트랜스케톨레이스
"오늘의AI위키"의 AI를 통해 더욱 풍부하고 폭넓은 지식 경험을 누리세요.
1. 개요
트랜스케톨레이스는 세균, 식물, 포유류 등 다양한 생물에서 발견되는 효소로, 오탄당 인산 경로에 관여하여 탄소 원자를 이동시키는 반응을 촉매한다. 사람에게는 TKT, TKTL1, TKTL2 유전자에 의해 암호화되는 단백질이 트랜스케톨레이스 활성을 가진다. 효소의 활성 부위는 특정 아미노산으로 구성되어 기질의 입체배치에 따라 특이적으로 결합하며, 티아민 피로인산을 보조 인자로 사용한다. 트랜스케톨레이스 활성은 티아민 결핍 시 감소하며, 각기병, 베르니케-코르사코프 증후군 등의 질병과 관련이 있다. 적혈구 내 트랜스케톨레이스 활성 측정은 티아민 결핍 진단에 활용될 수 있다.
더 읽어볼만한 페이지
- EC 2.2.1 - 트랜스알돌레이스
트랜스알돌레이스는 NADPH와 리보스를 생성하여 환원적 생합성, ATP, DNA, RNA 합성에 필수적인 효소이며, TALDO1 유전자 돌연변이는 트랜스알돌레이스 결핍을 초래하고, 다발성 경화증 환자에게서는 자가면역 반응의 표적이 될 수 있으며, 암, 당뇨병, 비만 등 다양한 질병과의 연관성 연구 및 대사 질환 치료제 개발 연구가 진행 중이다. - 인간 3번 염색체상 유전자 - 노화
노화는 출생에서 사망까지의 전 과정으로 신체적, 정신적 변화를 포함하며, 유전적, 환경적 요인에 의해 발생하는 다양한 분자 및 세포 수준의 특징을 보이는 복잡한 과정이다. - 인간 3번 염색체상 유전자 - 트랜스페린
트랜스페린은 척추동물 체액 내 당단백질로, 3가 철 이온을 운반하며 간에서 주로 합성되지만 다른 조직에서도 생성되어 철 항상성 유지, 철 결핍 및 과부하 진단, 뇌 질환 치료 약물 전달체 연구에 활용된다. - 광합성 - 멜빈 캘빈
멜빈 캘빈은 광합성 과정의 탄소 고정 경로를 밝혀 1961년 노벨 화학상을 수상한 미국의 화학자로, 캘빈 순환을 규명하고 화학 생역학 연구소 설립, NASA 협력 등을 통해 과학 발전에 기여했다. - 광합성 - 명반응
명반응은 엽록체 틸라코이드 막에서 광계 II와 I을 통해 빛 에너지를 이용하여 ATP와 NADPH를 합성하고 물을 광분해하여 산소를 발생시키는 광합성의 첫 번째 단계이다.
| 트랜스케톨레이스 | |
|---|---|
| 일반 정보 | |
| EC 번호 | 2.2.1.1 |
| CAS 번호 | 9014-48-6 |
| GO 코드 | 0004802 |
| 단백질 정보 | |
| 이름 | 트랜스케톨레이스 |
![]() | |
| HGNC ID | 11834 |
| 심볼 | TKT |
| 대체 심볼 | 해당사항 없음 |
| 앙트레즈 유전자 | 7086 |
| OMIM | 606781 |
| RefSeq | NM_001064 |
| UniProt | P29401 |
| PDB | 해당사항 없음 |
| EC 번호 | 2.2.1.1 |
| 염색체 | 3 |
| 팔 | p |
| 밴드 | 14.3 |
| 로커스 추가 정보 | 해당사항 없음 |
2. 생물종에서의 분포
트랜스케톨레이스는 세균, 식물, 포유류를 비롯한 다양한 생물들에서 광범위하게 발현된다. 사람에서 트랜스케톨레이스 활성을 가지고 있는 단백질을 암호화하는 유전자는 다음과 같다.
- TKT (트랜스케톨레이스)
- TKTL1 (트랜스케톨레이스 유사 단백질 1)
- TKTL2 (트랜스케톨레이스 유사 단백질 2)
3. 구조
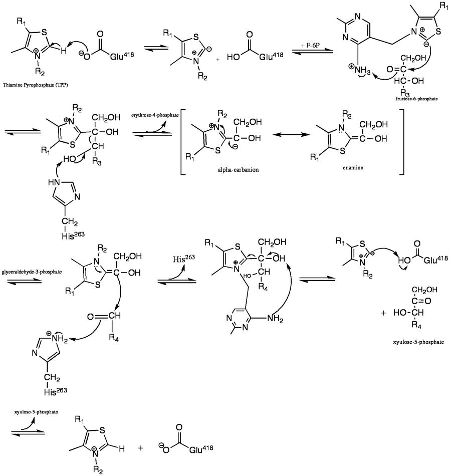
트랜스케톨레이스의 활성 부위 입구는 여러 개의 아르기닌, 히스티딘, 세린, 아스파르트산 곁사슬로 구성되어 있으며, 글루탐산 곁사슬이 보조적인 역할을 한다.[15] Arg359, Arg528, His469, Ser386 곁사슬은 트랜스케톨레이스 효소 내에 보존되며, 공여체 및 수용체 기질의 인산기와 상호작용한다.[15] 기질 통로는 좁기 때문에 공여체와 수용체 기질은 동시에 결합할 수 없고, 기질은 활성 부위에 결합할 때 약간 확장된 형태로 순응한다.
트랜스케톨레이스는 케토스 및 알도스, 과당, 리보스 등을 포함하는 다양한 기질과 결합할 수 있지만, 당의 하이드록실기의 입체배치에 대해 높은 특이성을 가진다.[15] 케토스 공여체의 3번 탄소(C3) 및 4번 탄소(C4)의 하이드록실기는 D-트레오 입체배치이어야 하며,[15] Asp477, His30, His263 잔기와 상호작용하여 활성 부위의 기질을 안정화시킨다.
His263은 과당 6-인산으로부터 2탄소 부분을 절단하고,[16] 에리트로스 4-인산을 생성할 수 있게 돕는다. 이 과정에 필요한 보조 인자는 티아민 피로인산(TPP)이며, 효소는 활성 부위에 두 개의 유연한 루프를 가지고 있어서 TPP에 접근하고 결합할 수 있다.[15]
히스티딘 및 아스파르트산 곁사슬은 활성 부위 내에서 기질을 안정화시키고 기질의 탈양성자화에 참여한다. His263과 His30 곁사슬은 기질의 알데하이드 말단과 수소 결합을 형성하고, Asp477은 기질의 알파 하이드록실기와 수소 결합을 형성한다. Glu418은 티아민 피로인산(TPP) 보조 인자를 안정화시키는 데 중요한 역할을 한다.[15]
기질의 인산기는 Arg359, Arg528, His469 및 Ser386 잔기 사이의 이온 결합 및 극성 상호작용을 통해 활성 부위에서 기질을 안정화시킨다.[15]
4. 메커니즘
이 메커니즘의 촉매 작용은 티아졸리움 고리에서 티아민 피로인산의 탈양성자화에 의해 시작된다.[15] 이 카바니온은 공여체 기질의 카보닐기와 결합하여 C2와 C3 사이의 결합을 절단한다. 이 케토 절편은 티아민 피로인산의 C2 탄소에 공유 결합된 상태로 남아 있다. 그런 다음 공여체 기질이 방출되고 수용체 기질은 중간생성물 α-β-다이하이드록시에틸 티아민 피로인산과 결합된 절편이 수용체로 전달되는 활성 부위로 들어간다.[15]
기질의 인산기와 상호작용하는 Arg359, Arg528, His469와 같은 활성 부위 입구의 아미노산을 알라닌으로 대체하는 효과를 시험하는 실험도 수행되었다. 이러한 대체는 촉매 활성이 손상된 돌연변이체 효소를 생성한다.[15]
5. 질병에서의 역할
트랜스케톨레이스 활성은 일반적으로 영양실조로 인한 티아민 결핍으로 인해 감소한다.[17] 티아민 결핍과 관련된 질병에는 각기병, 바이오틴-티아민 반응성 기저핵 질환 (BTBGD),[5] 베르니케-코르사코프 증후군 등이 있다.
베르니케-코르사코프 증후군에서는 돌연변이가 증명되지 않았지만,[6][18] 티아민 결핍이 티아민에 대한 친화력이 감소된 트랜스케톨레이스를 가진 사람에게만 베르니케-코르사코프 증후군을 유발한다는 징후가 있다.[7][19] 이와 같은 방식으로 트랜스케톨레이스의 활성은 크게 저해되며, 결과적으로 전체 오탄당 인산 경로가 억제된다.[8][20]
트랜스케톨레이스 결핍증은 단신, 발달 지연 및 선천성 심장 결함(SDDHD, Short Stature, Developmental Delay, and congenital Heart Defects)로도 알려져 있으며, TKT 유전자의 상염색체 열성 돌연변이로 인해 발생하는 오탄당 인산 경로 대사 과정의 드문 장애이다.[9][21] 이것은 발달 지연 및 지적 장애, 언어 지연 또는 부재, 단신 및 선천성 심장 결함을 포함하며, 유아기에 명백한 증상을 보인다. 추가로 보고된 특징으로는 저긴장증, 과잉행동, 상동적 행동, 안과적 이상, 청력 손상, 다양한 안면 기형 등이 있다. 실험실 분석 결과 혈장 및 오줌에서 폴리올(에리트리톨, 아라비톨 및 리비톨) 및 요당-인산(리보스 5-인산 및 자일룰로스/리불로스 5-인산)이 증가한 것으로 나타났다.[9][21] 5명의 모든 환자로부터 얻은 세포 추출물은 잔류 트랜스케톨레이스 활성이 없거나 낮은 것으로 나타났다. 보일(Boyle) 등(2016년)은 필수적인 효소임에도 불구하고 트랜스케톨레이스 결핍이 생명과 직결되지 않는 이유를 동일한 기능을 가지는 다른 단백질에서 유래했을 가능성이 있는 일부 조직의 낮은 트랜스케톨레이스 활성으로 설명할 수 있다고 제안했다.[10][22]
6. 진단
적혈구의 트랜스케톨레이스 활성은 티아민(비타민 B1)의 결핍시 감소되며, 진단이 의심스러운 경우 베르니케 뇌병증 및 기타 비타민 B1 결핍 증후군의 진단에 사용될 수 있다.[23][11] 기준선 효소 활성(결핍 상태에서도 정상일 수 있음)과는 별도로 티아민 피로인산의 첨가한 후 효소 활성의 가속화는 티아민 결핍(0~15%는 정상, 15~25%는 결핍, 25% 초과는 심각한 결핍)으로 진단될 수 있다.[24][12]
참조
[1]
웹사이트
"'TKT' Gene - Transketolase"
https://www.genecard[...]
2023-05-31
[2]
논문
Transketolase gene expression in the cornea is influenced by environmental factors and developmentally controlled events
2000-11
[3]
논문
Examination of substrate binding in thiamin diphosphate-dependent transketolase by protein crystallography and site-directed mutagenesis
1997-01
[4]
논문
Identification of catalytically important residues in yeast transketolase
1997-12
[5]
서적
GeneReviews
https://www.ncbi.nlm[...]
University of Washington, Seattle
2020-08
[6]
논문
Cloning of human transketolase cDNAs and comparison of the nucleotide sequence of the coding region in Wernicke-Korsakoff and non-Wernicke-Korsakoff individuals
http://www.jbc.org/c[...]
1993-01
[7]
논문
Abnormality of a thiamine-requiring enzyme in patients with Wernicke-Korsakoff syndrome
1977-12
[8]
서적
Lehninger principles of biochemistry
https://archive.org/[...]
W.H. Freeman
[9]
웹사이트
Orphanet: Transketolase deficiency
https://www.orpha.ne[...]
2023-03-20
[10]
웹사이트
"# 617044 - SHORT STATURE, DEVELOPMENTAL DELAY, AND CONGENITAL HEART DEFECTS; SDDHD - Alternative titles; symbols - TRANSKETOLASE DEFICIENCY - TKT DEFICIENCY"
https://www.omim.org[...]
2023-03-20
[11]
논문
A NADH-dependent transketolase assay in erythrocyte hemolysates
1971-07
[12]
논문
Improved measurement of transketolase activity in the assessment of "TPP effect"
1995-07
[13]
논문
Transketolase gene expression in the cornea is influenced by environmental factors and developmentally controlled events
[14]
논문
Transketolase gene expression in the cornea is influenced by environmental factors and developmentally controlled events
2000-11
[15]
논문
Examination of substrate binding in thiamin diphosphate-dependent transketolase by protein crystallography and site-directed mutagenesis
1997-01
[16]
논문
Identification of catalytically important residues in yeast transketolase
1997-12
[17]
서적
GeneReviews
https://www.ncbi.nlm[...]
University of Washington, Seattle
2020-08
[18]
논문
Cloning of human transketolase cDNAs and comparison of the nucleotide sequence of the coding region in Wernicke-Korsakoff and non-Wernicke-Korsakoff individuals
http://www.jbc.org/c[...]
1993-01
[19]
논문
Abnormality of a thiamine-requiring enzyme in patients with Wernicke-Korsakoff syndrome
1977-12
[20]
서적
Lehninger principles of biochemistry
https://archive.org/[...]
W.H. Freeman
[21]
웹인용
Orphanet: Transketolase deficiency
https://www.orpha.ne[...]
2023-03-20
[22]
웹인용
"# 617044 - SHORT STATURE, DEVELOPMENTAL DELAY, AND CONGENITAL HEART DEFECTS; SDDHD - Alternative titles; symbols - TRANSKETOLASE DEFICIENCY - TKT DEFICIENCY"
https://www.omim.org[...]
2023-03-20
[23]
논문
A NADH-dependent transketolase assay in erythrocyte hemolysates
1971-07
[24]
논문
Improved measurement of transketolase activity in the assessment of "TPP effect"
1995-07
본 사이트는 AI가 위키백과와 뉴스 기사,정부 간행물,학술 논문등을 바탕으로 정보를 가공하여 제공하는 백과사전형 서비스입니다.
모든 문서는 AI에 의해 자동 생성되며, CC BY-SA 4.0 라이선스에 따라 이용할 수 있습니다.
하지만, 위키백과나 뉴스 기사 자체에 오류, 부정확한 정보, 또는 가짜 뉴스가 포함될 수 있으며, AI는 이러한 내용을 완벽하게 걸러내지 못할 수 있습니다.
따라서 제공되는 정보에 일부 오류나 편향이 있을 수 있으므로, 중요한 정보는 반드시 다른 출처를 통해 교차 검증하시기 바랍니다.
문의하기 : help@durumis.com
