맨위로가기

글루코스 6-포스파테이스

"오늘의AI위키"는 AI 기술로 일관성 있고 체계적인 최신 지식을 제공하는 혁신 플랫폼입니다.
"오늘의AI위키"의 AI를 통해 더욱 풍부하고 폭넓은 지식 경험을 누리세요.

1. 개요

글루코스 6-포스파테이스는 포도당 6-인산의 가수분해를 촉매하는 효소로, 주로 간, 콩팥 겉질, 췌장의 β 세포에서 발현된다. 이 효소는 두 가지 주요 형태, 즉 포도당 6-인산가수분해효소-α와 포도당 6-인산가수분해효소-β로 존재하며, 소포체 막에 위치한다. 포도당 6-인산가수분해효소의 돌연변이는 글리코겐 축적병 I형(폰 기르케병)과 선천성 호중구감소증과 같은 질병을 유발할 수 있으며, 바나듐 화합물은 이 효소를 억제하여 당뇨병 치료에 잠재적으로 활용될 수 있다.

더 읽어볼만한 페이지

글루코스 6-포스파테이스
일반 정보
CAS 등록번호'9001-39-2'
유전자 온톨로지'0004346'
다른 이름D-글루코스-6-인산 인산 가수 분해 효소
상세 정보
EC 번호'3.1.3.9'

2. 구조와 기능

포도당 6-인산가수분해효소는 소포체 막에 존재하는 효소로, 여러 소단위체로 구성될 수 있다. 이 효소는 포도당 6-인산을 포도당과 인산으로 가수분해하는 반응을 촉매한다. 많은 과학자들은 기질-수송 모델을 통해 포도당 6-인산가수분해효소의 촉매적 특성을 설명한다. 이 모델에 따르면, 포도당 6-인산가수분해효소는 낮은 정도의 선택성을 가지며, 포도당 6-인산의 전달은 수송체 단백질(T1)에 의해 수행된다. 소포체는 인산기(T2)와 포도당(T3)의 출구를 허용하는 구조를 포함한다.[29]

2. 1. 포도당 6-인산가수분해효소-α

포도당 6-인산가수분해효소-α는 357개의 아미노산으로 구성된 효소로, 9개의 막횡단 나선 구조를 통해 소포체에 고정되어 있다. 이 효소의 N-말단활성 부위는 소포체의 내강 쪽에 위치하고, C-말단세포질 쪽으로 돌출되어 있다. 서열 정렬을 통해 포도당 6-인산가수분해효소-α는 쿠르불라리아 이나에쿠알리스(''Curvularia inaequalis'')에서 발견되는 바나듐 함유 염화물 과산화효소의 활성 부위와 구조적으로 유사하다는 것이 밝혀졌다.[30]

포도당 6-인산가수분해효소-α의 활성 부위에는 다음과 같은 주요 잔기들이 관여한다.

잔기역할
Arg170인산에 수소 이온을 제공하여 전이 상태를 안정화[24]
Arg83인산에 수소 이온을 제공하여 전이 상태를 안정화[24]
His119포도당에 부착된 탈인산화된 산소에 양성자 제공[24]
His176인산에 대한 친핵성 공격을 완료하여 공유결합된 인산 효소 중간생성물 형성[24]



이 잔기들은 모두 소포체 막의 내강 쪽에 위치한다.[27] Lys76은 소포체 막 내에 존재하지만, 그 기능은 아직 명확하게 밝혀지지 않았다.[27]

2. 2. 포도당 6-인산가수분해효소-β

포도당 6-인산가수분해효소-β는 346개의 아미노산으로 구성된 막 단백질이며, 포도당 6-인산가수분해효소-α와 36%의 서열 상동성을 공유한다.[27] 서열 정렬을 통해 활성 부위가 His167, His114, Arg79를 포함하는 것으로 예측된다.[27] 포도당 6-인산가수분해효소-α의 활성 부위와 유사하게, His167은 친핵성 공격을 제공하는 잔기이고, His114 및 Arg79수소 이온 공여체이다.[27] 포도당 6-인산가수분해효소-β는 소포체 막에 국한되어 있지만, 그 배열 방향은 알려져 있지 않다.[27]

3. 메커니즘

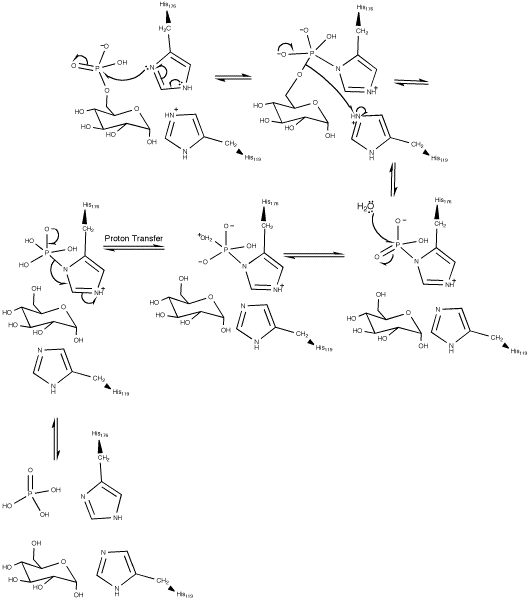
포도당 6-인산가수분해는 His176에 의한 당 결합 인산에 대한 친핵성 공격으로 시작되어 포스포히스티딘 결합의 형성과 카보닐기의 분해를 초래한다.[24] 음으로 하전된 산소는 전자를 전달하여 카보닐기를 재형성하고 포도당과의 결합을 끊는다. 음으로 하전된 포도당 결합 산소는 His119에 의해 양성자화되어 유리 포도당을 형성한다. His176과 인산기 사이의 반응에 의해 생성된 인산 중간생성물은 친수성 공격에 의해 분해된다. 다른 수산화물을 첨가하고 카보닐기를 분해한 후, 카보닐기는 원래 His176 잔기에 의해 공여된 전자를 방출하면서 개질되어 유리 인산기를 생성하고 가수분해를 완료한다.[24]

포도당 6-인산가수분해효소의 메커니즘. 포도당 6-인산의 탈인산화.

4. 발현

포도당 6-인산가수분해효소를 암호화하는 유전자는 주로 , 콩팥 겉질에서 발현되며 랑게르한스섬의 β 세포 및 장 점막(특히 기아 기간 동안)에서는 덜 발현된다.[29] 서홀트(Surholt)와 뉴스홈(Newsholme)에 따르면 포도당 6-인산가수분해효소는 매우 낮은 농도에도 불구하고 동물계의 다양한 근육에 존재한다.[31] 따라서 근육이 저장하는 글리코젠포도당 6-인산탈인산화되지 않는 한 근섬유막을 통과할 수 없기 때문에 일반적으로 나머지 신체 세포에서 사용할 수 없다. 포도당 6-인산가수분해효소는 단식 기간과 포도당 수치가 낮을 때 중요한 역할을 한다. 기아당뇨병은 간에서 포도당 6-인산가수분해효소의 활성을 2~3배 정도 증가시키는 것으로 나타났다.[29] 포도당 6-인산가수분해효소의 활성은 또한 생물체가 모체의 포도당 공급원으로부터 독립하게 되는 출생시에 극적으로 증가한다. 사람의 포도당 6-인산가수분해효소 유전자는 염색체 17q21에 위치한 DNA에 대략 125.5 kb로 걸쳐 있는 5개의 엑손을 포함한다.[32]

5. 임상적 중요성

포도당 6-인산가수분해효소의 돌연변이는 포도당 항상성 및 호중구 기능에 문제를 일으킬 수 있다. 포도당 6-인산가수분해효소 시스템의 돌연변이는 글리코젠 축적병 I형(폰 기르케병)과 선천성 호중구감소증과 관련이 있다.[33][34][35]

바나딜 설페이트와 같은 바나듐 화합물은 이 효소를 억제하여, 고인슐린혈증 클램프 기술로 평가했을 때 당뇨병 환자의 생체 내 인슐린 감수성을 증가시키는 것으로 나타났다. 이는 잠재적인 치료 의미를 가질 수 있다.[42][43]

5. 1. 글리코겐 축적병 I형 (폰 기르케병)

포도당 6-인산가수분해효소-α 또는 포도당 6-수송체(G6PT)의 돌연변이는 글리코젠 축적병 I형(폰 기르케병)을 유발한다.[35] 글리코젠 축적병 Ia형은 콩팥글리코젠지방이 축적되어 간비대 및 신장비대를 초래한다.[36] 글리코젠 축적병 Ib형은 G6PT의 결핍을 특징으로 한다.[37][38]

포도당 6-인산가수분해효소 결핍증의 다양한 요인들의 분석


글리코젠 축적병 Ia형은 임상적으로 나타나는 글리코젠 축적병 I형 사례의 약 80%를 차지하며, 넌센스 돌연변이, 해독틀의 이동이 있거나 없는 삽입/결실 또는 유전자 수준에서 일어나는 스플라이스 부위 돌연변이에서 비롯된다.[37][29] 과오 돌연변이는 포도당 6-인산가수분해효소-α의 두 개의 큰 내강 루프와 막횡단 나선에 영향을 주어 효소의 활성을 없애거나 크게 감소시킨다.[29]

글리코젠 축적병 Ib형은 임상적으로 존재하는 사례의 20%를 차지하며, G6PT의 결핍을 특징으로 하고, 스플라이스 부위 돌연변이, 틀이동 돌연변이 및 포도당 6-수송체(G6PT)의 활성을 완전히 파괴하는 고도로 보존된 잔기의 치환과 같은 심각한 돌연변이에서 비롯된다.[37][38][29] 이러한 돌연변이는 포도당 6-인산이 소포체 내강으로 이동하는 것을 방지하고 포도당 6-인산이 세포에서 사용되는 포도당으로 전환되는 것을 억제함으로써 글리코젠 축적병 I형의 발병을 초래한다.

5. 2. 선천성 호중구감소증

포도당 6-인산가수분해효소-β 결핍은 선천성 호중구감소증을 유발하며, 이는 호중구가 강화된 소포체 스트레스, 증가된 세포자멸사, 손상된 에너지 항상성 및 손상된 기능을 나타내는 것을 특징으로 한다.[39] 또한 심장비뇨생식기 기형을 유발할 수 있다.[40]

포도당 6-인산가수분해효소-β도 소포체 내강 내에 있기 때문에 이러한 유형의 결핍증은 포도당 6-수송체(G6PT) 결핍의 영향을 받을 수 있으며, 따라서 포도당 6-인산가수분해효소-β 결핍이 글리코젠 축적병 Ib형(GSD Ib)과 관련된 유사한 증상을 초래할 수 있다.[38] 최근 연구에서는 두 결핍 사이의 유사성을 확인하고, 비정상적인 글리코실화가 두 결핍 모두에서 발생함을 보여주었다.[41] 호중구의 글리코실화는 호중구의 활성에 큰 영향을 미치므로 선천적인 글리코실화 장애로도 분류할 수 있다.[41]

포도당 6-인산가수분해효소-β의 주요 기능은 호중구가 정상 기능을 유지하도록 재활용된 포도당을 세포질에 제공하는 것이다. 세포 내 포도당 수치가 감소하여 포도당 대 포도당 6-인산 비율이 붕괴되면 해당과정오탄당 인산 경로에 상당한 장애가 발생한다.[34] 세포 외부로부터 포도당 흡수가 충분하지 않으면 호중구 기능 장애가 발생한다.[34]

5. 3. 치료적 접근

바나듐 화합물(예: 황산 바나딜)은 글루코스 6-포스파테이스를 억제하여 당뇨병 환자의 인슐린 감수성을 증가시키는 것으로 나타났다.[42][43] 이는 고인슐린혈증 클램프 기술을 통해 확인되었으며, 잠재적인 치료법으로 활용될 가능성이 있다.

참조

[1] 논문 The glucose-6-phosphatase system http://www.biochemj.[...] 2002-03-15
[2] 서적 The Enzymes of biological membranes, 2nd edition Plenum Press
[3] 서적 Medical Physiology Elsevier
[4] 논문 Glucose-6-phosphatase catalytic subunit gene family 2009-10
[5] 논문 Histidine 167 is the phosphate acceptor in glucose-6-phosphatase-β forming a phosphohistidine enzyme intermediate during catalysis 2004-03
[6] 논문 In islet-specific glucose-6-phosphatase-related protein, the β cell antigenic sequence that is targeted in diabetes is not responsible for the loss of phosphohydrolase activity 2005-09
[7] 논문 The glucose-6-phosphatase system 2002-03
[8] 논문 Transmembrane topology of glucose-6-phosphatase 1998-03
[9] 논문 The catalytic center of glucose-6-phosphatase. HIS176 is the nucleophile forming the phosphohistidine-enzyme intermediate during catalysis 2002-09
[10] 논문 Maximum activities and properties of glucose 6-phosphatase in muscles from vertebrates and invertebrates. 1981-09-15
[11] 논문 Glycogen storage disease type Ia in Argentina: two novel glucose-6-phosphatase mutations affecting protein stability 2004-11
[12] 논문 Glycogen storage disease type I and glucose-6-phosphatase-β deficiency: etiology and therapy 2010-12
[13] 논문 Lack of glucose recycling between endoplasmic reticulum and cytoplasm underlies cellular dysfunction in glucose-6-phosphatase-β-deficient neutrophils in a congenital neutropenia syndrome 2010-10
[14] 서적 Biochemistry W.H. Freeman
[15] 논문 Glycogen Storage Disease Type I
[16] 논문 Type I glycogen storage diseases: disorders of the glucose-6-phosphatase complex 2002-03
[17] 논문 Glucose-6-phosphatase deficiency
[18] 논문 G-CSF improves murine G6PC3-deficient neutrophil function by modulating apoptosis and energy homeostasis 2011-04
[19] 논문 A syndrome with congenital neutropenia and mutations in G6PC3 2009-01
[20] 논문 G6PC3 mutations are associated with a major defect of glycosylation: a novel mechanism for neutrophil dysfunction 2011-07
[21] 웹사이트 Effects of vanadyl sulfate on carbohydrate and lipid metabolism in patients with non—insulin-dependent diabetes mellitus - Metabolism - Clinical and Experimental http://www.metabolis[...] 2015-06-16
[22] 논문 The potential effect of vanadium compounds on glucose-6-phosphatase 2013-01-01
[23] 논문 UCSF Chimera--a visualization system for exploratory research and analysis http://www.cgl.ucsf.[...] 2004-10
[24] 논문 The catalytic center of glucose-6-phosphatase. HIS176 is the nucleophile forming the phosphohistidine-enzyme intermediate during catalysis 2002-09
[25] 서적 The Enzymes of biological membranes, 2nd edition Plenum Press
[26] 논문 Glucose-6-phosphatase catalytic subunit gene family 2009-10
[27] 논문 Histidine 167 is the phosphate acceptor in glucose-6-phosphatase-β forming a phosphohistidine enzyme intermediate during catalysis 2004-03
[28] 논문 In islet-specific glucose-6-phosphatase-related protein, the β cell antigenic sequence that is targeted in diabetes is not responsible for the loss of phosphohydrolase activity 2005-09
[29] 논문 The glucose-6-phosphatase system 2002-03
[30] 논문 Transmembrane topology of glucose-6-phosphatase 1998-03
[31] 논문 Maximum activities and properties of glucose 6-phosphatase in muscles from vertebrates and invertebrates. 1981-09-15
[32] 논문 Glycogen storage disease type Ia in Argentina: two novel glucose-6-phosphatase mutations affecting protein stability 2004-11
[33] 논문 Glycogen storage disease type I and glucose-6-phosphatase-β deficiency: etiology and therapy 2010-12
[34] 논문 Lack of glucose recycling between endoplasmic reticulum and cytoplasm underlies cellular dysfunction in glucose-6-phosphatase-β-deficient neutrophils in a congenital neutropenia syndrome 2010-10
[35] 서적 Biochemistry https://archive.org/[...] W.H. Freeman
[36] 논문 Glycogen Storage Disease Type I
[37] 논문 Type I glycogen storage diseases: disorders of the glucose-6-phosphatase complex 2002-03
[38] 논문 Glucose-6-phosphatase deficiency
[39] 논문 G-CSF improves murine G6PC3-deficient neutrophil function by modulating apoptosis and energy homeostasis 2011-04
[40] 논문 A syndrome with congenital neutropenia and mutations in G6PC3 2009-01
[41] 논문 G6PC3 mutations are associated with a major defect of glycosylation: a novel mechanism for neutrophil dysfunction 2011-07
[42] 웹인용 Effects of vanadyl sulfate on carbohydrate and lipid metabolism in patients with non—insulin-dependent diabetes mellitus - Metabolism - Clinical and Experimental http://www.metabolis[...] 2015-06-16
[43] 논문 The potential effect of vanadium compounds on glucose-6-phosphatase 2013-01-01
[44] 논문 UCSF Chimera--a visualization system for exploratory research and analysis http://www.cgl.ucsf.[...] 2004-10



본 사이트는 AI가 위키백과와 뉴스 기사,정부 간행물,학술 논문등을 바탕으로 정보를 가공하여 제공하는 백과사전형 서비스입니다.
모든 문서는 AI에 의해 자동 생성되며, CC BY-SA 4.0 라이선스에 따라 이용할 수 있습니다.
하지만, 위키백과나 뉴스 기사 자체에 오류, 부정확한 정보, 또는 가짜 뉴스가 포함될 수 있으며, AI는 이러한 내용을 완벽하게 걸러내지 못할 수 있습니다.
따라서 제공되는 정보에 일부 오류나 편향이 있을 수 있으므로, 중요한 정보는 반드시 다른 출처를 통해 교차 검증하시기 바랍니다.

문의하기 : help@durumis.com