유전자-환경 상호작용
"오늘의AI위키"의 AI를 통해 더욱 풍부하고 폭넓은 지식 경험을 누리세요.
1. 개요
유전자-환경 상호작용은 유전자와 환경의 상호작용이 개체의 표현형에 영향을 미치는 현상을 의미한다. 이는 생물측정적, 발달적 개념으로 구분되며, 유전과 환경의 주효과 가산성이 무너지는 경우를 포함한다. 유전자-환경 상호작용은 유전학, 행동 유전학, 발달 유전학 등 다양한 분야에서 연구되며, 개인차, 발달 과정 연구에 기여한다. 정의에 대한 논쟁은 1930년대부터 이어져 왔으며, 분석 방법으로는 전통적 유전 연구, 분자 분석 등이 사용된다. 이러한 연구는 재현성 부족, 가법 모델과 승법 모델 간의 논쟁, 다중 환경 요인 상호작용 등의 한계를 가진다. 의학적으로는 질병 예방, 맞춤 의학 분야에 적용될 수 있으며, 약물 반응, 질병 감수성, 영양 섭취 등 다양한 측면에서 유전자와 환경의 상호작용을 고려한다.
더 읽어볼만한 페이지
- 인류유전학 - 피부색
피부색은 멜라닌의 양과 유형에 의해 결정되며, 자외선 노출, 비타민 D 합성, 사회적 요인 등 다양한 요소와 관련되어 진화해 왔다. - 인류유전학 - 근친혼
근친혼은 혈족 또는 인척 간의 결혼을 의미하며, 유전적 결함과 질병 발생의 위험으로 인해 각국에서 민법 등을 통해 규제하고 금혼 범위는 국가별로 차이를 보인다. - 심리학 이론 - 인지주의
인지주의는 인간의 인지 과정을 정보 처리 모델로 설명하며 지식 획득, 기억, 문제 해결 등을 연구하는 학문으로, 의미있는 학습을 위한 능동적 참여와 메타인지 훈련의 중요성을 강조하지만 계산적 설명에 대한 비판과 철학적 한계 또한 존재하며, 상황인지, 분산 인지 등의 새로운 이론으로 다각적인 이해를 시도한다. - 심리학 이론 - 성별 불일치의 원인
성별 불일치의 원인은 유전적, 호르몬적, 심리적, 사회적 요인 등 다양한 측면에서 연구되며, 뇌 구조의 차이, 블랜차드의 유형학 등이 관련 연구로 제시된다.
유전자-환경 상호작용 | |
---|---|
개요 | |
용어 | 유전자-환경 상호작용 |
정의 | 서로 다른 유전형이 다양한 환경 변화에 서로 다르게 반응하는 것 |
관련 분야 | 행동 생태학, 유전학, 역학 |
설명 | |
유전자-환경 상관관계와의 비교 | 유전자-환경 상관관계는 개인이 자신의 유전자형과 관련된 환경에 노출되는 것을 의미 |
연구의 중요성 | 질병, 행동, 발달 등 다양한 표현형에 대한 유전적 및 환경적 영향 이해 |
연구 방법 | 쌍둥이 연구, 입양 연구, 분자 유전학 연구 등 |
예시 | 특정 유전적 소인을 가진 사람이 흡연에 노출될 경우 폐암 발병 위험이 높아지는 경우 |
유전자-환경 상호작용의 유형 | 유전자-환경 상관관계 유전자-환경 상호작용 |
유전자-환경 상호작용의 분석 | 회귀 분석 분산 분석 |
유전자-환경 상호작용의 중요성 | 질병 예방 전략 개발 개인 맞춤형 치료법 개발 사회 정책 개발 |
추가 정보 | |
관련 용어 | 후성 유전학, 유전체, 환경 |
연구 동향 | 유전자-환경 상호작용 연구는 점점 더 복잡해지고 있으며, 다양한 분야의 연구자들이 참여하고 있다. |
참고 문헌 | Krebs, J. R. (2012). An introduction to behavioural ecology. Oxford: Wiley-Blackwell. Ottman, R. (1996). Gene-environment interaction: definitions and study designs. Preventive medicine, 25(6), 764-770. Green, A., & Trichopoulos, D. (2002). Skin cancer. In Textbook of cancer epidemiology (pp. 281-300). Oxford University Press. Cuhna, F., & Heckman, J. J. (2010). Investing in our young people. In Handbook of developmental science, behavior, and genetics. Wiley-Blackwell. Tabery, J., & Griffiths, P. E. (2010). Gene-environment interaction and developmental explanation. In Handbook of developmental science, behavior, and genetics. Wiley-Blackwell. |
2. 정의
표현형 전환 스위치는 자연계에 가장 보편적으로 나타나는 정상적인 형태의 유전자를 야생형 유전자(野生型遺傳子), 즉 표현형 1로 정의한다. 그리고 다른 특정 환경 조건 하에서 유전자좌 재결정으로 다른 단백질이 생성되어 표현형이 바뀐 표현형 2를 전제했을 때, 표현형 변이(표현형 2)가 다시 야생형(표현형 1)으로 복귀하는 절차를 갖는 표현형 복귀와 표현형 모사를 설명할 수 있다.
유전자-환경 상호작용에는 두 가지 개념이 있는데, 하나는 생물측정적 상호작용이고 다른 하나는 발달적 상호작용이다.
2. 1. 생물측정적 정의
오늘날 유전자-환경 상호작용에는 두 가지 다른 개념이 있다. Tabery[10]는 이를 '생물측정적' 상호작용과 '발달적' 상호작용으로, Sesardic[11]는 '통계적' 상호작용과 '상식적' 상호작용이라는 용어를 사용한다.생물측정적(또는 통계적) 개념은 개체군 내에서 표현형 변이에 대한 유전적 및 환경적 기여의 상대적 비율을 측정하려는 연구 프로그램에서 시작되었다. 생물측정적 유전자-환경 상호작용은 개체군 유전학 및 행동 유전학에서 특히 중요하게 다루어진다.[10] 어떤 상호작용이든 유전과 환경의 주효과의 가산성이 무너지게 되지만, 그러한 상호작용이 특정 환경에서 존재하는지 여부는 경험적인 질문이다. 생물측정적 상호작용은 특정 유기체의 발달보다는 개인차에 대한 연구와 관련이 있다.[12]
2. 2. 발달적 정의
오늘날 유전자-환경 상호작용에는 두 가지 다른 개념이 있다. Tabery[10]는 이를 '생물측정적' 상호작용과 '발달적' 상호작용으로, Sesardic[11]는 '통계적' 상호작용과 '상식적' 상호작용이라는 용어를 사용한다.발달적 유전자-환경 상호작용은 발달 유전학자와 발달 심리 생물학자들이 더 일반적으로 사용하는 개념이다. 발달적 상호작용은 단순히 통계적 현상으로 간주되지 않는다. 통계적 상호작용이 존재하든 않든, 발달적 상호작용은 어쨌든 개인의 표현형을 생성하는 데 있어 유전자와 환경의 인과적 상호작용으로 나타난다.[12]
3. 정의의 역사
로널드 피셔와 랜슬롯 호그벤 사이에서 발생한 첫 번째 논쟁은 1930년대까지 거슬러 올라가며, 오늘날까지도 유전자-환경 상호작용의 정의는 논쟁의 대상이 되고 있다.
피셔는 척도의 변화를 통해 제거할 수 있는 현상이기 때문에 통계 연구에서 상호작용을 제거하려고 했다. 반면 호그벤은 상호작용이 발달의 특정 요소에 대한 인과 관계에 대한 정보를 제공하기 때문에 제거하는 대신 조사해야 한다고 믿었다.
1970년대에 여러 과학자들은 비슷한 논쟁에 직면했다. 아서 젠슨은 "우리는 IQ와 학업 성취도를 얼마나 향상시킬 수 있는가?"라는 연구를 발표했는데, 많은 비판과 함께 과학자 리처드 르원틴과 데이비드 레이저의 반박에 직면했다. 르원틴과 레이저는 인과 관계 메커니즘을 결론 내리기 위해 연구 맥락에서 유전자-환경 상호작용을 무시할 수 없다고 주장한 반면, 젠슨은 상호작용이 순전히 통계적 현상일 뿐 발달과 관련이 없다고 옹호했다.[8]
같은 시기에 케네스 J. 로스만은 상호작용에 대한 통계적 정의의 사용을 지지했고, 연구자 쿠퍼와 호건은 상호작용의 정의와 존재가 사용되는 모델에 달려 있다고 믿었다.[9]
가장 최근의 비판은 테리 E. 모핏과 아브샬롬 캐스피의 ''5-HTTLPR''에 대한 연구와 스트레스 및 우울증에 미치는 영향에 의해 촉발되었다. 이전의 논쟁과 달리, 테리 E. 모핏과 아브샬롬 캐스피는 이제 상호작용이 존재하며 취약성 특성의 메커니즘을 밝히는 데 사용될 수 있음을 증명하기 위해 통계 분석을 사용하고 있었다. 잠밋, 오웬, 루이스는 피셔의 우려를 되풀이하며, 통계적 효과는 발달 과정과 관련이 없으며 척도의 차이로는 재현할 수 없을 것이라고 주장하며 반박했다.[8]
4. 분석 방법
유전자-환경 상호작용의 분석 방법으로는 반응 모델, 후보 유전자 연구, 다유전자 접근법, 유전체 전체 상호작용 검사(GEWIS) 접근법 등이 있다.
반응 모델이 반응 모델은 환경 상호 작용에 의한 유전자를 나타내는 평행하지 않은 선을 보여준다. 각 유전자형은 환경 변화에 각기 다른 방식으로 반응한다.
표현형 전환 스위치는 자연계에 가장 보편적인 형태의 유전자인 야생형 유전자(표현형 1)와 특정 환경 조건에서 유전자좌 재결정으로 생성된 다른 단백질로 인해 표현형이 바뀐 표현형 2를 전제한다. 표현형 변이(표현형 2)가 다시 야생형(표현형 1)으로 복귀하는 절차를 갖는 표현형 복귀와 표현형 모사를 설명할 수 있다.
후보 유전자 연구특정 환경과 관련하여 단일 유전자 변이(후보 유전자)가 미치는 영향을 연구하는 방법이다. 단일 염기 다형성(SNP)을 단일 이진 노출 요인과 비교하여 어떠한 영향이 있는지 확인한다. 그러나 이 연구는 높은 위험을 초래하는 생물학적 메커니즘에 대한 이해가 부족하여 선택하기 어려운 강력한 생물학적 가설을 필요로 한다.[14] 또한 일반적으로 작은 표본 크기로 인해 복제가 어려워 논쟁의 여지가 있는 결과를 초래하는 경우가 많다.[14]
다유전자 접근법복잡한 표현형의 다유전자 특성을 고려하여, 단일 후보 연구의 비효율성을 보완하는 방법이다. 동일한 환경적 요인이 여러 유전자와 상호작용할 수 있으므로, 다유전자 위험 점수를 생성하고 환경적 노출과 함께 검토한다. 이 방법은 아직 초기 단계이지만, 정신 질환과 일치하며, 질환 간의 내부 표현형 중첩으로 인해 다양한 진단에 적용될 수 있다.[14]
유전체 전체 상호작용 검사(GEWIS) 접근법환경과 다수의 독립적인 단일 염기 다형성(SNP) 사이의 상호작용을 조사한다. 2단계로 진행되며, 첫 번째 단계에서는 유전자 수준 검사 및 경로 기반 유전자 집합 분석을 사용하여 유전체를 필터링하고, 두 번째 단계에서는 G-E 연관성을 가진 SNP를 사용하여 상호작용을 검사한다.[15]
차등 민감성 가설은 유전체 전체 접근 방식을 통해 재확인되었다.[16]
4. 1. 전통적 유전 연구
입양 연구는 입양된 개인들이 동일한 환경을 공유하지 않은 생물학적 부모와 얼마나 유사한지를 조사하는 데 사용되어 왔다. 또한, 입양된 개인들은 유전적 차이와 공유된 환경 때문에 양부모와 비교된다. 예를 들어, 한 입양 연구는 불리한 입양 환경과 유전적 소인을 가진 스웨덴 남성이 알코올을 남용할 가능성이 더 높다는 것을 보여주었다.[13]일란성 쌍둥이를 사용하여 동일한 유전자형에 대한 다양한 환경의 영향을 관찰할 수 있다. 후속 연구에서는 생물 계량 모델링 기술을 활용하여 이란성 쌍둥이의 비교를 포함시켜 궁극적으로 서로 다른 환경에서 유전자 발현의 다양한 수준을 결정한다.[13]
가족 기반 연구는 유전적 위험 수준이 다른 대상에 대한 환경적 영향을 결정하기 위해 저위험 대조군과 고위험 아동을 비교하는 데 중점을 둔다. 예를 들어, 정신분열증을 앓는 어머니를 둔 고위험 아동에 대한 덴마크 연구는 안정적인 보호자가 없는 아동이 정신분열증 위험 증가와 관련이 있음을 보여주었다.[13]
4. 2. 분자 분석
유전자-환경 상호작용을 확인하기 위해 특정 환경과 관련하여 단일 유전자 변이(후보 유전자)가 미치는 영향을 연구하는 방법이 자주 사용된다. 단일 염기 다형성(SNP)을 단일 이진 노출 요인과 비교하여 어떠한 영향이 있는지 확인한다.이러한 후보 유전자 연구는 더 높은 위험을 초래하는 생물학적 메커니즘에 대한 이해가 부족하여 현재 선택하기 어려운 강력한 생물학적 가설을 필요로 한다.[14] 또한 일반적으로 작은 표본 크기로 인해 복제가 어려워 논쟁의 여지가 있는 결과를 초래하는 경우가 많다.[14]
복잡한 표현형의 다유전자 특성은 단일 후보 연구가 많은 수의 유전자 변이로부터 다양한 소규모 영향을 결정하는 데 비효율적일 수 있음을 시사한다.[14] 동일한 환경적 요인이 여러 유전자와 상호작용할 수 있으므로, 유전자-환경 상호작용을 분석하기 위해 다유전자 접근법을 사용할 수 있다. 다유전자 위험 점수는 특성과 관련된 대립 유전자와 그 효과에 따른 가중치를 사용하여 생성되며, 환경적 노출과 함께 검토된다. 이러한 연구 방법은 아직 초기 단계이지만, 정신 질환과 일치한다. 질환 간의 내부 표현형 중첩의 결과로, 유전자-환경 상호작용의 결과는 다양한 진단에 적용될 수 있음을 시사한다.[14]
유전체 전체 상호작용 검사(GEWIS) 접근법은 환경과 다수의 독립적인 SNP 사이의 상호작용을 조사한다. 이 포괄적인 연구에 효과적인 접근 방식은 2단계로 진행되며, 첫 번째 단계에서는 유전자 수준 검사 및 경로 기반 유전자 집합 분석을 사용하여 유전체를 필터링한다. 두 번째 단계에서는 G-E 연관성을 가진 SNP를 사용하여 상호작용을 검사한다.[15]
차등 민감성 가설은 유전체 전체 접근 방식을 통해 재확인되었다.[16]
5. 역학 모델
역학에서 유전자와 환경 간의 다양한 상호작용을 그룹화하기 위해 다음과 같은 모델을 사용할 수 있다.
이 반응 모델은 환경 상호 작용에 의한 유전자를 나타내는 평행하지 않은 선을 보여준다. 각 유전자형은 환경 변화에 각기 다른 방식으로 반응한다.
- 모델 A는 질병 자체를 유발하지 않지만, 위험 인자의 발현 수준을 증가시키는 유전자형을 설명한다. 예를 들어, 페닐케톤뇨증(PKU) 유전자는 정상보다 높은 수준의 페닐알라닌을 생성하며, 이는 정신 지체를 유발한다.
- 모델 B의 위험 인자는 반대로 질병 감수성에 직접적인 영향을 미치며, 이는 유전적 감수성에 의해 증폭된다.
- 모델 C는 그 반대를 묘사하며, 유전적 감수성이 질병에 직접적인 영향을 미치는 반면, 위험 인자는 이러한 영향을 증폭시킨다. 각각의 독립적인 상황에서 질병에 직접적인 영향을 미치는 인자는 그 자체로 질병을 유발할 수 있다.
- 모델 D는 이러한 상황에서 두 인자 모두 질병 위험에 영향을 미칠 수 없다는 점에서 다르지만, 유전적 감수성과 위험 인자가 모두 존재할 때 위험이 증가한다. 예를 들어, G6PD 결핍 유전자는 잠두 섭취와 결합될 때 용혈성 빈혈을 유발한다. 이 질병은 잠두를 먹고 G6PD 결핍이 없는 개인이나 잠두를 먹지 않는 G6PD 결핍자에게는 발생하지 않는다.
- 마지막으로, 모델 E는 환경적 위험 인자와 유전적 감수성이 개별적으로 모두 질병 위험에 영향을 미칠 수 있는 시나리오를 묘사한다. 그러나 결합될 때 질병 위험에 미치는 영향은 다르다.
이 모델들은 변수가 이진 변수라는 사실에 의해 제한되며, 다유전자적 또는 연속 척도 변수 시나리오는 고려하지 않는다.
6. 한계점
이 반응 모델은 환경 상호 작용에 의한 유전자를 나타내는 평행하지 않은 선을 보여주며, 각 유전자형은 환경 변화에 각기 다른 방식으로 반응한다.
표현형 전환 스위치는 자연계에 가장 보편적으로 나타나는 정상적인 형태의 유전자를 야생형 유전자wild type영어 (표현형1)로, 다른 특정 환경 조건하에서 유전자좌 재결정으로 다른 단백질이 생성되어 표현형이 바뀐 표현형2를 전제한다. 이때 표현형 변이(표현형2)가 다시 야생형(표현형1)으로 복귀하는 절차를 갖는 표현형 복귀와 표현형 모사를 설명할 수 있다.
6. 1. 재현성 부족
복잡 형질 연구는 재현할 수 없는 결과를 생성하는 것으로 인해 조사를 받아왔다. 예를 들어, 5-HTTLPR 유전자와 스트레스가 우울증 위험의 변화를 초래한다는 연구는 상반된 결과를 보였다.[17][15]일관성 없는 결과의 배후에 있는 가능한 설명은 다중 검정의 과도한 사용이다. 개별 실험에서 여러 표현형과 환경적 요인을 조사하기 때문에 연구가 부정확한 결과를 생성하는 것으로 추정된다.[15]
6. 2. 가법 모델 vs 승법 모델
이 반응 모델은 환경 상호 작용에 의한 유전자를 나타내는 평행하지 않은 선을 보여준다. 각 유전자형은 환경 변화에 각기 다른 방식으로 반응한다.유전자-환경 상호작용이 통계적 맥락에서 존재하는지 여부를 결정하는 데 도움이 되는 측정 척도에는 두 가지 다른 모델이 있다. 어떤 척도를 사용해야 하는지에 대한 이견이 있다. 이러한 분석에서 결합된 변수가 어느 모델에든 부합하면 상호작용이 없는 것이다. 결합된 효과는 상승 작용의 경우 더 커야 하고, 길항 작용의 결과의 경우 더 작아야 한다. 가법 모델은 위험 차이를 측정하는 반면, 승법 모델은 효과를 측정하기 위해 비율을 사용한다. 가법 모델은 집단에서 질병 위험을 예측하는 데 더 적합한 것으로 제시되었으며, 승법 모델은 질병의 원인에 더 적합하다.[2]
후생유전학은 유전자-환경 효과의 기본 메커니즘의 예이지만, 환경 효과가 가법적인지, 승법적인지, 또는 상호작용적인지 여부를 결론짓지는 않는다.[13]
6. 3. 다중 환경 요인 상호작용
새로운 연구들은 다수의 환경적 요인들의 상호작용 효과를 밝혀냈다. 예를 들어, 열악한 환경에서 자란 아이는 성인이 되어서도 열악한 환경에 더 민감하게 반응하여 궁극적으로 더 높은 심리적 고통 점수를 나타낼 수 있다. 이는 유전자 × 환경 × 환경의 삼원 상호작용을 보여준다. 같은 연구에서는 정신 질환 범위 내에서 환경적 영향에 대한 유전적 민감도를 결정하기 위해 생애 과정 접근법을 채택할 것을 제안한다.[18]7. 의학적 의의
개인은 특정 유전적 차이에 따라 환경 자극에 다르게 반응할 수 있다. 식이 요법, 신체 활동, 알코올 및 담배 사용, 수면, 독소, 오염 물질, 햇빛 등 다양한 요인이 개인에게 영향을 줄 수 있다. 예를 들어, 식단은 심혈관 질환, 제2형 당뇨병, 고혈압, 뇌졸중, 심근 경색증 등 다양한 심혈관 대사 질환에 큰 영향을 미친다. 유전자-환경 상호 작용은 질병 위험을 증가시키는 유전자의 영향을 조절하거나, 영양유전학에서처럼 유전자형과 표현형 관계를 악화시켜 위험을 증가시킬 수 있다.[22]
하지만 유방암, 제2형 당뇨병, 류마티스 관절염 연구에서는 유전자-환경 상호작용을 위험 예측 모델에 포함해도 위험 식별이 개선되지 않는다는 결과가 나왔다.[24]
7. 1. 질병 예방
의사들은 환경 위험 노출을 줄여 질병을 예방할 수 있는지에 관심을 가지고 있다. 어떤 사람들은 특정 환경에서 특정 질환에 대한 감수성 또는 저항성을 부여하는 유전적 요인을 가지고 있다. 유전적 요인과 환경적 자극 간의 상호 작용이 질병 표현형을 초래한다.[19] 유전자와 환경의 상호 작용을 사용하여 질병을 예방하거나 치료하는 데 상당한 공중 보건 이점이 있을 수 있다.[20]개인이 약물에 반응하는 것은 다양한 유전자와 환경의 상호 작용의 결과일 수 있다.[19] 따라서, 약물유전체학과 유전자와 환경의 상호 작용의 임상적 중요성은 유전체 정보가 환경 정보와 함께 개인의 약물 반응을 보다 정확하게 예측할 수 있다는 가능성에서 비롯된다. 이를 통해 의사는 부작용과 약물 부작용을 최소화하면서 환자에게 치료 효과를 얻기 위해 특정 약물과 복용량을 보다 정확하게 선택할 수 있다.[21] 이 정보는 또한 약물 부작용과 환자에게 반응하지 않을 가능성이 있는 약물을 처방하는 불편함과 관련된 의료 비용을 예방하는 데 도움이 될 수 있다.[19]
유사한 방식으로, 개인은 특정 유전적 차이 또는 대립 유전자에 따라 다른 환경 자극, 요인 또는 도전에 다르게 반응할 수 있다. 이러한 다른 요인에는 식이 요법 및 식이 요법 내의 특정 영양소, 신체 활동, 알코올 및 담배 사용, 수면(취침 시간, 지속 시간) 및 독소, 오염 물질, 햇빛(적도 북위–남위)을 포함한 다양한 노출(또는 노출체)이 포함된다. 예를 들어, 식단은 수정 가능하며 심혈관 질환, 관상 동맥 질환, 관상 심장 질환, 제2형 당뇨병, 고혈압, 뇌졸중, 심근 경색증, 비알코올성 지방간 질환을 포함한 다양한 심혈관 대사 질환에 상당한 영향을 미친다. 임상에서는 일반적으로 이러한 상태의 위험을 평가하는 데 혈액 지질(트리글리세리드, HDL, LDL 및 총 콜레스테롤), 혈당 특성(혈장 포도당 및 인슐린, HOMA-IR, HOMA-BC로서의 베타 세포 기능), 비만 인체 계측(BMI/비만, 지방량, 체중, 허리 둘레, 허리-엉덩이 비율), 혈관 측정(이완기 및 수축기 혈압) 및 염증 바이오마커가 포함된다. 유전자-환경 상호 작용은 질병 위험 증가를 부여하는 대립 유전자의 유해한 영향을 조절하거나, 영양유전학이라고도 하는 방식으로 유전자형-표현형 관계를 악화시키고 위험을 증가시킬 수 있다.[22]
반대로, 유방암, 제2형 당뇨병 및 류마티스 관절염을 사용한 질병 연구에 따르면 유전자-환경 상호작용(GxE)을 위험 예측 모델에 포함한다고 해서 위험 식별이 개선되지는 않는다.[24]
7. 2. 맞춤 의학
의사들은 환경 위험 노출을 줄여 질병을 예방할 수 있는지에 관심을 가지고 있다. 어떤 사람들은 특정 환경에서 특정 질환에 대한 감수성 또는 저항성을 부여하는 유전적 요인을 가지고 있으며, 유전적 요인과 환경적 자극 간의 상호 작용이 질병 표현형을 초래한다.[19] 유전자와 환경의 상호 작용을 사용하여 질병을 예방하거나 치료하는 데 상당한 공중 보건 이점이 있을 수 있다.[20]개인이 약물에 반응하는 것은 다양한 유전자와 환경의 상호 작용의 결과일 수 있다.[19] 따라서, 약물유전체학과 유전자와 환경의 상호 작용의 임상적 중요성은 유전체 정보가 환경 정보와 함께 개인의 약물 반응을 보다 정확하게 예측할 수 있다는 가능성에서 비롯된다. 이를 통해 의사는 부작용과 약물 부작용을 최소화하면서 환자에게 치료 효과를 얻기 위해 특정 약물과 복용량을 보다 정확하게 선택할 수 있다.[21] 이 정보는 또한 약물 부작용과 환자에게 반응하지 않을 가능성이 있는 약물을 처방하는 불편함과 관련된 의료 비용을 예방하는 데 도움이 될 수 있다.[19]
유사한 방식으로, 개인은 특정 유전적 차이 또는 대립 유전자에 따라 다른 환경 자극, 요인 또는 도전에 다르게 반응할 수 있다. 이러한 다른 요인에는 식이 요법 및 식이 요법 내의 특정 영양소, 신체 활동, 알코올 및 담배 사용, 수면(취침 시간, 지속 시간) 및 독소, 오염 물질, 햇빛(적도 북위–남위)을 포함한 다양한 노출(또는 노출체)이 포함된다. 예를 들어, 식단은 수정 가능하며 심혈관 질환, 관상 동맥 질환, 관상 심장 질환, 제2형 당뇨병, 고혈압, 뇌졸중, 심근 경색증, 비알코올성 지방간 질환을 포함한 다양한 심혈관 대사 질환에 상당한 영향을 미친다. 임상에서는 일반적으로 이러한 상태의 위험을 평가하는 데 혈액 지질(트리글리세리드, HDL, LDL 및 총 콜레스테롤), 혈당 특성(혈장 포도당 및 인슐린, HOMA-IR, HOMA-BC로서의 베타 세포 기능), 비만 인체 계측(BMI/비만, 지방량, 체중, 허리 둘레, 허리-엉덩이 비율), 혈관 측정(이완기 및 수축기 혈압) 및 염증 바이오마커가 포함된다. 유전자-환경 상호 작용은 질병 위험 증가를 부여하는 대립 유전자의 유해한 영향을 조절하거나, 영양유전학이라고도 하는 방식으로 유전자형-표현형 관계를 악화시키고 위험을 증가시킬 수 있다.[22]
반대로, 유방암, 제2형 당뇨병 및 류마티스 관절염을 사용한 질병 연구에 따르면 GxE 상호 작용을 위험 예측 모델에 포함한다고 해서 위험 식별이 개선되지는 않는다.[24]
8. 예시
반응 모델은 환경 상호 작용에 의한 유전자를 평행하지 않은 선으로 나타낸다. 각 유전자형은 환경 변화에 각기 다른 방식으로 반응한다.
(예시) Phenotype(표현형), Environment(환경), 유전자형(genotype) 1과 2형 |
표현형 전환 스위치는 자연계에 가장 보편적으로 나타나는 정상적인 형태의 유전자를 야생형 유전자(野生型遺傳子), 즉 표현형 1로, 그리고 다른 특정 환경 조건하에서 유전자좌 재결정으로 다른 단백질이 생성되어 표현형이 바뀐 표현형 2를 전제한다. 이때 표현형 변이(표현형 2)가 다시 야생형(표현형 1)으로 복귀하는 절차를 갖는 표현형 복귀와 표현형 모사를 설명할 수 있다.
식물에서 유전자형과 환경 상호작용 전략의 예시로 서로 다른 환경에 적응된 사탕수수 품종을 선택하는 경우가 있다.[26] 해당 연구에서 연구자들은 헥타르당 사탕수수 수확량(TCH)과 자당 비율(Pol% 사탕수수)로 측정된 높은 사탕수수 수확량과 관련된 거대 환경을 식별하기 위해 바이플롯 다변량 GEI 모델을 사용했다.
수수의 양친 계통 집단을 여러 해에 걸쳐 7개의 다양한 지리적 위치에서 반복적으로 재배한 결과, 한 그룹의 유전자형은 모든 환경에서 꽃 피우는 데 비슷한 생육 도일(GDD)을 필요로 하는 반면, 다른 그룹의 유전자형은 특정 환경에서는 더 적은 GDD를, 다른 환경에서는 더 높은 GDD를 필요로 하는 것으로 나타났다.
8. 1. 초파리
1981년 굽타(Gupta)와 르원틴(Lewontin)은 초파리를 대상으로 유전자-환경 상호작용에 대한 고전적인 실험을 수행했다.[25] 이들은 초파리의 평균 털 개수가 온도 변화에 따라 달라질 수 있음을 입증했다. 아래 그래프에서 볼 수 있듯이, 서로 다른 유전자형은 변화하는 환경에 다르게 반응했다.
각 선은 특정 유전자형을 나타내며, 선의 기울기는 온도 변화에 따른 표현형(털 개수)의 변화를 나타낸다. 어떤 개체는 온도가 증가함에 따라 털 개수가 증가했고, 다른 개체는 온도가 증가함에 따라 털 개수가 급격히 감소했다. 이는 반응 규범이 이 파리들에게서 평행하지 않다는 것을 보여주며, 유전자-환경 상호작용이 존재함을 증명했다.[25]
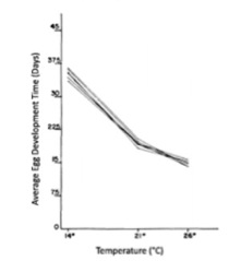
반면, 온도에 따른 초파리 알 발달 시간은 유전자-환경 상호작용이 없음을 보여준다. 아래 그래프는 다양한 개별 초파리에서 평행 반응 규범을 보여주는데, 이는 두 변수 사이에 유전자-환경 상호작용이 없음을 의미한다.

즉, 각 유전자형은 유사한 표현형을 생성하면서 변화하는 환경에 유사하게 반응한다. 모든 개별 유전자형의 경우, 평균 알 발달 시간은 온도가 증가함에 따라 감소한다. 환경은 동일하게 예측 가능한 방식으로 각 유전자형에 영향을 미치고 있다.[25]
8. 2. 식물
- 초파리에서: 유전자-환경 상호작용의 고전적인 예는 1981년 Gupta와 Lewontin이 초파리를 대상으로 수행하였다. 실험에서 초파리의 평균 털 개수가 온도 변화에 따라 달라질 수 있음을 입증했다. 위의 그래프에서 볼 수 있듯이, 서로 다른 유전자형은 변화하는 환경에 다르게 반응했다. 각 선은 특정 유전자형을 나타내며, 선의 기울기는 온도 변화에 따른 변화하는 표현형(털 개수)을 나타낸다. 어떤 개체는 온도가 증가함에 따라 털 개수가 증가했고, 다른 개체는 온도가 증가함에 따라 털 개수가 급격히 감소했다. 이는 반응 규범이 이 파리들에게서 평행하지 않다는 것을 보여주며, 유전자-환경 상호작용이 존재함을 증명했다.[25]
- 식물에서: 유전자형과 환경 상호작용 전략에 대한 흥미로운 접근 방식은 서로 다른 환경에 적응된 사탕수수 품종을 선택하는 데 사용된다.[26] 이 논문에서 연구자들은 두 번의 작물 주기에 걸쳐 8개의 서로 다른 지역에서 재배된 20개의 사탕수수 유전자형을 분석하여 헥타르당 사탕수수 수확량(TCH)과 자당 비율(Pol% 사탕수수)로 측정된 높은 사탕수수 수확량과 관련된 거대 환경을 식별하기 위해 바이플롯 다변량 GEI 모델을 사용했다. 그런 다음 평균 음의 상관관계를 보였음에도 불구하고 두 가지 수확량 변수를 2방향 결합 전략으로 연구하는 새로운 전략을 만들었다. 공변량 분석을 통해 모든 환경에서 두 수확량 변수에 가장 적합한 유전자형을 결정할 수 있었다.[27] GEI에서 공변량과 같은 이러한 새로운 전략의 사용은 AMMI 및 GGE에 대한 훌륭한 보완 분석임이 입증되었으며, 특히 수확량 개선이 여러 수확량 변수를 의미할 때 더욱 그렇다. 유전적으로 구별되는 7개의 서양톱풀 식물을 채집하고 각 식물에서 세 개의 삽수를 채취했다. 각 유전자형의 삽수 하나를 각각 낮은 고도, 중간 고도, 높은 고도에 심었다. 식물이 성숙했을 때, 어떤 유전자형도 모든 고도에서 가장 잘 자라지 않았으며, 각 고도에서 7개의 유전자형은 다르게 나타났다. 예를 들어, 한 유전자형은 중간 고도에서 가장 키가 컸지만 다른 두 고도에서는 중간 높이만 얻었다. 낮은 고도와 높은 고도에서 가장 잘 자라는 식물은 중간 고도에서 잘 자라지 못했다. 중간 고도는 전반적으로 최악의 결과를 낳았지만, 여전히 키가 큰 표본 하나와 중간 키 표본 두 개를 산출했다. 고도는 각 유전자형에 영향을 미쳤지만, 같은 정도나 같은 방식으로 나타나지는 않았다.[28] 수수의 양친 계통 집단을 여러 해에 걸쳐 7개의 다양한 지리적 위치에서 반복적으로 재배했다. 한 그룹의 유전자형은 모든 환경에서 꽃 피우는 데 비슷한 생육 도일(GDD)을 필요로 하는 반면, 다른 그룹의 유전자형은 특정 환경에서는 더 적은 GDD를, 다른 환경에서는 꽃 피우는 데 더 높은 GDD를 필요로 한다. 복잡한 개화 시기 패턴은 주요 개화 시기 유전자(''Ma1'',[29] ''Ma6'',[30] ''FT'', ''ELF3'')와 온도와 광주기 사이의 상호 작용을 포착하는 명시적인 환경 요인인 광열 시간(PTT)의 상호 작용에 기인한다.[31]
8. 3. 인간
페닐케톤뇨증(PKU)은 특정 간 효소를 코딩하는 유전자의 돌연변이에 의해 발생하는 인간 유전 질환이다. 이 효소가 없으면 아미노산인 페닐알라닌이 대사 경로에서 다음 아미노산으로 전환되지 않아 혈액 및 기타 조직에 과도하게 축적된다. 이는 신경 발달을 방해하여 정신 지체 등의 문제를 일으킨다. PKU는 미국에서 약 15,000명 중 1명꼴로 발생한다. 그러나 미국 및 기타 선진국에서는 표준 검사 프로그램을 통해 대부분의 영아가 손상된 상태로 성장하지 않는다. 혈액 내 페닐알라닌 수치가 높은 신생아는 페닐알라닌을 첨가하지 않은 특별 식단을 섭취할 수 있으며, 이를 즉시 시작하고 유지하면 PKU의 심각한 영향을 피할 수 있다.[32] 이처럼 환경 변화(페닐알라닌 섭취 감소)는 특정 특성의 표현형에 영향을 미칠 수 있으며, 이는 유전자-환경 상호작용을 보여준다.단일 염기 다형성 rs1800566은 NAD(P)H 퀴논 탈수소 효소 1(NQO1) 유전자에 존재하며, 이 돌연변이를 가진 사람은 NOx 오염 물질과 상호작용할 때 천식 및 일반적인 폐 손상 위험이 달라진다.[33][34]
모노아민 산화 효소 A(MAOA) 유전자 프로모터의 기능적 다형성은 초기 삶의 외상과 폭력, 반사회적 행동 증가 위험 사이의 연관성을 조절한다. 낮은 MAOA 활성은 어린 시절 피해를 입었다고 보고하는 성인에게서 공격적이고 반사회적인 행동의 주요 위험 요인이다. 어린 시절 학대를 받았더라도 높은 수준의 MAOA 발현을 나타내는 유전자형을 가진 사람은 반사회적 행동 증상을 보일 가능성이 낮다.[35] 그러나 이러한 발견은 복잡한 특성에 대한 유전자 연관성 연구가 확인하기 매우 어렵다는 점을 고려하여 신중하게 해석해야 한다.[36]
참조
[1]
서적
An Introduction to Behavioural Ecology
Wiley-Blackwell
2012-04-02
[2]
논문
Gene-environment interaction: definitions and study designs
1996
[3]
서적
Textbook of Cancer Epidemiology
Oxford University Press
[4]
서적
Nature via Nurture: Genes, Experience, & What Makes Us Human
Harper Collins
[5]
서적
Genes and Behavior: Nature–Nurture Interplay Explained
Blackwell Publishers
[6]
서적
Investing in Our Young People
Cambridge University Press
2010
[7]
서적
Handbook of Developmental Science, Behavior, and Genetics
https://archive.org/[...]
Wiley-Blackwell
2010
[8]
논문
Debating interaction: the history, and an explanation
2015-08
[9]
논문
Concepts of interaction
1980-10
[10]
논문
Biometric and developmental gene-environment interactions: looking back, moving forward
[11]
서적
Making sense of heritability
Cambridge: Cambridge University Press
[12]
서적
Handbook of Developmental Science, Behavior, and Genetics
Wiley-Blackwell
[13]
논문
Gene-environment interaction in psychological traits and disorders
http://journals.scho[...]
2011
[14]
논문
Gene-environment interaction and psychiatric disorders: Review and future directions
http://qmro.qmul.ac.[...]
2018-05
[15]
논문
Gene-environment interactions in genome-wide association studies: current approaches and new directions
2013-10
[16]
논문
A Genome-Wide Test of the Differential Susceptibility Hypothesis Reveals a Genetic Predictor of Differential Response to Psychological Treatments for Child Anxiety Disorders
2016
[17]
논문
Genetic sensitivity to the environment: the case of the serotonin transporter gene and its implications for studying complex diseases and traits
2010-05
[18]
논문
Moderation of adult depression by the serotonin transporter promoter variant (5-HTTLPR), childhood abuse and adult traumatic events in a general population sample
2012-04
[19]
논문
Using pharmacogenetics to improve drug safety and efficacy
2004-06
[20]
논문
Do we need genomic research for the prevention of common diseases with environmental causes?
2005-05
[21]
논문
Pharmacogenomics and individualized drug therapy
2006
[22]
논문
Genotype-phenotype associations: modulation by diet and obesity
2008-12
[23]
논문
CardioGxE, a catalog of gene-environment interactions for cardiometabolic traits
2014
[24]
논문
Inclusion of gene-gene and gene-environment interactions unlikely to dramatically improve risk prediction for complex diseases
2012-06
[25]
논문
A Study of Reaction Norms in Natural Populations of Drosophila Pseudoobscura
1982-09
[26]
논문
Genotype–Environment Interaction, Megaenvironments and Two-Table Coupling Methods for Sugarcane Yield Studies in Venezuela
[27]
논문
Co-Inertia Analysis and the Linking of Ecological Data Tables
https://hal.archives[...]
[28]
논문
Experimental studies on the nature of species. III. Environmental responses of climatic races of Achillea, Carnegie Inst Washington Publ 581
[29]
논문
Coincident light and clock regulation of pseudoresponse regulator protein 37 (PRR37) controls photoperiodic flowering in sorghum
2011-09
[30]
논문
Ghd7 ( Ma 6 ) Represses Sorghum Flowering in Long Days: Ghd7 Alleles Enhance Biomass Accumulation and Grain Production
2014-07-01
[31]
논문
Genomic and environmental determinants and their interplay underlying phenotypic plasticity
2018-06
[32]
서적
Behavioral Genetics
AAAS
[33]
논문
Traffic-related air pollution, oxidative stress genes, and asthma (ECHRS)
2009-12
[34]
논문
NQO1 rs1800566 polymorph is more prone to NOx induced lung injury: Endorsing deleterious functionality through informatics approach
2016-10
[35]
논문
Role of genotype in the cycle of violence in maltreated children
2002-08
[36]
논문
Gene X environment interactions at the serotonin transporter locus
2009-02
[37]
서적
An Introduction to Behavioural Ecology
https://archive.org/[...]
Wiley-Blackwell
2012-04-02
[38]
논문
Gene-environment interaction: definitions and study designs
1996
본 사이트는 AI가 위키백과와 뉴스 기사,정부 간행물,학술 논문등을 바탕으로 정보를 가공하여 제공하는 백과사전형 서비스입니다.
모든 문서는 AI에 의해 자동 생성되며, CC BY-SA 4.0 라이선스에 따라 이용할 수 있습니다.
하지만, 위키백과나 뉴스 기사 자체에 오류, 부정확한 정보, 또는 가짜 뉴스가 포함될 수 있으며, AI는 이러한 내용을 완벽하게 걸러내지 못할 수 있습니다.
따라서 제공되는 정보에 일부 오류나 편향이 있을 수 있으므로, 중요한 정보는 반드시 다른 출처를 통해 교차 검증하시기 바랍니다.
문의하기 : help@durumis.com