리불로스 5-인산 3-에피머화효소
"오늘의AI위키"의 AI를 통해 더욱 풍부하고 폭넓은 지식 경험을 누리세요.
1. 개요
리불로스 5-인산 3-에피머화효소(D-리불로스 5-인산 3-에피머화효소)는 이성질화효소 계열에 속하는 효소로, D-리불로스 5-인산을 D-자일룰로스 5-인산으로 전환하는 반응을 촉매한다. 이 효소는 캘빈 회로와 오탄당 인산 경로에 관여하며, 캘빈 회로에서는 리불로스 1,5-이중인산의 재생에, 오탄당 인산 경로에서는 다양한 당류와 전구체의 생산에 기여한다. 효소는 금속 이온을 보조 인자로 사용하며, (β/α)8 삼탄당 인산 이성질화효소 배럴 구조를 가진다. 리불로스 5-인산 3-에피머화효소는 말라리아 원충의 시킴산 경로에 관여하여 항말라리아제 개발의 표적이 될 수 있다.
더 읽어볼만한 페이지
- 구조가 알려진 효소 - 젖산 탈수소효소
젖산 탈수소효소(LDH)는 피루브산을 젖산으로 또는 그 역반응을 촉매하는 효소로, 해당 과정과 코리 회로에서 작용하며, 5가지 동질효소 형태로 존재하고, 혈청 내 수치는 조직 손상 지표로 사용되며, 암세포 에너지 대사 및 유전 질환과도 관련되어 그 기능과 관련 질환에 대한 연구가 지속적으로 진행되고 있다. - 구조가 알려진 효소 - 유비퀴논:사이토크롬 c 산화환원효소
유비퀴놀:사이토크롬 c 산화환원효소는 유비퀴놀 산화와 시토크롬 c 환원을 촉매하는 효소로, 척추동물에서는 11개의 소단위체로 구성되어 미토콘드리아 내막에서 전자 전달을 통해 ATP 생산과 양성자 기울기 형성에 기여한다. - 위키백과 특수 효과용 - 찰리 채플린
찰리 채플린은 런던 빈민가 출신으로 뛰어난 코미디 연기와 영화 연출로 세계적인 명성을 얻었으며, "작은 방랑자" 캐릭터, 슬랩스틱 코미디, 판토마임 연기, 사회 비판적 메시지, 매카시즘 시대의 탄압, 아카데미 명예상 수상 등으로 대표되는 파란만장한 삶을 살았던 영국의 배우이자 영화 감독이다. - 위키백과 특수 효과용 - 1996년 하계 올림픽
1996년 하계 올림픽은 미국 애틀랜타에서 개최되어 26개 종목 271개 세부 종목으로 구성, 197개국이 참가했으나, 센테니얼 올림픽 공원 폭탄 테러 사건과 재정적 성공, 도시 인프라 개선이라는 양면성을 남겼다.
2. 명명법
리불로스 5-인산 3-에피머화효소의 계통명은 D-리불로스 5-인산 3-에피머화효소(D-ribulose-5-phosphate 3-epimerase|디-리불로스-파이브-포스페이트 쓰리-에피머레이스eng)이다. 다음은 일반적으로 사용되는 다른 이름들이다.
- 포스포리불로스 에피머화효소
- 에리트로스 4-인산 이성질화효소
- 포스포케토펜토스 3-에피머화효소
- 자일룰로스 인산 3-에피머화효소
- 포스포케토펜토스 에피머화효소
- 리불로스 5-인산 3-에피머화효소
- D-리불로스 인산 3-에피머화효소
- D-리불로스 5-인산 에피머화효소
- D-리불로스 5-P 3-에피머화효소
- D-자일룰로스 5-인산 3-에피머화효소
- 펜토스 5-인산 3-에피머화효소
3. 패밀리
리불로스 5-인산 3-에피머화효소는 크게 두 가지 단백질 패밀리로 분류할 수 있다. 먼저, 이 효소는 이성질화효소 계열에 속하며, 그중에서도 특히 탄수화물과 그 유도체에 작용하는 라세미화효소와 에피머화효소로 분류된다.[22][5] 또한, 단백질 입체구조 분류 데이터베이스(SCOP)는 이 에피머화효소가 속하는 "리불로스 인산 결합" 슈퍼패밀리를 정의했다.[22][5] 이 슈퍼패밀리에는 리불로스 5-인산 3-에피머화효소 외에도 5'-일인산 탈카복실화효소(OMPDC)와 3-케토-1-굴론산 6-인산 탈카복실화효소(KGPDC)가 포함된다.
4. 구조
결정학적 연구에 따르면 리불로스 5-인산 3-에피머화효소는 용액 내에서 동종이량체로 존재한다.[6][7] 또한, 이 효소는 (β/α)8 삼탄당 인산 이성질화효소 (TIM) 배럴 구조로 접히며, 이 구조에는 여러 루프가 포함되어 있다.[2] TIM 배럴의 핵심부는 중앙 β-시트를 구성하는 8개의 평행한 가닥으로 이루어져 있으며, 연속된 가닥 사이에는 α-나선이 위치한다.[19] 이 구조의 루프는 기질 특이성을 조절하는 데 중요한 역할을 한다. 특히, α6 나선과 β6 가닥을 연결하는 루프는 기질이 결합할 때 활성 부위를 덮는 것으로 알려져 있다.[2][19]
리불로스 5-인산 3-에피머화효소는 기능을 위해 보조 인자가 필요한 금속 효소이며, 각 소단위체당 하나의 2가 금속 양이온과 결합한다.[8][25] 이 효소는 주로 Zn2+를 사용하여 촉매 작용을 수행하지만, Co2+나 Mn2+도 사용할 수 있다.[2][19] 그러나 RPE 유전자에 의해 암호화되는 사람의 리불로스 5-인산 3-에피머화효소는 주로 Fe2+와 결합하여 촉매 작용을 한다는 점에서 차이가 있다. 이 Fe2+는 팔면체 형태로 배위되어 반응 중간체인 2,3-엔다이올레이트를 안정화시키는 역할을 한다.[2][19]
2007년 말을 기준으로, 이 효소 종류에 대해 4개의 3차 구조가 밝혀졌으며, PDB 등록 코드는 1H1Y, 1H1Z, 1RPX, 1TQJ이다.
4. 1. 활성 부위
β6/α6 루프 영역은 기질과 상호작용하고 활성 부위에 대한 접근을 조절한다. 이 영역의 Phe147, Gly148, Ala149는 일단 결합이 일어나면 활성 부위를 덮는다. 또한 Fe2+는 His35, His70, Asp37, Asp175 및 기질의 산소종인 O2와 O3에 배위된다.[19] 철 양이온과 기질 원자의 결합은 촉매 작용 동안 복합체를 안정화시키는 데 도움이 된다. 돌연변이 유발 연구에 따르면 두 개의 아스파르트산(Asp37, Asp175)이 활성 부위에 위치하며 1,1-양성자 전달 반응을 통한 촉매 작용을 매개하는 데 도움을 주는 것으로 나타났다.[22] 아스파르트산은 산/염기 촉매이다. 마지막으로 리간드가 활성 부위에 부착되면 일련의 메티오닌(Met39, Met72, Met141)이 수축을 통해 추가적인 이동을 제한한다.[26]5. 메커니즘

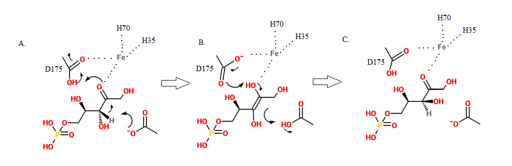
리불로스 5-인산 3-에피머화효소는 산/염기 촉매 메커니즘을 사용한다. 이 반응은 트랜스-2,3-엔다이올 인산 중간생성물을 거쳐 진행된다.[27][28] 활성 부위에 위치한 두 개의 아스파르트산 잔기, Asp37과 Asp175는 각각 양성자 공여체와 수용체 역할을 수행하며, 이들은 철 양이온과 수소 결합을 형성하고 있다.[19]
반응 메커니즘은 다음과 같다. 먼저 Asp37 잔기가 탈양성자화된 상태에서 기질인 리불로스 5-인산(D-ribulose 5-phosphate)의 3번 탄소(C3)에 결합된 양성자를 제거한다. 이 과정에서 2,3-트랜스-엔다이올 인산 중간생성물이 형성된다.[29] 동시에 기질의 카보닐기 산소는 Asp175 잔기로부터 양성자를 받아 하이드록실기를 형성한다. 활성 부위에 존재하는 철 착물은 반응 과정에서 발생하는 전하를 안정화시키는 역할을 한다. 이러한 에피머화 과정을 통해 리불로스 5-인산의 C3 입체 배열이 반전되어 최종 생성물인 자일룰로스 5-인산(D-xylulose 5-phosphate)이 생성된다.[26] 이 전체 메커니즘은 제시된 그림을 통해 시각적으로 확인할 수 있다.
6. 기능
리불로스 5-인산 3-에피머화효소는 오탄당 인산 경로, 오탄당과 글루콘산 간의 상호전환, 탄소 고정의 3가지 대사 경로에 참여한다.
6. 1. 캘빈 회로
식물에 대한 전자현미경 관찰 실험 결과, 리불로스 5-인산 3-에피머화효소는 엽록체의 틸라코이드 막에 국한되어 존재하는 것으로 나타났다.[30][13] 이 효소는 리불로스 1,5-이중인산(RuBP)의 재생을 포함하는 캘빈 회로의 세 번째 단계에 참여한다. RuBP는 캘빈 회로의 첫 번째 단계에서 이산화 탄소(CO2)의 수용체 역할을 하므로, 리불로스 5-인산 3-에피머화효소는 캘빈 회로를 통한 대사 흐름 조절에 중요한 역할을 한다. 리불로스 1,5-이중인산이 재생되지 않으면 캘빈 회로가 지속될 수 없다. 따라서 리불로스 5-인산 3-에피머화효소는 자일룰로스 5-인산을 리불로스 5-인산으로 가역적으로 전환시킨다. 이후 포스포리불로키네이스가 리불로스 5-인산을 리불로스 1,5-이중인산으로 전환시킨다.[29][12]6. 2. 오탄당 인산 경로
오탄당 인산 경로는 세포질에서 진행된다. 리불로스 5-인산 3-에피머화효소는 이 경로의 비산화적 단계에 관여하여 다양한 당류와 전구체 생산에 영향을 미친다.[2] 이 효소는 리불로스 5-인산을 자일룰로스 5-인산으로 전환하는데, 자일룰로스 5-인산은 트랜스케톨레이스 효소 반응에 필요한 에피머이다.[12] 오탄당 인산 경로의 반응 중 일부는 캘빈 회로 반응과 유사한 역과정으로 진행된다.리불로스 5-인산 3-에피머화효소는 오탄당 인산 경로에 참여함으로써 산화 스트레스에 대한 세포의 방어 작용에 중요한 역할을 한다.[2] 오탄당 인산 경로는 NADPH를 생성하는데, 이는 활성 산소와 같은 유해 물질로부터 세포를 보호하는 데 필수적이다. NADPH는 글루타티온을 환원된 상태로 유지시키며, 환원된 글루타티온은 해로운 과산화 수소(H2O2)를 물로 전환시켜 세포를 보호한다.[2] 결과적으로 리불로스 5-인산 3-에피머화효소는 오탄당 인산 경로의 대사 흐름을 조절하고 과산화물 축적을 막는 데 기여한다.
7. 진화
많은 리불로스 5-인산 3-에피머화효소 유사체들의 구조는 결정학 연구를 통해 밝혀졌다.[31][32][14][15] 이 효소는 캘빈 회로와 오탄당 인산 경로에서 중요한 역할을 하기 때문에 전체적인 구조가 잘 보존되어 있다. 진화적으로 거리가 먼 생물들의 서열을 비교했을 때에도 50% 이상의 유사성이 관찰된다.[33][16] 그러나 많은 분자 간 상호작용에 관여하는 단백질 이량체 계면에 위치한 아미노산이 반드시 보존되는 것은 아니다. "리불로스 인산 결합" 슈퍼패밀리의 구성원은 조상의 (β/α)8 배럴로부터 발산 진화한 결과로 여겨진다.[22][5]
8. 약물 표적화 및 말라리아
원생생물인 열대열 말라리아 원충(''Plasmodium falciparum'')은 말라리아의 주요 원인체이다.[17] 리불로스 5-인산 3-에피머화효소는 말라리아 원충의 증식에 필수적인 시킴산 경로에 관여한다.[34][17] 이 효소는 리불로스 5-인산을 자일룰로스 5-인산으로 전환시킨다.[34] 생성된 자일룰로스 5-인산은 리보스 5-인산과 함께 트랜스케톨레이스에 의해 글리세르알데하이드 3-인산과 세도헵툴로스 7-인산으로 전환되고, 이어서 트랜스알돌레이스에 의해 에리트로스 4-인산과 과당 6-인산으로 전환된다.[34] 시킴산 경로에서는 에리트로스 4-인산을 기질로 사용하여 코리슴산을 합성한다.[34][17] 리불로스 5-인산 3-에피머화효소는 ''열대열 말라리아 원충''이 에리트로스 4-인산을 기질로 사용할 수 있게 해준다.[17] 따라서 시킴산 경로에서의 중요한 역할 때문에 리불로스 5-인산 3-에피머화효소는 항말라리아제 개발을 위한 잠재적인 약물 표적으로 주목받고 있다.[34][17]
참조
[1]
웹사이트
"''RPE'' Gene - Ribulose-5-Phosphate-3-Epimerase"
https://www.genecard[...]
2024-04-03
[2]
논문
Conversion of D-ribulose 5-phosphate to D-xylulose 5-phosphate: new insights from structural and biochemical studies on human RPE
2011-02
[3]
논문
Evidence for a pentose phosphate pathway in Helicobacter pylori
[4]
논문
The Calvin cycle enzyme pentose-5-phosphate 3-epimerase is encoded within the cfx operons of the chemoautotroph Alcaligenes eutrophus
1992-11
[5]
논문
D-Ribulose 5-phosphate 3-epimerase: functional and structural relationships to members of the ribulose-phosphate binding (beta/alpha)8-barrel superfamily
2006-02
[6]
논문
D-Ribulose-5-phosphate 3-epimerase: cloning and heterologous expression of the spinach gene, and purification and characterization of the recombinant enzyme
1998-09
[7]
논문
Purification, properties and assay of D-ribulose 5-phosphate 3-epimerase from human erythrocytes
1983-06
[8]
웹사이트
Ribulose-phosphate 3-epimerase
https://www.uniprot.[...]
2013-03-06
[9]
논문
Structure and catalytic mechanism of the cytosolic D-ribulose-5-phosphate 3-epimerase from rice
2003-02
[10]
서적
Biochemistry
Academic Publishers
[11]
논문
On the mechanism of the pentose phosphate epimerases
http://www.jbc.org/c[...]
1972-09
[12]
서적
Biochemistry
WH Freeman and Company
[13]
논문
Identification of a catalytic aspartyl residue of D-ribulose 5-phosphate 3-epimerase by site-directed mutagenesis
1999-01
[14]
논문
Cloning of the amphibolic Calvin cycle/OPPP enzyme D-ribulose-5-phosphate 3-epimerase (EC 5.1.3.1) from spinach chloroplasts: functional and evolutionary aspects
1995-12
[15]
논문
Structure of D-ribulose 5-phosphate 3-epimerase from Synechocystis to 1.6 A resolution
2004-09
[16]
논문
Chloroplast pentose-5-phosphate 3-epimerase from potato: cloning, cDNA sequence, and tissue-specific enzyme accumulation
1995-12
[17]
논문
Structure of a ribulose 5-phosphate 3-epimerase from Plasmodium falciparum
2006-02
[18]
논문
The Calvin cycle enzyme pentose-5-phosphate 3-epimeras
[19]
논문
Conversion of D-ribulose 5-phosphate to D-xylulose 5-phosphate: new insights from structural and biochemical studies on human RPE
https://archive.org/[...]
2011-02
[20]
논문
Evidence for a pentose phosphate pathway in Helicobacter pylori
[21]
논문
The Calvin cycle enzyme pentose-5-phosphate 3-epimerase is encoded within the cfx operons of the chemoautotroph Alcaligenes eutrophus
https://archive.org/[...]
1992-11
[22]
논문
D-Ribulose 5-phosphate 3-epimerase: functional and structural relationships to members of the ribulose-phosphate binding (beta/alpha)8-barrel superfamily
2006-02
[23]
논문
D-Ribulose-5-phosphate 3-epimerase: cloning and heterologous expression of the spinach gene, and purification and characterization of the recombinant enzyme
https://archive.org/[...]
1998-09
[24]
논문
Purification, properties and assay of D-ribulose 5-phosphate 3-epimerase from human erythrocytes
1983-06
[25]
웹인용
Ribulose-phosphate 3-epimerase
https://www.uniprot.[...]
2013-03-06
[26]
논문
Structure and catalytic mechanism of the cytosolic D-ribulose-5-phosphate 3-epimerase from rice
2003-02
[27]
서적
Biochemistry
Academic Publishers
[28]
논문
On the mechanism of the pentose phosphate epimerases
http://www.jbc.org/c[...]
1972-09
[29]
서적
Biochemistry
WH Freeman and Company
[30]
논문
Identification of a catalytic aspartyl residue of D-ribulose 5-phosphate 3-epimerase by site-directed mutagenesis
1999-01
[31]
논문
Cloning of the amphibolic Calvin cycle/OPPP enzyme D-ribulose-5-phosphate 3-epimerase (EC 5.1.3.1) from spinach chloroplasts: functional and evolutionary aspects
https://archive.org/[...]
1995-12
[32]
논문
Structure of D-ribulose 5-phosphate 3-epimerase from Synechocystis to 1.6 A resolution
2004-09
[33]
논문
Chloroplast pentose-5-phosphate 3-epimerase from potato: cloning, cDNA sequence, and tissue-specific enzyme accumulation
1995-12
[34]
논문
Structure of a ribulose 5-phosphate 3-epimerase from Plasmodium falciparum
2006-02
본 사이트는 AI가 위키백과와 뉴스 기사,정부 간행물,학술 논문등을 바탕으로 정보를 가공하여 제공하는 백과사전형 서비스입니다.
모든 문서는 AI에 의해 자동 생성되며, CC BY-SA 4.0 라이선스에 따라 이용할 수 있습니다.
하지만, 위키백과나 뉴스 기사 자체에 오류, 부정확한 정보, 또는 가짜 뉴스가 포함될 수 있으며, AI는 이러한 내용을 완벽하게 걸러내지 못할 수 있습니다.
따라서 제공되는 정보에 일부 오류나 편향이 있을 수 있으므로, 중요한 정보는 반드시 다른 출처를 통해 교차 검증하시기 바랍니다.
문의하기 : help@durumis.com
