맨위로가기

상태 공간 (제어)

"오늘의AI위키"는 AI 기술로 일관성 있고 체계적인 최신 지식을 제공하는 혁신 플랫폼입니다.
"오늘의AI위키"의 AI를 통해 더욱 풍부하고 폭넓은 지식 경험을 누리세요.

1. 개요

상태 공간(제어)은 시스템의 상태를 나타내는 변수들의 집합을 활용하여 시스템의 동적 특성을 수학적으로 표현하는 방법이다. 상태 변수는 시스템의 미래 거동 예측에 사용되며, 선형 시불변 시스템의 안정성은 고유값, 전달 함수, 특성 다항식 등을 통해 분석된다. 가제어성은 시스템의 상태 제어 능력을, 가관측성은 시스템의 내부 상태 추정 능력을 나타내며, 상태 공간 모델은 전달 함수로 변환될 수 있다. 시스템 안정성은 BIBO, 랴푸노프, 점근 안정성 등으로 정의되며, 피드백 제어는 시스템의 성능 향상에 기여한다. 뉴턴의 운동 법칙을 이용한 움직이는 물체의 상태 공간 모델 예시와 비선형 시스템의 진자 예시를 통해 다양한 시스템의 상태 공간 모델링과 분석 방법을 설명한다.

더 읽어볼만한 페이지

  • 시간 영역 분석 - 선형 시불변 시스템
    선형 시불변 시스템은 선형성과 시불변성을 만족하는 시스템으로, 임펄스 응답으로 특성화되며, 컨볼루션, 주파수 영역 분석 등을 통해 분석하고, 통신, 신호 처리 등 다양한 분야에 응용된다.
  • 제어공학 - 센서
    센서는 물리량, 화학량, 생물학적 정보를 감지하여 유용한 신호로 변환하는 장치이며, 다양한 종류와 활용 분야를 가지며 첨단 기술 개발이 이루어지고 있다.
  • 제어공학 - 제어 시스템
    제어 시스템은 시스템의 출력을 원하는 값으로 유지하거나 목표를 달성하기 위해 동작을 조절하는 시스템으로, 다양한 제어 방식과 기법, 하드웨어를 통해 구현되어 소형 장치부터 대규모 산업 공정까지 광범위하게 사용된다.
  • 제어이론 - 칼만 필터
    칼만 필터는 잡음이 있는 측정값들을 이용하여 선형 동적 시스템의 상태를 추정하는 재귀 필터로, 예측과 보정 단계를 반복하며 항법 시스템, 레이더 추적, 컴퓨터 비전 등 다양한 분야에 응용된다.
  • 제어이론 - 사이버네틱스
    사이버네틱스는 동물과 기계의 제어 및 통신을 연구하는 학문으로, 제어 시스템, 신경과학 등 다양한 분야를 통합하여 발전해왔으며, 피드백, 자기조직화 등의 핵심 개념을 통해 여러 분야에 응용되고 있다.
상태 공간 (제어)
개요
선형 시불변 시스템의 상태 공간 표현
선형 시불변 시스템의 상태 공간 표현
유형제어 이론
분야공학
관련 항목전달 함수
블록 선도
시뮬링크
상태 변수
상태 방정식
상태 공간
상세 정보
정의제어 시스템의 수학적 모델
설명상태 변수를 사용하여 시스템의 동작을 나타냄
특징시스템의 내부 상태를 파악하고 제어하는 데 유용함
활용시스템 분석
제어기 설계
시뮬레이션
표현식
일반적인 형태x'(t) = Ax(t) + Bu(t)
y(t) = Cx(t) + Du(t)
변수 설명x(t): 상태 벡터
u(t): 입력 벡터
y(t): 출력 벡터
A: 상태 행렬
B: 입력 행렬
C: 출력 행렬
D: 직달 행렬
장점
장점다변수 시스템에 적용 용이
내부 상태 정보 제공
비선형 시스템 확장 가능
단점
단점모델링 복잡성
상태 변수 선택의 어려움
활용 예시
활용 예시로봇 제어
항공기 제어
프로세스 제어
경제 모델
관련 기법
관련 기법칼만 필터
최적 제어
모델 예측 제어

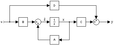
2. 상태 변수

상태공간식의 블록 선도 표현


내부 상태 변수는 특정 시점에서 시스템의 전체 상태를 나타낼 수 있는 가장 작은 변수 집합이다.[13] 시스템을 표현하는 데 필요한 최소 상태 변수의 수 n은 일반적으로 시스템을 정의하는 미분 방정식의 차수와 같다. 만약 시스템이 전달 함수 형태로 주어진다면, 최소 상태 변수의 수는 전달 함수를 약분한 후 분모의 차수와 같다.

정의된 상태 변수들은 서로 선형 독립이어야 한다. 즉, 어떤 상태 변수도 다른 상태 변수들의 선형 조합으로 표현될 수 없어야 시스템을 해석할 수 있다.

전기 회로에서는 상태 변수의 수가 회로 내의 에너지 저장 요소인 캐패시터(콘덴서)나 인덕터(코일)의 개수와 같은 경우가 많지만, 항상 그런 것은 아니다.

상태 공간 표현을 전달 함수 형태로 변환하면 시스템 내부 정보 일부가 손실될 수 있으며, 전달 함수 상으로는 안정적으로 보이더라도 실제 상태 공간 표현에서는 특정 지점에서 불안정할 수 있다는 점에 유의해야 한다.

3. 선형 시스템



내부 상태 변수는 어떤 주어진 순간에 전체 시스템의 상태를 나타낼 수 있는 최소한의 시스템 변수 부분집합이다. 시스템을 표현하는 데 필요한 최소 상태 변수의 개수 n은 보통 시스템 미분 방정식의 차수와 같다. 만약 시스템이 전달 함수 형태로 주어진다면, 최소 상태 변수의 개수는 전달 함수의 분모 차수와 같다. 상태 공간 표현을 전달 함수로 변환하면 내부 정보 일부가 손실될 수 있으며, 전달 함수 상으로는 안정해 보여도 상태 공간 표현에서는 특정 지점에서 불안정할 수 있다는 점에 유의해야 한다. 전자 회로에서는 상태 변수의 개수가 에너지 저장 요소(축전기, 유도자 등)의 개수와 같은 경우가 많지만 항상 그런 것은 아니다.

선형 시스템의 가장 일반적인 상태 공간 표현은 p개의 입력, q개의 출력, n개의 상태 변수를 가질 때 다음과 같은 형태로 작성할 수 있다.[14]

\dot{\mathbf{x}}(t) = \mathbf{A}(t) \mathbf{x}(t) + \mathbf{B}(t) \mathbf{u}(t)

\mathbf{y}(t) = \mathbf{C}(t) \mathbf{x}(t) + \mathbf{D}(t) \mathbf{u}(t)

여기서 각 항은 다음과 같다.

기호명칭설명
\mathbf{x}(t)상태 벡터시스템의 내부 상태를 나타내는 n차원 벡터 (\mathbf{x}(t) \in \mathbb{R}^n)
\mathbf{y}(t)출력 벡터시스템의 외부 출력을 나타내는 q차원 벡터 (\mathbf{y}(t) \in \mathbb{R}^q)
\mathbf{u}(t)입력 (또는 제어) 벡터시스템에 가해지는 외부 입력을 나타내는 p차원 벡터 (\mathbf{u}(t) \in \mathbb{R}^p)
\mathbf{A}(t)상태 행렬 (또는 시스템 행렬)상태 벡터 변화율에 대한 현재 상태의 영향을 나타내는 n \times n 행렬
\mathbf{B}(t)입력 행렬상태 벡터 변화율에 대한 입력 벡터의 영향을 나타내는 n \times p 행렬
\mathbf{C}(t)출력 행렬출력 벡터에 대한 상태 벡터의 영향을 나타내는 q \times n 행렬
\mathbf{D}(t)피드스루 (또는 피드포워드) 행렬[15]출력 벡터에 대한 입력 벡터의 직접적인 영향을 나타내는 q \times p 행렬 (직접적인 피드스루가 없는 경우 영행렬)
\dot{\mathbf{x}}(t)상태 벡터의 시간 미분상태 벡터의 시간에 대한 변화율 (\dot{\mathbf{x}}(t) := \frac{d}{dt} \mathbf{x}(t))



이 일반적인 형태에서는 모든 행렬(A, B, C, D)이 시간에 따라 변할 수 있다(시간 가변 시스템). 그러나 많은 경우, 특히 선형 시불변 시스템(LTI 시스템)에서는 이 행렬들이 시간에 따라 변하지 않는 상수로 간주된다. 시간 변수 t는 연속적(t \in \mathbb{R})일 수도 있고, 이산적(t \in \mathbb{Z})일 수도 있다. 이산 시간 시스템의 경우 시간 변수는 보통 k로 표시한다. 하이브리드 시스템은 연속 시간과 이산 시간이 혼합된 시간 영역을 가진다. 시스템의 종류에 따라 상태 공간 모델 표현은 다음과 같은 형태를 가진다.

시스템 유형상태 공간 모델
연속 시간 불변 (Continuous LTI)\dot{\mathbf{x}}(t) = \mathbf{A} \mathbf{x}(t) + \mathbf{B} \mathbf{u}(t)
\mathbf{y}(t) = \mathbf{C} \mathbf{x}(t) + \mathbf{D} \mathbf{u}(t)
연속 시간 가변 (Continuous LTV)\dot{\mathbf{x}}(t) = \mathbf{A}(t) \mathbf{x}(t) + \mathbf{B}(t) \mathbf{u}(t)
\mathbf{y}(t) = \mathbf{C}(t) \mathbf{x}(t) + \mathbf{D}(t) \mathbf{u}(t)
이산 시간 불변 (Discrete LTI)\mathbf{x}(k+1) = \mathbf{A} \mathbf{x}(k) + \mathbf{B} \mathbf{u}(k)
\mathbf{y}(k) = \mathbf{C} \mathbf{x}(k) + \mathbf{D} \mathbf{u}(k)
이산 시간 가변 (Discrete LTV)\mathbf{x}(k+1) = \mathbf{A}(k) \mathbf{x}(k) + \mathbf{B}(k) \mathbf{u}(k)
\mathbf{y}(k) = \mathbf{C}(k) \mathbf{x}(k) + \mathbf{D}(k) \mathbf{u}(k)
라플라스 영역의 연속 시간 불변s \mathbf{X}(s) - \mathbf{x}(0) = \mathbf{A} \mathbf{X}(s) + \mathbf{B} \mathbf{U}(s)
\mathbf{Y}(s) = \mathbf{C} \mathbf{X}(s) + \mathbf{D} \mathbf{U}(s)
Z-영역의 이산 시간 불변z \mathbf{X}(z) - z \mathbf{x}(0) = \mathbf{A} \mathbf{X}(z) + \mathbf{B} \mathbf{U}(z)
\mathbf{Y}(z) = \mathbf{C} \mathbf{X}(z) + \mathbf{D} \mathbf{U}(z)


3. 1. 예: 연속 시간 선형 시불변 시스템

연속 시간 선형 시불변 시스템(LTI 시스템)의 안정성과 자연 응답 특성은 시스템 행렬 '''A'''의 고윳값으로부터 파악할 수 있다. 시스템의 안정성은 전달 함수 \mathbf{G}(s)를 분석하여 결정할 수 있는데, 이는 일반적으로 다음과 같은 분수 형태로 표현된다.

\mathbf{G}(s) = k \frac{ (s - z_{1})(s - z_{2})(s - z_{3}) \dots }{ (s - p_{1})(s - p_{2})(s - p_{3})(s - p_{4}) \dots }

여기서 z_i는 시스템의 영점(zero)이고, p_i는 극점(pole)이다.

전달 함수의 분모는 행렬 s\mathbf{I} - \mathbf{A}행렬식을 계산하여 얻는 특성 다항식과 같다.

\lambda(s) = \det(s\mathbf{I} - \mathbf{A})

이 특성 다항식의 근, 즉 행렬 '''A'''의 고윳값이 시스템 전달 함수의 극점이 된다. 극점은 전달 함수의 크기가 무한대가 되는 수학적 특이점을 의미하며, 이 극점들의 위치를 분석하여 시스템이 점근적으로 안정한지 또는 한계적으로 안정한지를 판단할 수 있다.

고윳값을 직접 계산하지 않고 안정성을 판별하는 다른 접근법으로는 시스템의 랴푸노프 안정성을 분석하는 방법이 있다.

한편, 전달 함수의 분자에서 찾을 수 있는 영점(z_i)은 시스템이 최소 위상인지 여부를 결정하는 데 사용될 수 있다.

시스템이 내부적으로는 불안정하더라도, 불안정한 극점이 영점에 의해 상쇄되는 경우(즉, 해당 특이점이 제거 가능한 특이점인 경우)에는 '''입출력 안정'''(Bounded-Input Bounded-Output stable) 상태일 수 있다.

3. 2. 가제어성

상태 가제어성(controllability) 조건이란, 허용되는 제어 입력을 사용하여 어떤 유한한 시간 안에 시스템의 상태를 임의의 초기 조건에서 원하는 최종 조건으로 이끌 수 있다는 것을 의미한다.

연속 시간 불변 선형 상태 공간 모델이 '''제어 가능'''(controllable)할 필요 충분 조건은 다음과 같다.

\operatorname{rank}\begin{bmatrix}B& AB& A^{2}B& ...& A^{n-1}B\end{bmatrix} = n

여기서 랭크는 행렬에서 선형 독립인 행의 수를 말하며, ''n''은 상태 변수의 수이다.

3. 3. 가관측성

가관측성(Observability)은 어떤 시스템의 내부 상태를 그 시스템의 외부 출력을 관측함으로써 얼마나 잘 추정할 수 있는지를 나타내는 척도이다.[1][2] 시스템의 가관측성과 가제어성은 수학적으로 쌍대(dual) 관계에 있다. 즉, 가제어성은 적절한 제어 입력을 통해 시스템의 초기 상태를 원하는 최종 상태로 만들 수 있는 능력인 반면, 가관측성은 시스템의 출력 궤적 정보만으로 시스템의 초기 상태를 충분히 예측할 수 있는 능력이다.[1][2]

특히, 연속적인 시불변 선형(LTI) 상태 공간 모델이 관측 가능(observable)하다고 말할 수 있는 필요충분조건은 다음과 같다.[1][2]

\operatorname{rank}\begin{bmatrix}\mathbf{C}\\ \mathbf{C}\mathbf{A}\\ \vdots\\ \mathbf{C}\mathbf{A}^{n-1}\end{bmatrix} = n

여기서 \operatorname{rank}는 행렬의 계수를 의미하며, 이는 행렬 내에서 선형적으로 독립인 열(또는 행)의 최대 개수를 나타낸다.[3] n은 시스템 상태 변수의 개수, \mathbf{A}는 시스템 행렬, \mathbf{C}는 출력 행렬이다. 위 행렬을 가관측성 행렬(Observability matrix)이라고 부른다.

3. 4. 전달 함수

연속 시간 선형 시불변(LTI) 상태 공간 모델의 전달 함수는 시스템의 입력과 출력 사이의 관계를 라플라스 변환을 이용하여 주파수 영역에서 나타낸다. 이는 시스템의 안정성이나 응답 특성을 분석하는 데 유용하게 사용된다.

상태 공간 표현식

\dot{\mathbf{x}}(t) = \mathbf{A} \mathbf{x}(t) + \mathbf{B} \mathbf{u}(t)

\mathbf{y}(t) = \mathbf{C} \mathbf{x}(t) + \mathbf{D} \mathbf{u}(t)

으로부터 전달 함수 행렬 \mathbf{G}(s)를 유도하는 과정은 다음과 같다. 전달 함수는 초기 조건 \mathbf{x}(0) = \mathbf{0}을 가정하고 정의된다.

먼저 상태 방정식의 양변을 라플라스 변환하면 다음과 같다.

s\mathbf{X}(s) - \mathbf{x}(0) = \mathbf{A} \mathbf{X}(s) + \mathbf{B} \mathbf{U}(s)

초기 조건 \mathbf{x}(0) = \mathbf{0}을 적용하고 \mathbf{X}(s)에 대해 정리하면,

s\mathbf{X}(s) = \mathbf{A} \mathbf{X}(s) + \mathbf{B} \mathbf{U}(s)

(s\mathbf{I} - \mathbf{A})\mathbf{X}(s) = \mathbf{B} \mathbf{U}(s)

여기서 \mathbf{I}는 단위 행렬이다. 양변에 (s\mathbf{I} - \mathbf{A})^{-1}를 곱하면 \mathbf{X}(s)는 다음과 같다.

\mathbf{X}(s) = (s\mathbf{I} - \mathbf{A})^{-1}\mathbf{B} \mathbf{U}(s)

다음으로 출력 방정식 \mathbf{y}(t) = \mathbf{C} \mathbf{x}(t) + \mathbf{D} \mathbf{u}(t)의 양변을 라플라스 변환한다.

\mathbf{Y}(s) = \mathbf{C} \mathbf{X}(s) + \mathbf{D} \mathbf{U}(s)

위 식에 앞서 구한 \mathbf{X}(s)를 대입하면 다음과 같다.

\mathbf{Y}(s) = \mathbf{C}((s\mathbf{I} - \mathbf{A})^{-1}\mathbf{B} \mathbf{U}(s)) + \mathbf{D} \mathbf{U}(s)

\mathbf{Y}(s) = (\mathbf{C}(s\mathbf{I} - \mathbf{A})^{-1}\mathbf{B} + \mathbf{D}) \mathbf{U}(s)

전달 함수 행렬 \mathbf{G}(s)는 입력 \mathbf{U}(s)와 출력 \mathbf{Y}(s) 사이의 관계 \mathbf{Y}(s) = \mathbf{G}(s)\mathbf{U}(s)로 정의되므로, 다음과 같이 표현된다.

\mathbf{G}(s) = \mathbf{C}(s\mathbf{I} - \mathbf{A})^{-1}\mathbf{B} + \mathbf{D}

\mathbf{G}(s)q \times p 크기의 행렬이며 (q는 출력의 수, p는 입력의 수), 각 요소 G_{ij}(s)j번째 입력이 i번째 출력에 미치는 영향을 나타내는 전달 함수이다. 이처럼 상태 공간 표현은 다중 입력 다중 출력(MIMO) 시스템의 전달 특성을 하나의 행렬로 간결하게 나타낼 수 있어 자주 사용된다.

전달 함수 행렬 \mathbf{G}(s)에서 (s\mathbf{I} - \mathbf{A})^{-1}는 다음과 같이 표현될 수 있다.

(s\mathbf{I} - \mathbf{A})^{-1} = \frac{\mathrm{adj}(s\mathbf{I} - \mathbf{A})}{\mathrm{det}(s\mathbf{I} - \mathbf{A})}

여기서 분모 \mathrm{det}(s\mathbf{I} - \mathbf{A})는 시스템의 특성 다항식이며, 이 다항식의 근(즉, 행렬 \mathbf{A}의 고윳값)은 전달 함수의 극(pole)이 된다. 시스템의 극은 시스템의 안정성을 판별하는 데 사용된다. 예를 들어, 모든 극의 실수부가 음수이면 시스템은 점근적으로 안정하다. 분자 \mathrm{adj}(s\mathbf{I} - \mathbf{A})s\mathbf{I} - \mathbf{A}의 여인자 행렬이다.

전달 함수의 영점(zero)은 \mathbf{G}(s)의 분자 다항식의 근으로, 시스템이 최소 위상인지 여부 등을 판단하는 데 사용될 수 있다. 불안정한 극이 영점에 의해 상쇄되는 경우, 시스템은 BIBO 안정 조건을 만족하더라도 내부적으로는 불안정할 수 있다.

3. 4. 1. Souriau-Frame-Faddeev 알고리즘

Souriau-Frame-Faddeev 알고리즘상태 공간 표현에서 전달 함수를 계산할 때 필요한 행렬 (s\mathbf{I} - A)^{-1}을 구하는 효율적인 방법이다. 전달 함수 \mathbf{G}(s) = C(s\mathbf{I} - A)^{-1}B + D를 계산하려면 (s\mathbf{I} - A)^{-1}를 알아야 하는데, 이는 다음과 같이 표현될 수 있다.



(s\mathbf{I} - A)^{-1} = \frac{\mathrm{adj}(s\mathbf{I} - A)}{\mathrm{det}(s\mathbf{I} - A)} = \frac{\sum_{k=0}^{n-1}\mathbf{Q}_ks^k}{s^n+a_{n-1}s^{n-1}+\cdots+a_1s+a_0}



여기서 \mathrm{adj}(s\mathbf{I} - A)s\mathbf{I} - A의 여인자 행렬이고, \mathrm{det}(s\mathbf{I} - A)행렬식이자 시스템의 특성 다항식이다.

이 알고리즘은 분모 다항식의 계수 a_k와 분자 행렬 다항식의 계수 행렬 \mathbf{Q}_k를 다음 점화식을 통해 순차적으로 계산한다.

1. 초기값 설정: \mathbf{Q}_{n-1} = \mathbf{I} (여기서 \mathbf{I}는 단위 행렬)

2. k = n-1, n-2, \dots, 1 에 대해 반복 계산:

\begin{align}

a_k &= -\frac{1}{n-k}\mathrm{tr}(\mathbf{AQ}_k) \\

\mathbf{Q}_{k-1} &= \mathbf{AQ}_k + a_k\mathbf{I}

\end{align}



(여기서 \mathrm{tr}은 행렬의 대각합)

3. 마지막 계수 계산: a_0 = -\frac{1}{n}\mathrm{tr}(\mathbf{AQ}_0)

4. 계산 검증 (선택 사항): 계산이 정확하다면 다음 등식이 성립해야 한다.

\mathbf{AQ}_0 + a_0\mathbf{I} = \mathbf{0} (여기서 \mathbf{0}영행렬)

이 과정을 통해 (s\mathbf{I} - A)^{-1}의 분자와 분모 다항식을 명시적으로 구할 수 있다.

3. 5. 정규 실현

분모의 차수가 분자의 차수보다 큰 엄밀하게 고유한(strictly proper) 전달 함수는 다음 접근 방식을 사용하여 상태 공간 모델로 쉽게 변환할 수 있다. (이 예는 4차원 단일 입력 단일 출력 시스템이다.)

주어진 전달 함수를 전개하여 분자와 분모의 모든 계수를 명확히 하면 다음과 같은 형식이 된다.

\textbf{G}(s) = \frac{n_{1}s^{3} + n_{2}s^{2} + n_{3}s + n_{4}}{s^{4} + d_{1}s^{3} + d_{2}s^{2} + d_{3}s + d_{4}}

이 계수들을 사용하여 두 가지 주요 정규 실현(canonical realization)을 만들 수 있다.

'''가제어 정규형'''(controllable canonical form)은 다음과 같이 상태 공간 모델을 구성한다.

\dot{\textbf{x}}(t) = \begin{bmatrix}

  • d_{1}& -d_{2}& -d_{3}& -d_{4}\\

1& 0& 0& 0\\

0& 1& 0& 0\\

0& 0& 1& 0

\end{bmatrix}\textbf{x}(t) +

\begin{bmatrix} 1\\ 0\\ 0\\ 0\\ \end{bmatrix}\textbf{u}(t)

\textbf{y}(t) = \begin{bmatrix} n_{1}& n_{2}& n_{3}& n_{4} \end{bmatrix}\textbf{x}(t)

이 상태 공간 실현은 결과로 얻어지는 모델이 항상 제어 가능(controllable)하기 때문에 "가제어"라고 불린다. 즉, 제어 입력이 일련의 적분기로 들어가 모든 상태 변수를 움직일 수 있다.

'''가관측 정규형'''(observable canonical form)은 다음과 같이 상태 공간 모델을 구성한다.

\dot{\textbf{x}}(t) = \begin{bmatrix}

  • d_{1}& 1& 0& 0\\
  • d_{2}& 0& 1& 0\\
  • d_{3}& 0& 0& 1\\
  • d_{4}& 0& 0& 0

\end{bmatrix}\textbf{x}(t) +

\begin{bmatrix} n_{1}\\ n_{2}\\ n_{3}\\ n_{4} \end{bmatrix}\textbf{u}(t)

\textbf{y}(t) = \begin{bmatrix} 1& 0& 0& 0 \end{bmatrix}\textbf{x}(t)

이 상태 공간 실현은 결과로 얻어지는 모델이 항상 관측 가능(observable)하기 때문에 "가관측"이라고 불린다. 즉, 출력이 일련의 적분기를 통과하며 모든 상태가 출력에 영향을 미친다.

3. 6. 프로퍼 전달 함수

적절 전달 함수(엄밀히 프로퍼 전달 함수가 아닌 경우) 역시 상태 공간 모델로 쉽게 변환할 수 있다. 핵심 아이디어는 전달 함수를 엄밀히 프로퍼(strictly propereng)한 부분과 상수 부분으로 나누는 것이다.

\mathbf{G}(s) = \mathbf{G}_\mathrm{SP}(s) + \mathbf{G}(\infty).

엄밀히 프로퍼 전달 함수 \mathbf{G}_\mathrm{SP}(s)는 앞서 설명된 기법(예: 정준 상태 공간 실현)을 사용하여 상태 공간 모델로 변환될 수 있다. 이 과정에서 상태 공간 행렬 ''A'', ''B'', ''C''가 결정된다. 상수 부분 \mathbf{G}(\infty)의 상태 공간 실현은 \mathbf{y}(t) = \mathbf{G}(\infty)\mathbf{u}(t)이며, 이는 행렬 ''D''에 해당한다. 따라서 전체 프로퍼 전달 함수에 대한 상태 공간 실현은 엄밀히 프로퍼 부분에서 얻어진 ''A'', ''B'', ''C'' 행렬과 상수 부분에서 얻어진 ''D'' 행렬로 구성된다.

다음 예시를 통해 과정을 명확히 할 수 있다.

\mathbf{G}(s) = \frac{s^2 + 3s + 3}{s^2 + 2s + 1}

= \frac{s + 2}{s^2 + 2s + 1} + 1

이 전달 함수에서 \frac{s + 2}{s^2 + 2s + 1}는 엄밀히 프로퍼 부분이고, 1은 상수 부분 \mathbf{G}(\infty)이다. 이 전달 함수는 다음과 같은 제어 가능한 상태 공간 실현을 생성한다.

\dot{\mathbf{x}}(t) = \begin{bmatrix}

  • 2& -1\\

1& 0\\

\end{bmatrix}\mathbf{x}(t) +

\begin{bmatrix} 1\\ 0\end{bmatrix}\mathbf{u}(t)

\mathbf{y}(t) = \begin{bmatrix} 1& 2\end{bmatrix}\mathbf{x}(t) + \begin{bmatrix} 1\end{bmatrix}\mathbf{u}(t)

출력 \mathbf{y}(t)가 입력 \mathbf{u}(t)에 직접적으로 의존하는 것을 볼 수 있다. 이는 전달 함수의 상수 부분 \mathbf{G}(\infty) 때문에 행렬 ''D'' (여기서는 \begin{bmatrix} 1\end{bmatrix})가 0이 아니기 때문이다.

3. 7. 안정성

연속 시간 선형 시불변 시스템(LTI 시스템)의 안정성과 고유 응답 특성은 시스템 행렬 '''A'''의 고윳값으로부터 파악할 수 있다. 시스템의 안정성은 전달 함수 \mathbf{G}(s)를 분석하여 결정할 수도 있다. 전달 함수는 일반적으로 다음과 같은 분수 형태로 표현된다.

\mathbf{G}(s) = k \frac{ (s - z_{1})(s - z_{2})(s - z_{3}) \dots

}{ (s - p_{1})(s - p_{2})(s - p_{3})(s - p_{4}) \dots

}

여기서 z_i는 시스템의 영점(zero)이고, p_i는 극점(pole)이다. 전달 함수의 분모는 s\mathbf{I} - \mathbf{A}행렬식으로 계산되는 특성 다항식 \lambda(s) = |s\mathbf{I} - \mathbf{A}|와 같다. 이 다항식의 근, 즉 행렬 '''A'''의 고윳값이 시스템 전달 함수의 극점(pole)이 된다. 이 극점들의 위치를 분석하여 시스템이 점근적으로 안정한지 또는 한계적으로 안정한지를 판단할 수 있다. 전달 함수의 영점은 시스템이 최소 위상인지 여부를 결정하는 데 사용된다.

안정성을 판단하는 다른 방법으로는 고윳값을 직접 계산하지 않고 시스템의 랴푸노프 안정성을 분석하는 것이 있다.

시스템 안정성에는 여러 종류가 있다. 외부적인 안정성을 다루는 '''BIBO 안정성'''(Bounded-Input Bounded-Output stability)은 시스템의 영 상태 응답과 관련이 있다. 내부적인 안정성을 다루는 '''랴푸노프 안정성'''과 '''점근 안정성'''은 시스템의 평형 상태의 안정성과 관련이 있으며, 영 입력 응답에 주목한다. 랴푸노프 안정성동역학계 안정성 이론의 기초가 된다.

시스템은 내부적으로 불안정하더라도, 불안정한 극점이 영점에 의해 상쇄되는 경우에는 입출력 안정할 수도 있다.

비선형 시스템의 경우 평형 상태가 여러 개 존재할 수 있지만, 선형 시스템에서 상태 행렬 '''A(t)'''가 가역적이라면 평형 상태는 원점(\mathbf{0}) 하나뿐이다.

3. 7. 1. BIBO 안정성

시스템 안정성에는 외부적인 안정성을 다루는 BIBO(Bounded-Input Bounded-Output) 안정성과 내부적인 안정성을 다루는 리아푸노프 안정성, 점근 안정성 등 평형 상태의 안정성이 있다. 비선형 시스템의 평형 상태는 여러 개일 수 있지만, 선형 시스템에서는 상태 행렬 '''A(t)'''가 가역적일 경우 평형 상태는 원점(\mathbf{0}) 하나뿐이다.

BIBO 안정성은 시스템의 영 상태 응답에 주목하는 반면, 평형 상태의 안정성은 시스템의 영 입력 응답에 주목한다. 리아푸노프 안정성은 동역학계 안정성 이론의 기초가 된다. 안정성을 판단하는 데에는 상태 행렬 '''A'''가 중요한 역할을 한다.

BIBO 안정성은 입력 신호의 크기가 한정되어 있을 때(유계 입력), 출력 신호의 크기 역시 반드시 한정됨(유계 출력)을 의미한다. 이는 시스템의 불안정한 극(pole)이 영점(zero)에 의해 상쇄되는 경우까지 고려한 개념이다.

시스템을 정칙 전달 함수 \mathrm{G}(s)=\mathrm{det}(s\mathbf{I}-A)로 모델링할 경우, BIBO 안정성을 만족하기 위한 필요 충분 조건은 시스템 전달 함수의 모든 극(pole)이 복소평면의 좌반 평면(left-half plane), 즉 실수부가 음수인 영역에 위치해야 한다는 것이다.

3. 7. 2. 랴푸노프 안정성

시스템의 안정성을 판단하는 한 가지 방법으로 랴푸노프 안정성 분석이 있다. 이는 고유값 계산 없이 안정성을 결정하는 대안적인 접근법이다.

안정성에는 여러 종류가 있는데, 외부 입력에 대한 출력의 안정성을 다루는 BIBO 안정성(입출력 안정성)과 달리, 랴푸노프 안정성은 시스템 내부의 안정성, 특히 평형 상태의 안정성을 다룬다. 점근적 안정성 역시 평형 상태의 안정성과 관련된 개념이다.

비선형 시스템은 여러 개의 평형 상태를 가질 수 있지만, 선형 시불변 시스템에서 상태 행렬 '''A'''가 가역 행렬이라면 평형 상태는 원점(영벡터) 하나뿐이다. BIBO 안정성이 시스템의 영 상태 응답에 주목하는 반면, 랴푸노프 안정성과 같은 평형 상태의 안정성은 시스템의 영 입력 응답에 주목한다.

랴푸노프 안정성은 동역학계의 안정성 이론에서 기초적인 개념으로 중요하게 다루어진다. 시스템의 안정성을 판정하는 데에는 상태 행렬 '''A'''가 밀접한 관련이 있다.

3. 7. 3. 점근 안정성

점근 안정성은 시스템이 시간이 지남에 따라 평형 상태로 수렴하는 성질을 의미한다.[1][2] 이는 동역학계의 안정성을 다루는 중요한 개념 중 하나이다.

시스템의 안정성은 크게 외부적인 안정성인 BIBO 안정성(입출력 안정성)과 내부적인 안정성인 랴푸노프 안정성 및 점근 안정성으로 나눌 수 있다.[3] BIBO 안정성은 시스템의 영 상태 응답에 주목하는 반면, 평형 상태의 안정성(리아푸노프 안정성, 점근 안정성)은 시스템의 영 입력 응답에 주목한다.[3] 선형 시스템의 경우, 상태 행렬 '''A(t)'''가 가역적일 때 평형 상태는 \mathbf{0} (원점) 뿐이다.[3]

상태 공간의 원점이 리아푸노프 안정한 평형 상태이면서, 특정 조건 \|x(t_0)\|<\delta(t_0)을 만족하는 초기 상태 x(t_0)에 대해 시간이 무한대로 갈 때 상태 x(t)가 0으로 수렴하면(\lim_{t\to\infty}\|x(t)\|=0), 그 원점은 점근 안정 상태라고 한다.[3] 만약 이 조건이 초기 시각 t_0에 무관하게 성립하면 ''균일 점근 안정''이라고 한다.[3]

연속 시간 선형 시불변 시스템(LTI 시스템)의 안정성은 시스템 행렬 '''A'''의 고윳값을 통해 분석할 수 있다.[1][2] 시스템의 전달 함수의 극점은 이 고윳값에 해당하며, 이 극점들의 위치에 따라 시스템의 안정성이 결정된다.[1][2] 특히, LTI 시스템이 점근 안정하기 위한 필요충분 조건은 시스템 행렬 '''A'''의 모든 고윳값이 복소평면의 왼쪽 반평면(LHP, Left-Half Plane)에 존재하는 것, 즉 모든 고윳값의 실수부가 음수인 것이다.[3][1][2]

고윳값을 직접 계산하지 않고 안정성을 판별하는 다른 방법으로는 랴푸노프 안정성 해석이 있다.[1][2] 시스템은 내부적으로 불안정하더라도, 불안정한 극점이 영점에 의해 상쇄되는 경우에는 입출력 안정할 수도 있다.[1][2]

3. 7. 4. 안정성 간의 관계

시스템의 안정성은 여러 관점에서 정의될 수 있으며, 주로 외부 입력에 대한 출력의 안정성을 다루는 BIBO 안정성(Bounded-Input Bounded-Output stability)과 시스템 내부 상태의 안정성을 다루는 랴푸노프 안정성(Lyapunov stability) 및 점근 안정성(Asymptotic stability)으로 나뉜다. BIBO 안정성은 시스템의 영 상태 응답(zero-state response)에 초점을 맞추는 반면, 랴푸노프 안정성과 점근 안정성은 시스템의 영 입력 응답(zero-input response)과 관련된 평형점의 안정성을 다룬다. 비선형 시스템에서는 평형 상태가 여러 개일 수 있지만, 선형 시스템에서는 상태 행렬 \mathbf{A}(t)가 가역 행렬일 경우 \mathbf{0}이 유일한 평형 상태이다.

이러한 안정성 개념들은 서로 밀접한 관계를 가진다.

  • 점근 안정성 ⇒ BIBO 안정성: 점근적으로 안정한 시스템은 항상 BIBO 안정하다. 즉, 시스템 내부 상태가 시간이 지남에 따라 안정된 평형점(\mathbf{0})으로 수렴한다면, 유한한 크기의 입력이 주어졌을 때 출력 또한 유한한 크기를 벗어나지 않는다.

  • BIBO 안정성 점근 안정성: 역은 항상 성립하지 않는다. 시스템이 BIBO 안정하더라도 반드시 점근적으로 안정하지는 않다. 이는 시스템이 제어 가능하지 않거나 관측 가능하지 않을 때 발생할 수 있다. 예를 들어, 불안정한 내부 모드(불안정한 고유값에 해당)가 있더라도, 이것이 출력에 영향을 미치지 않도록 전달 함수 상에서 극점과 영점이 상쇄되는 경우(제거 가능 특이점), 시스템은 BIBO 안정하지만 점근적으로는 불안정할 수 있다. 이때 전달 함수의 극점 집합은 상태 행렬 \mathbf{A}의 고유값 집합(스펙트럼)의 진부분집합이 된다.

  • LTI 시스템에서의 동치 조건: 만약 선형 시불변 시스템(LTI)이 제어 가능하고 동시에 관측 가능하다면, 다음 네 가지 조건은 서로 동등하다.
  • # 시스템이 BIBO 안정하다.
  • # 시스템이 점근 안정하다.
  • # 시스템 전달 함수의 모든 극점의 실수부가 음수이다. (즉, 모든 극점이 복소평면의 왼쪽 반평면에 위치한다.)
  • # 시스템 상태 행렬 \mathbf{A}의 모든 고유값의 실수부가 음수이다. (즉, 모든 고유값이 복소평면의 왼쪽 반평면에 위치한다.)

3. 8. 피드백



피드백은 시스템의 출력을 이용하여 입력을 조절하는 제어 방식이다. 상태 공간 모델에서 일반적인 피드백 방법은 출력 \mathbf{y}(t)에 이득 행렬 ''K''를 곱하여 새로운 입력 \mathbf{u}(t)로 사용하는 것이다. 즉, \mathbf{u}(t) = K \mathbf{y}(t) 와 같이 설정한다. 행렬 ''K''의 값은 자유롭게 설정할 수 있으며, 이를 통해 네거티브 피드백(부귀환) 등을 구현할 수 있다.

피드백을 적용하면 기존의 상태 공간 방정식

\dot{\mathbf{x}}(t) = A \mathbf{x}(t) + B \mathbf{u}(t)

\mathbf{y}(t) = C \mathbf{x}(t) + D \mathbf{u}(t)

은 피드백 루프를 포함하는 새로운 형태의 방정식으로 변환된다. (자세한 유도 과정은 예시 섹션 참조)

이 피드백 방식의 가장 큰 장점은 이득 행렬 ''K''를 적절하게 선택함으로써 폐루프 시스템의 동적 특성을 결정하는 고유값을 원하는 위치로 이동시킬 수 있다는 점이다. 이를 폴 배치(pole placement) 또는 고유값 할당이라고도 한다. 이를 통해 시스템의 안정성을 개선하거나 응답 특성을 조절할 수 있다. 다만, 이러한 고유값 제어는 시스템이 가제어성(controllability)을 만족하거나, 불안정한 고유값을 행렬 ''K'' 설정을 통해 안정화할 수 있다는 것을 전제로 한다.

3. 8. 1. 예시

일반적으로 출력에 행렬 ''K''를 곱하여 시스템 입력으로 사용하는 피드백을 생각할 수 있다. 즉, 입력 \mathbf{u}(t)는 다음과 같이 주어진다.

\mathbf{u}(t) = K \mathbf{y}(t)

행렬 ''K''의 값에는 제한이 없으므로, 음수 값을 사용하여 네거티브 피드백(부귀환)을 쉽게 구현할 수 있다. 부호 자체는 표기상의 문제일 뿐 최종 결과에는 영향을 미치지 않는다.

기본적인 상태 공간 방정식은 다음과 같다.

\dot{\mathbf{x}}(t) = A \mathbf{x}(t) + B \mathbf{u}(t)

\mathbf{y}(t) = C \mathbf{x}(t) + D \mathbf{u}(t)

위 식의 입력 \mathbf{u}(t)를 피드백 K \mathbf{y}(t)로 대체하면 다음과 같은 식이 된다.

\dot{\mathbf{x}}(t) = A \mathbf{x}(t) + B K \mathbf{y}(t)

\mathbf{y}(t) = C \mathbf{x}(t) + D K \mathbf{y}(t)

출력 방정식 \mathbf{y}(t)에 대해 풀고, 그 결과를 상태 방정식에 대입하면 다음과 같은 폐루프 시스템 방정식을 얻는다.

\dot{\mathbf{x}}(t) = \left(A + B K \left(I - D K\right)^{-1} C \right) \mathbf{x}(t)

\mathbf{y}(t) = \left(I - D K\right)^{-1} C \mathbf{x}(t)

이 방식의 장점은 행렬 \left(A + B K \left(I - D K\right)^{-1} C \right)의 고유값을 행렬 ''K''를 적절히 설정하여 제어할 수 있다는 것이다. 이는 시스템이 개루프계가 제어 가능하거나, 행렬 ''A''의 불안정한 고유값을 ''K'' 설정을 통해 안정화할 수 있다는 것을 전제로 한다.

흔히 사용되는 단순화된 경우를 살펴보자.
엄밀하게 적절한 시스템에서는 행렬 ''D''가 0이다. 또한, 모든 상태가 출력되는 경우, 즉 ''y'' = ''x''인 경우도 흔하며, 이때는 ''C''가 항등 행렬(''I'')이 된다. 이 두 조건을 모두 만족하는 경우 (''D'' = 0, ''C'' = ''I''), 피드백 시스템 방정식은 다음과 같이 간단해진다.

\dot{\mathbf{x}}(t) = \left(A + B K \right) \mathbf{x}(t)

\mathbf{y}(t) = \mathbf{x}(t)

이 경우, 필요한 고유값 분해는 A + B K 행렬에 대해서만 수행하면 된다.

3. 9. 기준 입력이 있는 피드백

피드백 제어 시스템에서는 시스템의 출력이 원하는 목표값(기준 입력) r(t)를 따라가도록 기준 입력을 추가할 수 있다. 이 경우, 시스템에 가해지는 전체 입력 \mathbf{u}(t)는 출력 \mathbf{y}(t)에 기반한 피드백 신호와 기준 입력 \mathbf{r}(t)의 조합으로 표현된다. 일반적인 형태는 다음과 같다.

\mathbf{u}(t) = -K \mathbf{y}(t) + \mathbf{r}(t)

여기서 K는 피드백 이득 행렬이다.

기본적인 선형 시불변 시스템의 상태 공간 표현은 다음과 같다.

\dot{\mathbf{x}}(t) = A \mathbf{x}(t) + B \mathbf{u}(t)

\mathbf{y}(t) = C \mathbf{x}(t) + D \mathbf{u}(t)

여기에 기준 입력이 포함된 \mathbf{u}(t)를 대입하면, 시스템 방정식은 다음과 같이 표현할 수 있다.

\dot{\mathbf{x}}(t) = A \mathbf{x}(t) - B K \mathbf{y}(t) + B \mathbf{r}(t)

\mathbf{y}(t) = C \mathbf{x}(t) - D K \mathbf{y}(t) + D \mathbf{r}(t)

두 번째 식(출력 방정식)에서 \mathbf{y}(t) 항들을 한쪽으로 모아 정리하면 다음과 같다.

(I + D K) \mathbf{y}(t) = C \mathbf{x}(t) + D \mathbf{r}(t)

만약 (I + D K)가 역행렬을 가진다면, \mathbf{y}(t)는 다음과 같이 표현된다.

\mathbf{y}(t) = (I + D K)^{-1} C \mathbf{x}(t) + (I + D K)^{-1} D \mathbf{r}(t)

이 결과를 첫 번째 식(상태 방정식)에 대입하여 \mathbf{y}(t)를 소거하면, 기준 입력 \mathbf{r}(t)를 포함한 폐루프 시스템(closed-loop system)의 상태 방정식과 출력 방정식을 얻을 수 있다.

\dot{\mathbf{x}}(t) = \left(A - B K \left(I + D K\right)^{-1} C \right) \mathbf{x}(t) + B \left(I - K \left(I + D K\right)^{-1}D \right) \mathbf{r}(t)

\mathbf{y}(t) = \left(I + D K\right)^{-1} C \mathbf{x}(t) + \left(I + D K\right)^{-1} D \mathbf{r}(t)

여기서 I는 단위 행렬이다.

많은 실제 시스템에서는 입력이 출력에 직접적인 영향을 미치지 않는다고 가정하여 직접 피드스루(feedthrough) 행렬 D를 0으로 간주하는 경우가 많다. 이 경우, 위 식들은 다음과 같이 크게 단순화된다.

\dot{\mathbf{x}}(t) = \left(A - B K C \right) \mathbf{x}(t) + B \mathbf{r}(t)

\mathbf{y}(t) = C \mathbf{x}(t)

이 단순화된 모델은 상태 피드백 제어 시스템 설계에서 자주 사용된다.

3. 10. 움직이는 물체 예시

고전적인 선형 시스템의 예시로, 1차원의 이동하는 물체를 생각해 볼 수 있다. 벽에 스프링으로 연결된 물체가 수평 평면 위를 이동하는 경우, 뉴턴 역학을 이용하면 다음과 같은 운동 방정식을 얻을 수 있다.

m \ddot{y}(t) = u(t) - k_1 \dot{y}(t) - k_2 y(t)

여기서 각 변수는 다음을 의미한다.

  • y(t): 위치
  • \dot y(t): 속도
  • \ddot{y}(t): 가속도
  • u(t): 가해진 힘
  • k_1: 점성 마찰 계수
  • k_2: 스프링 상수
  • m: 물체의 질량


이 시스템의 상태 공간 표현을 유도하기 위해 상태 변수를 다음과 같이 정의한다.

  • x_1(t) = y(t) (물체의 위치)
  • x_2(t) = \dot{x}_1(t) = \dot{y}(t) (물체의 속도)


이를 이용하면 상태 방정식과 출력 방정식은 다음과 같이 행렬 형태로 나타낼 수 있다.

\begin{bmatrix} \dot{\mathbf x}_1(t) \\ \dot{\mathbf x}_2(t) \end{bmatrix} = \begin{bmatrix} 0 & 1 \\ -\frac{k_2}{m} & -\frac{k_1}{m} \end{bmatrix} \begin{bmatrix} \mathbf{x}_1(t) \\ \mathbf{x}_2(t) \end{bmatrix} + \begin{bmatrix} 0 \\ \frac{1}{m} \end{bmatrix} \mathbf{u}(t)

\mathbf{y}(t) = \begin{bmatrix} 1 & 0 \end{bmatrix} \begin{bmatrix} \mathbf{x_1}(t) \\ \mathbf{x_2}(t) \end{bmatrix}

여기서 출력 \mathbf{y}(t)는 물체의 위치 x_1(t)이다.

이 시스템의 제어 가능성을 분석하기 위해 제어 가능성 행렬을 계산하면 다음과 같다.

\begin{bmatrix} B & AB \end{bmatrix} = \begin{bmatrix} \begin{bmatrix} 0 \\ \frac{1}{m} \end{bmatrix} & \begin{bmatrix} 0 & 1 \\ -\frac{k_2}{m} & -\frac{k_1}{m} \end{bmatrix} \begin{bmatrix} 0 \\ \frac{1}{m} \end{bmatrix} \end{bmatrix} = \begin{bmatrix} 0 & \frac{1}{m} \\ \frac{1}{m} & -\frac{k_1}{m^2} \end{bmatrix}

이 행렬의 행렬식(determinant)은 -\frac{1}{m^2}으로, 질량 m이 0이 아닌 한 항상 0이 아니다. 따라서 이 행렬은 항상 풀 랭크(full rank)이며, 이는 시스템이 제어 가능함을 의미한다. 즉, 적절한 힘 u(t)를 가하여 물체를 원하는 상태(위치 및 속도)로 만들 수 있다.

다음으로 시스템의 관측 가능성을 분석하기 위해 관측 가능성 행렬을 계산하면 다음과 같다.

\begin{bmatrix} C \\ CA \end{bmatrix} = \begin{bmatrix} \begin{bmatrix} 1 & 0 \end{bmatrix} \\ \begin{bmatrix} 1 & 0 \end{bmatrix} \begin{bmatrix} 0 & 1 \\ -\frac{k_2}{m} & -\frac{k_1}{m} \end{bmatrix} \end{bmatrix} = \begin{bmatrix} 1 & 0 \\ 0 & 1 \end{bmatrix}

이 행렬은 단위 행렬이므로 항상 풀 랭크이다. 따라서 이 시스템은 관측 가능하다. 즉, 출력인 위치 y(t)를 측정함으로써 시스템의 모든 상태 변수(위치 x_1(t)와 속도 x_2(t))를 알아낼 수 있다.

결론적으로, 이 움직이는 물체 시스템은 제어 가능하고 관측 가능하다.

4. 비선형 시스템

더 일반적인 형태의 상태 공간 모델은 두 개의 함수로 나타낼 수 있다.

\dot\mathbf{x}(t) = \mathbf{f}(t, x(t), u(t))

\mathbf{y}(t) = \mathbf{h}(t, x(t), u(t))

첫 번째 식은 상태 방정식이고, 두 번째 식은 출력 방정식이다. 여기서 \mathbf{x}(t)는 상태 벡터, \mathbf{y}(t)는 출력 벡터, u(t)는 입력 또는 제어 벡터를 나타낸다.

만약 함수 \mathbf{f}(\cdot,\cdot,\cdot)\mathbf{h}(\cdot,\cdot,\cdot)가 상태 x(t)와 입력 u(t)선형 결합이 아니라면, 이 시스템은 비선형 시스템이 된다. 비선형 시스템은 선형 시스템보다 해석이 복잡하며 다양한 동적 현상을 보일 수 있다. 비선형 시스템 이론에서 이러한 모델을 주로 다룬다.

시스템에 외부 입력 u(t)가 없는 경우(unforced system|강제되지 않은 시스템eng)에는 함수에서 u(t) 인수를 생략하고 다음과 같이 표현할 수 있다.

\dot\mathbf{x}(t) = \mathbf{f}(t, x(t))

\mathbf{y}(t) = \mathbf{h}(t, x(t))

구체적인 비선형 시스템의 예시는 아래의 진자 예시에서 확인할 수 있다.

4. 1. 진자 예시

고전적인 비선형 시스템의 예시로, 외부 힘이 가해지지 않는 단순 진자의 운동을 상태 공간 모델로 나타낼 수 있다.

진자의 운동 방정식은 다음과 같이 주어진다.

m l^2 \ddot\theta(t) = - m l g\sin\theta(t) - k l\dot\theta(t)

여기서 각 기호는 다음을 의미한다.

  • \theta(t) : 시간 t에서 중력 방향에 대한 진자의 각도
  • m : 진자의 질량 (진자 막대의 질량은 무시)
  • g : 중력 가속도
  • k : 회전축에서의 마찰 계수
  • l : 진자의 길이 (회전 중심에서 질량 중심까지의 거리)


상태 공간 표현을 위해 다음과 같은 상태 변수를 정의한다.

  • x_1(t) = \theta(t) : 진자의 각도
  • x_2(t) = \dot{x}_1(t) = \dot\theta(t) : 진자의 각속도


그러면 \dot{x}_2(t) = \ddot{x}_1(t) = \ddot\theta(t)는 진자의 각가속도가 된다. 위 운동 방정식을 ml^2으로 나누고 상태 변수를 대입하면 다음과 같은 상태 방정식을 얻을 수 있다.

\dot{x}_1(t) = x_2(t)

\dot{x}_2(t) = - \frac{g}{l}\sin{x_1}(t) - \frac{k}{ml}{x_2}(t)

이 상태 방정식은 벡터 형태로 다음과 같이 표현할 수도 있다.

\dot{\mathbf{x}}(t) = \begin{bmatrix} \dot{x}_1(t) \\ \dot{x}_2(t) \end{bmatrix} = \mathbf{f}(t, \mathbf{x}(t)) = \begin{bmatrix} x_2(t) \\ - \frac{g}{l}\sin{x_1}(t) - \frac{k}{ml}{x_2}(t) \end{bmatrix}

여기서 \mathbf{x}(t) = \begin{bmatrix} x_1(t) \\ x_2(t) \end{bmatrix}는 상태 벡터이다.

시스템의 평형점 또는 정지점은 상태 벡터의 시간 변화율이 0인 상태, 즉 \dot{\mathbf{x}}(t) = \mathbf{0}인 상태를 의미한다. 진자 시스템의 경우, 평형점은 다음 조건을 만족하는 상태 (x_1, x_2)이다.

\dot{x}_1(t) = x_2(t) = 0

\dot{x}_2(t) = - \frac{g}{l}\sin{x_1}(t) - \frac{k}{ml}{x_2}(t) = 0

첫 번째 방정식에서 x_2 = 0을 얻는다. 이 값을 두 번째 방정식에 대입하면 다음과 같다.

- \frac{g}{l}\sin{x_1}(t) = 0

이 방정식을 만족하려면 \sin{x_1}(t) = 0이어야 하므로, x_1\pi의 정수배가 되어야 한다. 따라서 진자의 평형점은 다음과 같다.

\begin{bmatrix} x_1 \\ x_2 \end{bmatrix} = \begin{bmatrix} n\pi \\ 0 \end{bmatrix}

여기서 ''n''은 임의의 정수이다. 이는 진자가 가장 낮은 지점(n이 짝수일 때, \theta = 0, \pm 2\pi, ...) 또는 가장 높은 지점(n이 홀수일 때, \theta = \pm \pi, \pm 3\pi, ...)에서 정지해 있는 상태에 해당한다.

참조

[1] 서적 Intelligent Control Systems: An Introduction with Examples https://books.google[...] Springer
[2] 서적 Analysis and Control of Nonlinear Process Systems https://books.google[...] Springer
[3] 학술지 Modeling of dynamic systems with modulation by means of Kronecker vector-matrix representation. http://ntv.ifmo.ru/e[...]
[4] 간행물 Dynamic Factor Models, Factor-Augmented Vector Autoregressions, and Structural Vector Autoregressions in Macroeconomics Elsevier 2016
[5] 서적 Time series analysis by state space methods Oxford University Press 2012
[6] 학술지 A discrete state-space model for linear image processing 1975
[7] 학술지 Estimating a State-Space Model from Point Process Observations 2003
[8] 문서 New Indexes of Coincident and Leading Economic Indicators https://www.nber.org[...] National Bureau of Economic Research, Inc. 1989
[9] 학술지 Maximum Likelihood Estimation of Factor Models on Datasets with Arbitrary Pattern of Missing Data 2012-11-12
[10] 간행물 State-Space Models with Markov Switching and Gibbs-Sampling The MIT Press 2017
[11] 학술지 A New Approach to Linear Filtering and Prediction Problems https://asmedigitalc[...] 1960-03-01
[12] 서적 Forecasting, Structural Time Series Models and the Kalman Filter Cambridge University Press 1990
[13] 서적 Control Systems Engineering John Wiley & Sons, Inc.
[14] 서적 Modern Control Theory Quantum Publishers, Inc.
[15] 문서 만일 시스템 모델에 직접 피드스루가 없다면, D(\cdot)는 0행렬이다.



본 사이트는 AI가 위키백과와 뉴스 기사,정부 간행물,학술 논문등을 바탕으로 정보를 가공하여 제공하는 백과사전형 서비스입니다.
모든 문서는 AI에 의해 자동 생성되며, CC BY-SA 4.0 라이선스에 따라 이용할 수 있습니다.
하지만, 위키백과나 뉴스 기사 자체에 오류, 부정확한 정보, 또는 가짜 뉴스가 포함될 수 있으며, AI는 이러한 내용을 완벽하게 걸러내지 못할 수 있습니다.
따라서 제공되는 정보에 일부 오류나 편향이 있을 수 있으므로, 중요한 정보는 반드시 다른 출처를 통해 교차 검증하시기 바랍니다.

문의하기 : help@durumis.com