맨위로가기

탈카보닐화

"오늘의AI위키"는 AI 기술로 일관성 있고 체계적인 최신 지식을 제공하는 혁신 플랫폼입니다.
"오늘의AI위키"의 AI를 통해 더욱 풍부하고 폭넓은 지식 경험을 누리세요.

1. 개요

탈카보닐화는 분자에서 일산화 탄소(CO)가 제거되는 화학 반응을 의미한다. 유기화학에서 금속 촉매가 없는 경우 드물게 일어나며, 폼산의 탈카보닐화가 그 예시이다. 알데하이드는 용해성 금속 착물에 의해 촉매되는 탈카보닐화를 통해 알케인과 일산화 탄소로 전환될 수 있으며, 츠지-윌킨슨 탈카보닐화 반응이 대표적이다. 생체 내에서는 헴이 헴 산소화효소에 의해 분해되면서 일산화 탄소를 방출하며, 무기 및 유기 금속 합성에서 금속 카보닐 화합물의 합성에 활용되기도 한다.

2. 유기화학

금속 촉매가 없으면 유기화학에서 탈카보닐화(vs 탈카르복실화)는 거의 관찰되지 않는다. 한 가지 예외는 폼산의 탈카보닐화이다.[10]

:HCO2H → CO + H2O

이 반응은 촉매와 탈수 반응제로 작용하는 황산에 의해 유도된다. 이 반응을 통해 폼산은 때때로 이 독성 가스의 실린더 대신 실험실에서 CO의 공급원으로 사용된다.[10] 강한 열을 가하면 그 유도체 중 일부는 촉매를 추가하지 않아도 탈카보닐화될 수 있다. 예를 들어, 다이메틸폼아마이드는 끓는점(154 °C)까지 가열하면 천천히 분해되어 다이메틸아민일산화 탄소를 생성한다. 염화 폼일과 같은 일부 폼산 유도체는 실온(또는 그 이하)에서 자발적인 탈카보닐화를 겪는다.

염화 옥살릴((COCl)2)과 관련된 반응(예: 가수분해, 카복실산과 반응, 스원 산화 등)은 종종 분해 과정을 통해 이산화 탄소일산화 탄소 모두를 방출한다.

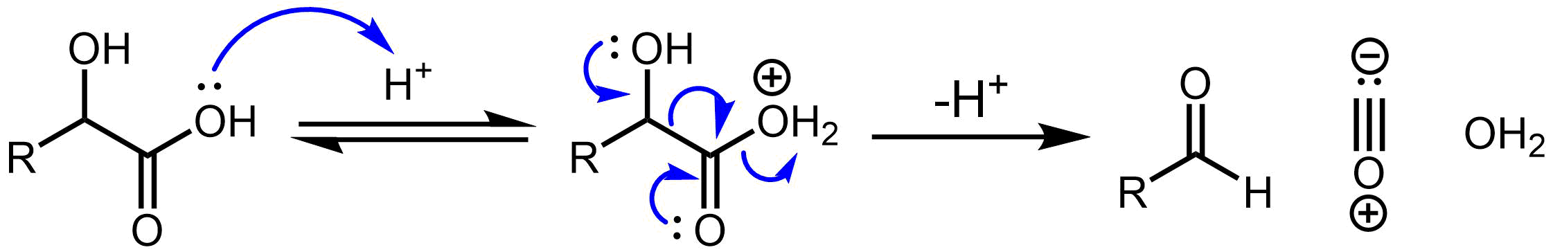
α-하이드록시산(예: 젖산, 글리콜산)은 다음과 같은 메커니즘에 의해 촉매 농축 황산으로 처리될 때 탈카보닐화를 겪는다.[11]

산에 의한 α-하이드록시산의 탈카보닐화


실라카복실산(R3SiCOOH)은 가열 또는 염기 처리시 탈카보닐화되어 일산화 탄소 생성 분자로 조사되었다.[12][13]

2. 1. 폼산의 탈카보닐화

폼산(HCOOH)은 황산(H₂SO₄) 촉매 하에 탈카보닐화되어 일산화 탄소(CO)와 물(H₂O)을 생성한다.[1] 황산은 촉매이자 탈수 반응제로 작용한다. 이 반응을 통해 폼산은 실험실에서 CO 공급원으로 사용될 수 있다.[1]

강력한 가열을 통해 폼산과 일부 유도체는 촉매를 첨가하지 않아도 탈카보닐화될 수 있다. 예를 들어, N,N-다이메틸폼아마이드는 끓는점에서 서서히 분해되어 다이메틸아민과 일산화 탄소를 생성한다. 폼일 클로라이드와 같은 폼산 유도체는 실온(또는 그 이하)에서 자발적인 탈카보닐화를 겪는다.[1]

옥살릴 클로라이드를 포함하는 반응(예: 가수분해, 카르복실산과의 반응, 스원 산화 등)은 종종 분해 과정을 통해 이산화 탄소와 일산화 탄소를 모두 방출한다.

알파-하이드록시산(예: 젖산 및 글리콜산)은 촉매 농축 황산으로 처리하면 탈카보닐화를 겪는다.[2]

실리카르복실산은 가열 또는 염기 처리 시 탈카보닐화를 겪으며 일산화 탄소 생성 분자로 연구되었다.[3][4]

2. 2. 알데하이드 탈카보닐화

일반적인 알데하이드(RCHO)는 알케인(RH)과 일산화 탄소(CO)로 전환될 수 있다.[14]

:RCHO → RH + CO

탈카보닐화는 용해성 금속 착물에 의해 촉매될 수 있다.[15][14] 이러한 반응은 금속 아실 수소화물의 매개를 통해 진행된다. 츠지-윌킨슨 탈카보닐화 반응은 윌킨슨 촉매(RhCl(PPh₃)₃)를 사용하는 대표적인 예시이다. 이 반응은 엄밀히 말하면 유리 일산화 탄소가 아닌 로듐 카보닐 착물을 형성한다.[5] 이 반응은 복잡한 천연물의 전합성 과정에서 소규모로 수행되는데, 이는 화학량론적 로듐이 사용될 때 약간 상승된 온도(80 °C)에서 매우 효율적이지만, CO의 압출을 통한 촉매 회전율은 매우 안정적인 로듐 카보닐 착물의 해리를 필요로 하고 200 °C를 초과하는 온도를 필요로 하기 때문이다.[5] 이 전환은 탈카보닐화가 드문 반응인 유기 합성에서 가치가 있다.[5]

츠지-윌킨슨 탈카보닐화


탈카보닐화는 당의 전환에서도 관련이 있다.[16] 케톤 및 기타 카보닐 함유 작용기는 알데하이드보다 탈카보닐화에 대한 저항성이 더 크다.

옥살산 다이메틸(DMO)의 탄산 다이메틸(DMC)로의 전환

2. 3. 고리형 협동반응

케톤을 포함하는 일부 고리형 분자는 킬레트로피 압출 반응을 거쳐 나머지 구조에 새로운 탄소-탄소 π 결합을 남긴다.[17] 이 반응은 헥사페닐벤젠의 합성에서와 같이 자발적일 수 있다.[17][8] 사이클로프로펜온과 사이클로뷰텐다이온은 각각 CO 1분자 또는 2분자를 제거하여 알카인으로 전환될 수 있다.[17]

2. 4. 기타 유기 화합물의 탈카보닐화

3. 생화학

생체 내에서 산소(O2)와 NADPH, 그리고 헴 산소화효소에 의해 분해되면서 일산화 탄소(CO)를 방출한다.[18][9] 이 과정에서 빌리베르딘, 철 이온(Fe²⁺), NADP⁺ 및 물(H₂O)이 함께 생성된다.[18][9] 반응식은 다음과 같다.

: 헴 b + 3 O2 + 3½ NADPH + 3½ H+ → 빌리베르딘 + Fe2+ + CO + 3½ NADP+ + 3H2O

4. 무기 및 유기 금속 합성

많은 금속 카보닐 화합물은 탈카보닐화 반응을 통해 합성될 수 있다. 바스카 착물의 CO 리간드는 다이메틸폼아마이드(DMF)의 탈카보닐화를 통해 생성된다.

:IrCl3(H2O)3 + 3 P(C6H5)3 + HCON(CH3)2 + C6H5NH2 → IrCl(CO)[P(C6H5)3]2 + [(CH3)2NH2]Cl + OP(C6H5)3 + [C6H5NH3]Cl + 2 H2O

Fe(CO)₅ 및 Mo(CO)₆의 다양한 유도체는 탈카보닐화 반응을 통해 합성될 수 있으며, 이 과정에서 사이클로펜타다이엔일리론 다이카보닐 이량체([CpFe(CO)₂]₂)가 생성되기도 한다.

:2 Fe(CO)5 + C10H12 → (''η''5-C5H5)2Fe2(CO)4 + 6 CO + H2

트라이메틸아민 N-옥사이드(Me₃NO)와 같은 시약을 사용하여 광화학적으로 탈카보닐화를 유도할 수 있다.

:Me3NO + L + Fe(CO)5 → Me3N + CO2 + LFe(CO)4

참조

[1] 간행물 1-Adamantanecarboxylic Acid
[2] 서적 Principles of organic synthesis Blackie Academic & Professional 1993
[3] 논문 Base-catalyzed Elimination Reactions of Triphenylsilanecarboxylic Acid and its Derivatives 1955-04
[4] 논문 Silacarboxylic Acids as Efficient Carbon Monoxide Releasing Molecules: Synthesis and Application in Palladium-Catalyzed Carbonylation Reactions 2011-11-16
[5] 논문 A General and Convenient Method for the Rhodium-Catalyzed Decarbonylation of Aldehydes 2006
[6] 서적 Organotransition Metal Chemistry, from Bonding to Catalysis University Science Books 2010
[7] 논문 Highly Selective Decarbonylation of 5-(Hydroxymethyl)furfural in the Presence of Compressed Carbon Dioxide 2011
[8] 논문 Precursors to the cyclo[''n'']carbons: from 3,4-dialkynyl-3-cyclobutene-1,2-diones and 3,4-dialkynyl-3-cyclobutene-1,2-diols to cyclobutenodehydroannulenes and higher oxides of carbon
[9] 논문 The heme synthesis and degradation pathways: Role in oxidant sensitivity 2000
[10] 간행물 1-Adamantanecarboxylic Acid
[11] 서적 Principles of organic synthesis https://archive.org/[...] Blackie Academic & Professional 1993
[12] 논문 Base-catalyzed Elimination Reactions of Triphenylsilanecarboxylic Acid and its Derivatives 1955-04
[13] 논문 Silacarboxylic Acids as Efficient Carbon Monoxide Releasing Molecules: Synthesis and Application in Palladium-Catalyzed Carbonylation Reactions 2011-11-16
[14] 논문 A General and Convenient Method for the Rhodium-Catalyzed Decarbonylation of Aldehydes 2006
[15] 서적 Organotransition Metal Chemistry, from Bonding to Catalysis University Science Books 2010
[16] 논문 Highly Selective Decarbonylation of 5-(Hydroxymethyl)Furfural in the Presence of Compressed Carbon Dioxide 2011
[17] 논문 Precursors to the cyclo[''n'']carbons: from 3,4-dialkynyl-3-cyclobutene-1,2-diones and 3,4-dialkynyl-3-cyclobutene-1,2-diols to cyclobutenodehydroannulenes and higher oxides of carbon
[18] 논문 The Heme Synthesis and Degradation Pathways: Role in Oxidant Sensitivity: Heme Oxygenase Has Both Pro- and Antioxidant Properties 2000



본 사이트는 AI가 위키백과와 뉴스 기사,정부 간행물,학술 논문등을 바탕으로 정보를 가공하여 제공하는 백과사전형 서비스입니다.
모든 문서는 AI에 의해 자동 생성되며, CC BY-SA 4.0 라이선스에 따라 이용할 수 있습니다.
하지만, 위키백과나 뉴스 기사 자체에 오류, 부정확한 정보, 또는 가짜 뉴스가 포함될 수 있으며, AI는 이러한 내용을 완벽하게 걸러내지 못할 수 있습니다.
따라서 제공되는 정보에 일부 오류나 편향이 있을 수 있으므로, 중요한 정보는 반드시 다른 출처를 통해 교차 검증하시기 바랍니다.

문의하기 : help@durumis.com