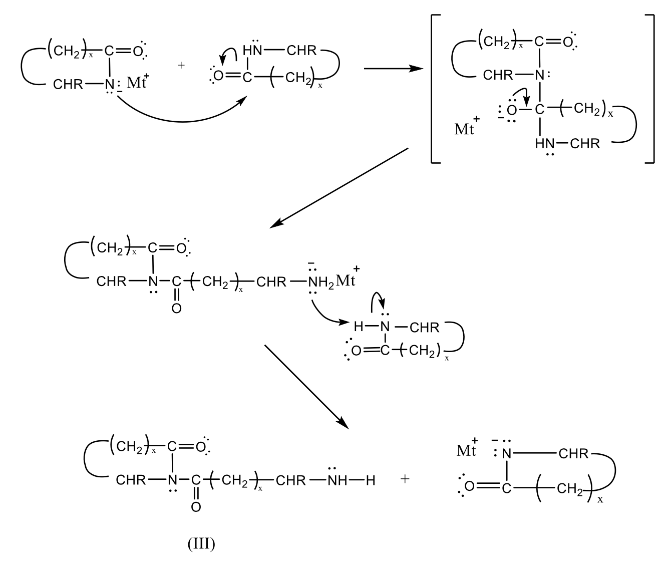
3. 2. 3. 락탐의 음이온 개환 중합
락탐의 중합은 보통 알칼리 금속이나 강염기에 의해 개시되며, 초기에 락탐 음이온 생성을 포함하는 메커니즘으로 진행된다.[1]
락탐 음이온은 공명에 의해 안정화되고,[1]
이후 비교적 천천히 단량체 내의 카보닐 탄소 원자를 공격하여 CO-NH 결합을 끊고 매우 반응성이 높은 말단 –NH 이온을 생성시킨 후 빠르게 다른 단량체로부터 H를 빼낸다.[1]
생성된 화합물(III)의 고리 카보닐 탄소 원자는 두 번째 카보닐기가 고리 질소 원자에 결합하고 있어 단량체보다 친핵성 공격에 대해 훨씬 강하게 활성화되어 있다. 성장은 유사한 반응으로 진행된다. 여기서 단량체 락탐 음이온은 말단 N-아실락탐에 있는 고리 카보닐 탄소 원자를 공격하여 CO-N 결합을 끊게 되고, 이것은 단량체로부터 H+를 제거할 수 있는 –NH 이온을 생성시켜 또 다른 단량체 락탐 음이온을 만든다. 또한 –NH이온이 다른 성장 사슬의 N-아실락탐의 말단기를 공격하여 가지형 고분자의 형성 또한 가능하다. 각 성장 단계에서 치환된 단량체의 비대칭 탄소 원자의 입체 구조는 그대로 고분자에서 유지된다.[1]
3. 2. 4. 고리형 실록세인의 음이온 개환 중합
고리형 실록세인은 에폭사이드와 유사한 메커니즘으로 리빙 음이온 개환 중합이 가능하다. 금속 알킬이 개시제로 이용될 수 있지만, 실라놀레이트(silanolate)가 보다 자주 사용된다.[1]
성장은 유사한 반응화학을 통해 진행된다. 여기서는 사슬 성장이 한 개 사슬 말단으로부터 일어나는 것으로 나타냈지만, 성장은 실라놀레이트 양 말단으로부터 일어날 수 있다.[1]
3. 3. 자유 라디칼 개환 중합 (Free Radical Ring-Opening Polymerization)
자유 라디칼 개환 중합(Free Radical Ring-Opening Polymerization, ROP)은 바이닐 단량체의 사슬 성장 중합으로는 합성하기 어려운, 주 사슬에 작용기가 통합된 고분자를 생산하는 데 유용하다. 예를 들어, 주 사슬에 에테르, 에스테르, 아마이드, 탄산염과 같은 작용기를 가진 고분자를 생성할 수 있다.[12][13]
3. 4. 복분해 개환 중합 (Ring-Opening Metathesis Polymerization, ROMP)
알켄의 복분해는 전이 금속 착물에 의해 촉매 작용을 받는 불균등화 반응이다. 사이클로알켄과 바이사이클로알켄의 복분해 개환 중합(ROMP)을 통해 고분자를 제조하는 데 응용된다. Grubbs 촉매의 개발로 ROMP가 고분자 합성에 널리 사용되게 되었다. 루테늄계 촉매는 공기 중에서 안정하고, 극성 작용기에 영향을 받지 않으며, 25~50°C에서 ROMP에 유효하다. ROMP는 노보넨이나 다이사이클로펜타다이엔 고분자 제조에 상업적으로 사용된다. ROMP는 전도성 고분자인 폴리아세틸렌을 합성하는 데 사용될 수 있다.[1] 많이 변형된 사이클로알케인(예: 노르보르넨)과 바이사이클로알켄은 개환 복분해 중합에 적합한 단량체이다.[2][3][4][5]
참조
[1]
서적
Introduction to polymers
https://www.worldcat[...]
CRC Press
2011
[2]
저널
Recent advances in the synthesis of aliphatic polyesters by ring-opening polymerization☆
https://linkinghub.e[...]
2008-06-10
[3]
저널
Discrete Cationic Complexes for Ring-Opening Polymerization Catalysis of Cyclic Esters and Epoxides
https://pubs.acs.org[...]
2015-05-13
[4]
저널
Ring-Opening Copolymerization of Epoxides and Cyclic Anhydrides with Discrete Metal Complexes: Structure–Property Relationships
https://pubs.acs.org[...]
2016-12-28
[5]
저널
Polypeptides and 100 Years of Chemistry of α-Amino AcidN-Carboxyanhydrides
https://onlinelibrar[...]
2006-09-04
[6]
저널
Ueber die Glycin‐carbonsäure
https://onlinelibrar[...]
1906-01
[7]
저널
The thermodynamics of polymerization of cyclic compounds by ring opening
http://xlink.rsc.org[...]
1955
[8]
저널
Ring opening in lactam polymers
https://onlinelibrar[...]
1955-01
[9]
저널
"[No title found]"
https://onlinelibrar[...]
1977-10
[10]
저널
Polymerization of cyclic esters of phosphoric acid. VI. Poly(alkyl ethylene phosphates). Polymerization of 2-alkoxy-2-oxo-1,3,2-dioxaphospholans and structure of polymers
https://onlinelibrar[...]
1978-06
[11]
저널
Ring-Opening Copolymerization of Epoxides and Cyclic Anhydrides with Discrete Metal Complexes: Structure–Property Relationships
https://pubs.acs.org[...]
2016-12-28
[12]
저널
Ring-Opening Polymerization—An Introductory Review
http://www.mdpi.com/[...]
2013-04-25
[13]
서적
Handbook of ring-opening polymerization
https://www.worldcat[...]
Wiley-VCH
2009
본 사이트는 AI가 위키백과와 뉴스 기사,정부 간행물,학술 논문등을 바탕으로 정보를 가공하여 제공하는 백과사전형 서비스입니다.
모든 문서는 AI에 의해 자동 생성되며, CC BY-SA 4.0 라이선스에 따라 이용할 수 있습니다.
하지만, 위키백과나 뉴스 기사 자체에 오류, 부정확한 정보, 또는 가짜 뉴스가 포함될 수 있으며, AI는 이러한 내용을 완벽하게 걸러내지 못할 수 있습니다.
따라서 제공되는 정보에 일부 오류나 편향이 있을 수 있으므로, 중요한 정보는 반드시 다른 출처를 통해 교차 검증하시기 바랍니다.
문의하기 : help@durumis.com