아세틸콜린에스터레이스 억제제
"오늘의AI위키"의 AI를 통해 더욱 풍부하고 폭넓은 지식 경험을 누리세요.
1. 개요
아세틸콜린에스터레이스 억제제는 아세틸콜린의 분해를 억제하여 신경전달을 증진시키는 물질이다. 작용 기전에 따라 가역적 억제제, 준가역적 억제제, 비가역적 억제제로 나뉘며, 유기 인 화합물, 카바메이트, 그리고 기타 다양한 종류가 있다. 이들은 살충제, 화학 무기, 독, 그리고 다양한 의학적 목적으로 사용된다. 의학적으로는 중증 근무력증, 녹내장, 알츠하이머병, 조현병 등의 치료에 활용되며, 부작용으로는 설사, 두통, 서맥 등이 나타날 수 있다.
더 읽어볼만한 페이지
아세틸콜린에스터레이스 억제제 | |
---|---|
약물 정보 | |
ATC 코드 | N06DA03 (donepezil) N06DA04 (rivastigmine) N06DA02 (galantamine) N06DX01 (huperzine A) |
법적 지위 | 처방전 필요 |
투여 경로 | 경구, 경피 |
약리학적 정보 | |
생체 이용률 | 가변적 |
단백질 결합 | 가변적 |
대사 | 간 |
배설 경로 | 신장 |
식별 정보 | |
CAS 등록 번호 | 918-68-3 (에드rophonium) 51-60-5 (네오스티그민) 59-99-6 (피리도스티그민) 114-80-7 (에세린) 101-26-8 (디isopropyl fluorophosphate) 126-41-0 (카바릴) 107-49-3 (테트라에틸 파이로포스페이트) 302-22-7 (타크린) 120011-70-3 (도네페질) 123441-03-2 (갈란타민) 129101-54-8 (리바스티그민) 102518-79-6 (후퍼진 A) |
PubChem CID | 3226 (에드rophonium) 4471 (네오스티그민) 4763 (피리도스티그민) 6195 (에세린) 2917 (카바릴) 5396 (타크린) 2758 (도네페질) 76960 (갈란타민) 6435619 (리바스티그민) 462238 (후퍼진 A) |
DrugBank | DB00641 (에드rophonium) DB00571 (네오스티그민) DB00477 (피리도스티그민) DB00854 (타크린) DB00966 (도네페질) DB00954 (갈란타민) DB00672 (리바스티그민) DB01005 (후퍼진 A) |
UNII | 9211L3O3ED (에드rophonium) 4WHI6P21VX (네오스티그민) H2R38W7QCN (피리도스티그민) N1N9O3131S (타크린) 8M46OQ02SJ (도네페질) 22K72WJO1H (갈란타민) 4K9F3F49Z9 (리바스티그민) H1W2T4NN9C (후퍼진 A) |
기타 명칭 | |
상품명 | Aricept (도네페질) Exelon (리바스티그민) Razadyne (갈란타민) |
2. 작용 기전
아세틸콜린에스터레이스 억제제는 아세틸콜린에스터레이스에 작용하여 아세틸콜린의 분해를 억제한다. 크게 가역적 억제제와 비가역적 억제제로 나뉜다.
가역적 억제제는 콜린에스터레이스에 가역적으로 결합하여 아세틸콜린의 분해를 일시적으로 억제하며, 주로 치료 목적으로 사용된다.[1] 가역적 억제제의 예시는 다음과 같다.
계열 | 약물명 (상품명) |
---|---|
카바메이트계 | 피소스티그민 |
네오스티그민 (와고스티그민) | |
피리도스티그민 (메스티논) | |
리바스티그민 (엑셀론, 리바스타치) | |
디스티그민 (우브레티드) | |
암베노늄 (마이텔라제) | |
페난트렌계 | 갈란타민 (레미닐) |
피페리딘계 | 도네페질 (아리셉트) |
기타 | 타크린 |
후페르진 A | |
에드로포늄 (텐실론, 안티렉스) | |
페노티아진계 (항정신병 약) |
준가역적 억제제는 콜린에스터레이스에 대한 억제 효과가 가역적 억제제보다는 오래 지속되지만, 비가역적 억제제보다는 짧다. 농약, 화학 무기 등으로 사용된다.[1] 유기 인계 억제제인 사린, VX 가스 등이 그 예시이다.
비가역적 억제제는 유기인산화합물을 이용하여 아세틸콜린을 가수분해하는 콜린에스터레이스를 억제한다.
2. 1. 유기인산화합물
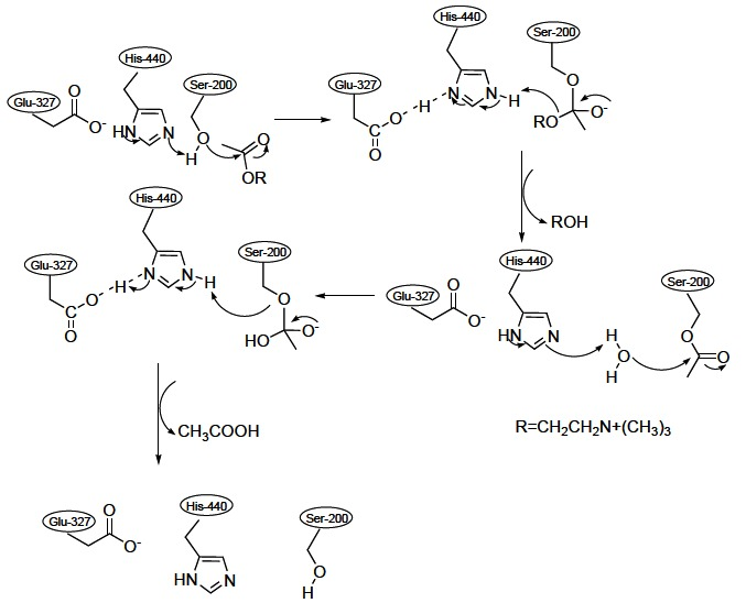
테트라에틸 피로인산염(TEPP)이나 사린과 같은 유기인산화합물은 신경전달물질인 아세틸콜린을 가수분해시키는 콜린에스터레이스를 억제한다.[45]콜린에스터레이스의 활성 부위에는 음이온 부위와 에스터 부위라는 두 가지 중요한 부위가 있다. 아세틸콜린이 콜린에스터레이스의 음이온 부위에 결합하면 아세틸콜린의 아세틸기가 에스터 부위에 결합할 수 있게 된다. 에스터 부위에 위치한 주요 아미노산 잔기는 글루탐산, 히스티딘, 세린이다. 이 잔기들이 아세틸콜린의 가수분해를 매개한다.

에스터 부위에서 아세틸콜린은 절단되어 유리된 상태의 콜린 일부와 아세틸화된 콜린에스터레이스가 남게 된다. 아세틸화된 상태의 콜린에스터레이스가 자기 자신을 재생하기 위해서는 가수분해되어야 한다.[45][46]
TEPP와 같은 억제제는 콜린에스터레이스의 에스터 부위에 위치한 세린 잔기를 변형시킨다.

인산화로 인해 아세틸콜린의 아세틸기가 콜린에스터레이스의 에스터 부위에 결합하지 못하게 된다. 아세틸기가 콜린에스터레이스에 결합하지 못하면 아세틸콜린이 분해되지 못하게 된다. 따라서 아세틸콜린이 분해되지 않은 채로 남아 시냅스에 쌓이게 된다. 이로 인해 아세틸콜린 수용체가 계속 활성화되고 TEPP 중독의 급성 증상을 유발한다.[47] TEPP(또는 다른 유기인산화합물)에 의한 콜린에스터레이스의 인산화는 비가역적이다. 이 때문에 콜린에스터레이스는 영구적으로 억제된다.[45][46]
콜린에스터레이스는 다음의 반응식에 따라 비가역적으로 인산화된다.
반응식에서 E는 콜린에스터레이스, PX는 TEPP 분자, E-PX가 가역적으로 인산화된 콜린에스터레이스, k3은 두 번째 단계의 반응속도상수, EP는 인산화된 콜린에스터레이스, X는 TEPP의 남은 기(基)이다.
콜린에스터레이스의 비가역적인 인산화는 두 단계에 걸쳐 일어난다. 첫 번째 단계에서 콜린에스터레이스는 가역적으로 인산화되며 매우 반응이 빠르게 일어난다. 그 후 두 번째 단계에서 콜린에스터레이스는 TEPP와 공유 결합하여 매우 안정한 상태의 복합체를 형성한다. 두 번째 단계는 느린 반응이지만 이 단계 후에는 콜린에스터레이스가 비가역적으로 억제된다.[45]
시간에 의존적인 콜린에스터레이스의 비가역적 억제는 다음의 식으로 나타낼 수 있다.[45]
:
이 공식에서 E는 남은 효소의 활성, E0는 초기 효소의 활성, t는 콜린에스터레이스와 TEPP를 섞은 후의 시간 간격, KI는 콜린에스터레이스-TEPP 복합체(E-PX)의 해리상수, I는 TEPP의 농도를 뜻한다.
위의 반응 기전과 공식은 다른 유기인산화합물에서도 동일하며, 반응 과정 역시 똑같이 일어난다.
더 나아가 특정 유기인산화합물은 유기인산 유도 지연성 다발신경병증(OPIDN)을 일으킬 수 있다. 이 질환은 말초신경계와 중추신경계의 축삭이 퇴행하는 것이 특징이며, 유기인산에 오염된 이후 수 주 후에 발병한다. 신경병증 표적 에스터레이스(NTE)이 병의 원인인 유기인산화합물에 의해 영향을 받는 것으로 여겨진다. 그러나 TEPP가 OPIDN을 일으키는 유기인산이라는 근거는 없다.[48]
2. 2. 가역적 억제제
콜린에스터레이스에 가역적으로 결합하여 아세틸콜린의 분해를 일시적으로 억제한다. 치료 목적으로 주로 사용된다.[1]다음은 가역적 억제제의 예시이다.
계열 | 약물명 (상품명) |
---|---|
카바메이트계 | 피소스티그민 |
네오스티그민 (와고스티그민) | |
피리도스티그민 (메스티논) | |
리바스티그민 (엑셀론, 리바스타치) | |
디스티그민 (우브레티드) | |
암베노늄 (마이텔라제) | |
페난트렌계 | 갈란타민 (레미닐) |
피페리딘계 | 도네페질 (아리셉트) |
기타 | 타크린 |
후페르진 A | |
에드로포늄 (텐실론, 안티렉스) | |
페노티아진계 (항정신병 약) |
2. 3. 준가역적 억제제
준가역적 억제제는 콜린에스터레이스에 대한 억제 효과가 가역적 억제제보다는 오래 지속되지만, 비가역적 억제제보다는 짧다. 농약, 화학 무기 등으로 사용된다.[1]- 유기 인계
- 사린
- VX 가스
이 외에도 다양한 유기 인계 억제제가 존재한다.[1]
3. 활용
아세틸콜린에스터레이스 억제제는 다음과 같이 다양한 분야에서 활용된다.[45]
- 독과 독극물로 자연적으로 발생한다(예: 온키달).
- 신경 작용제와 같은 무기로 사용된다.
- 살충제로 사용된다 (말라티온 등).
- 의학적 목적으로 사용된다.
- 중증 근무력증, 녹내장, 기립성 빈맥 증후군 치료에 사용되며, 항콜린제 중독에 대한 해독제로도 쓰인다.
- 비탈분극성 근이완제의 효과를 반전시키는 데 사용된다.
- 알츠하이머병과 같은 질병의 신경정신적 증상(특히 무감정) 치료, 렘수면을 연장시켜 자각몽 발생 확률을 높이는 데 사용된다.[49]
- 루이체 치매, 파킨슨병, 알츠하이머병 치료와 조현병 환자의 인지장애 치료에도 사용된다.
- 자폐를 치료하고 자폐가 있는 아동에서 렘수면 비율을 늘리는 데 사용된다.[54][55]
3. 1. 의학적 용도
아세틸콜린에스터레이스 억제제(AChEI)는 다음과 같은 다양한 의학적 용도로 사용된다.[45]- 중증 근무력증 치료: 신경근 접합부의 신호 전달을 강화한다.[45]
- 녹내장 치료: 안압을 낮춘다.[45]
- 기립성 빈맥 증후군 치료: 증상을 완화한다.[45]
- 항콜린제 중독 해독: 항콜린제의 효과를 상쇄한다.[45]
- 비탈분극성 근이완제 효과 역전: 수술 후 근육 이완 효과를 되돌린다.[45]
- 신경퇴행성 질환 치료:
- 알츠하이머병: 인지 기능 저하, 특히 기억 및 학습 장애를 개선한다.[45]
- 루이체 치매: 인지 기능 저하 및 환시 등의 정신 증상을 완화한다.[45][50]
- 파킨슨병: 인지 기능 저하 및 환시 등의 정신 증상을 완화한다.[45][50]
- 조현병 환자의 인지 장애 치료: 양성 증상, 음성 증상, 기분 장애 개선에 효과가 있다는 연구 결과가 있다.[51][52][53]
- 자폐 스펙트럼 장애 치료: 렘수면 비율을 높여 자각몽 유도를 돕는다.[54][55]
- 치매 환자의 약물 관리: 초기에서 중기 치매 환자에게 아세틸콜린에스터레이스 억제제 사용을 고려할 것을 권고한다.[18]
아세틸콜린에스터레이스 억제제로 사용되는 대표적인 가역적 콜린에스터레이스 억제제는 다음과 같다.
3. 2. 비의학적 용도
아세틸콜린에스터레이스 억제제는 다음과 같은 비의학적 용도로 사용된다.[45]- 살충제: 말라티온과 같은 유기인산계 살충제나 카바메이트계 살충제가 있다.
- 화학무기: 사린, VX 가스와 같은 신경작용제가 이에 속한다.
- 독: 일부 생물의 독(예: 온키달)에 포함되어 있다.
유기인산계 살충제의 예는 다음과 같다.
카바메이트계 살충제의 예는 다음과 같다.
카바메이트계 살충제 |
---|
알디카브 |
벤디오카브 |
카바릴 |
카벤다짐 |
카보푸란 |
4. 부작용
아세틸콜린에스터레이스 억제제는 다양한 부작용을 유발할 수 있다. 흔하게 나타나는 가벼운 부작용으로는 설사, 두통, 불면증, 구역질, 구토 등이 있으며, 이러한 증상은 보통 시간이 지나면서 사라진다. 네오스티그민이 수술 후 구역질이나 구토에 미치는 영향은 논쟁의 여지가 있으며, 명확한 연관성은 없지만 항콜린제를 처방했을 때 그 위험이 감소한다는 근거는 존재한다.[59]
요폐 환자에게 가역적 콜린에스터레이스 억제제를 복용하는 것은 금기시된다.
4. 1. 일반적인 부작용
아세틸콜린에스터레이스 억제제 복용 시 일어날 수 있는 부작용은 다음과 같다.[56][57]가벼운 부작용 - 보통 사라짐 | 심각할 수 있는 부작용 |
---|---|
콜린에스터레이스 억제제는 부교감신경계에 작용하여 서맥, 저혈압, 과다분비, 기관지수축, 위장관계의 운동성 과다(설사), 안압 감소, 아래식도조임근의 근긴장도 증가 등을 일으킬 수 있다. 또한 신경근 접합부에 작용하며 근수축 시간을 늘릴 수 있다.[58]
4. 2. 심각한 부작용
복통, 식욕 부진, 황달(피부가 노래지는 증상), 어지럼증, 서맥(심장이 느리게 뛰는 증상), 체중 감소, 쇠약 등의 증상이 나타날 수 있다.[56][57]4. 3. 과다 복용
아세틸콜린에스터레이스 억제제를 과다 복용하면 니코틴성 아세틸콜린 수용체와 무스카린성 아세틸콜린 수용체를 과도하게 자극하여 심각한 중독 증상을 유발할 수 있다.[43]
콜린에스터레이스 억제제의 주된 효과는 다음과 같다.
- 부교감신경계에 작용하여 서맥, 저혈압, 과다분비, 기관지수축, 위장관계의 운동성 과다(설사), 안압 감소, 아래식도조임근의 근긴장도 증가 등을 일으킬 수 있다.
- 콜린성 위기를 일으킬 수 있다.
- 신경근 접합부에 작용하며 근수축 시간을 늘릴 수 있다.[58]
- 네오스티그민이 수술 이후의 구역질이나 구토에 미치는 효과에는 논쟁이 있으며 명확한 연결고리가 있지는 않지만, 항콜린제를 처방했을 때 그 위험이 감소한다는 근거는 존재한다.[59]
요폐 환자에서 가역적 콜린에스터레이스 억제제를 복용하는 것은 금기시된다.
5. 종류
아세틸콜린에스터레이스 억제제에는 가역적인 것과 비가역적인 것이 있다.[23][24][25][26][27][28][29][30] 치료 목적으로 사용될 가능성이 높은 가역적 억제제는 콜린에스터레이스를 억제하며, 여기에는 유기인산염, 카바메이트계 (피소스티그민, 네오스티그민, 피리도스티그민, 암베노늄, 데메카륨, 리바스티그민 등), 페난트렌 유도체 (갈란타민 등), 카페인, 로즈마린산, 알파-피넨, 피페리딘계 (도네페질 등), 타크린, 에드로포늄, 후퍼진 A, 라도시틸, 웅게레민, 락투코피크린, 아코티아미드 등이 있다.
농약이나 화학무기로 사용되는 경우가 많은 준가역적 억제제에는 유기인산화합물 (에코티오페이트, 다이아이소프로필 플루오로인산, 클로피리포스, 사이클로사린, 다이클로르보스, 다이메토에이트, 메트리포네이트, 사린, 소만, 타분, VX, VE, VG, VM, 다이아지논, 말라티온, 파라티온 등)과 카바메이트계 화합물 (알디카브, 벤디오카브, 카바릴, 카벤다짐, 카보푸란, 카보설판, 에티오펜카브, 포메타네이트, 메티오카브, 메토밀, 옥사밀, 피리미카브, 프로파모카브, 프로폭술 등), 그리고 온키달, 쿠머린 등이 있다.
5. 1. 가역적 억제제
콜린에스터레이스의 가역적 경쟁적 또는 비경쟁적 억제제로 작용하는 화합물은 치료 목적으로 사용될 가능성이 높다. 이러한 억제제에는 다음이 포함된다.[23][24][25][26][27][28][29][30]- "비가역적"으로 분류되지 않은 일부 유기인산염
- 카바메이트계
- 피소스티그민
- 네오스티그민
- 피리도스티그민
- 암베노늄
- 데메카륨
- 리바스티그민
- 페난트렌 유도체
- 갈란타민
- 카페인 - 비경쟁적 (또한 아데노신 수용체 길항제)
- 로즈마린산 - 카페산의 에스테르. 꿀풀과 식물에서 발견된다.
- 알파-피넨 - 비경쟁적 가역적
- 피페리딘계
- 도네페질
- 타크린 (테트라하이드로아미노아크리딘(THA))
- 에드로포늄
- 후퍼진 A
- 라도시틸
- 웅게레민
- 락투코피크린
- 아코티아미드
- 하이브리드/이중 위치 리간드
가역적 아세틸콜린에스터레이스 억제제에 대한 자세한 내용은 하위 문단을 참고하면 된다.
5. 1. 1. 가역적 아세틸콜린에스터레이스 억제제 비교표
억제제 | 작용 지속 시간 | 주요 작용 부위 | 임상적 사용 | 부작용 |
---|---|---|---|---|
에드로포니움 | 짧음 (10분)[31] | 신경근 접합부[31] | 중증 근무력증 진단[31] | |
네오스티그민 | 중간 (1–2시간)[31] | 신경근 접합부[31] | 내장 관련[31] | |
피소스티그민 | 중간 (0.5–5시간)[31] | 부교감 신경 절후 신경[31] | 녹내장 치료 (안약)[31] | |
피리도스티그민 | 중간 (2–3시간)[31] | 신경근 접합부[31] | ||
디플로스 | 긺[31] | 부교감 신경 절후 신경[31] | 과거에는 녹내장 치료 (안약)[31] | 독성[31] |
5. 2. 준가역적 억제제
콜린에스터레이스에 대한 준가역적 억제제로 작용하는 물질들은 농약, 화학무기로 사용되는 경우가 많다.유기인산화합물 | 카바메이트 | 비정형 억제제 |
---|---|---|
참조
[1]
웹사이트
Medications for treating people with dementia
https://www.england.[...]
2021-01-01
[2]
서적
Primer on the Autonomic Nervous System
Elsevier
[3]
서적
Textbook Of Pharmacology
Elsevier India
2009-11-18
[4]
논문
Acetylcholinesterase inhibitors: pharmacology and toxicology
Bentham Science Publishers Ltd.
2013-05
[5]
논문
Acetylcholinesterase inhibitors in Alzheimer's disease
1999-10
[6]
논문
Acetylcholinesterase inhibitors: pharmacology and toxicology
2013-05
[7]
서적
Toxic Phosphorus Esters: Chemistry, Metabolism, and Biological Effects
https://books.google[...]
Elsevier
2013-10-22
[8]
서적
Principles of Toxicology: Environmental and Industrial Applications
https://books.google[...]
John Wiley & Sons
2014-12-08
[9]
논문
Organophosphate-induced delayed polyneuropathy
2005-01-01
[10]
서적
Advanced Lucid Dreaming: The Power of Supplements
Lulu
[11]
서적
Maudsley Prescribing Guidelines in Psychiatry
Wiley-Blackwell
2012
[12]
논문
Acetylcholinesterase inhibitors for schizophrenia
2012-01
[13]
논문
Adjunctive pharmacotherapy for cognitive deficits in schizophrenia: meta-analytical investigation of efficacy
2013-09
[14]
논문
Cholinesterase inhibitors as adjunctive therapy in patients with schizophrenia and schizoaffective disorder: a review and meta-analysis of the literature
2010-04
[15]
논문
An open label trial of donepezil for enhancement of rapid eye movement sleep in young children with autism spectrum disorders
2011-08
[16]
논문
Safety and efficacy of donepezil in children and adolescents with autism: neuropsychological measures
2011-02
[17]
논문
Natural genomic amplification of cholinesterase genes in animals
International Society for Neurochemistry (Wiley Publishing|Wiley)
2017-04-05
[18]
논문
Medication appropriateness tool for co-morbid health conditions in dementia: consensus recommendations from a multidisciplinary expert panel
2016-10
[19]
논문
Evaluating Prescription Drugs Used to Treat: Alzheimer's Disease Comparing Effectiveness, Safety, and Price
http://www.consumerr[...]
2013-05-01
[20]
논문
Cholinesterase Inhibitors
http://www.ncbi.nlm.[...]
StatPearls Publishing
2020-10-12
[21]
서적
Clinical Anesthesia
Lippincott Williams & Wilkins
2013-04-15
[22]
논문
The tolerability and safety of cholinesterase inhibitors in the treatment of dementia
2002-06
[23]
논문
Inhibition of acetylcholinesterase by caffeine, anabasine, methyl pyrrolidine and their derivatives
1991-03
[24]
논문
Acetylcholinesterase inhibitory, antioxidant and phytochemical properties of selected medicinal plants of the Lamiaceae family
2014-01
[25]
논문
Inhibition of acetylcholinesterase activity by bicyclic monoterpenoids
2005-03
[26]
논문
In-vitro inhibition of human erythrocyte acetylcholinesterase by salvia lavandulaefolia essential oil and constituent terpenes
2000-07
[27]
웹사이트
Huperzine A: Can it treat Alzheimer's?
http://www.mayoclini[...]
[28]
논문
Efficacy and safety of natural acetylcholinesterase inhibitor huperzine A in the treatment of Alzheimer's disease: an updated meta-analysis
2009-04
[29]
논문
Isolation of the acetylcholinesterase inhibitor ungeremine from Nerine bowdenii by preparative HPLC coupled on-line to a flow assay system
2004-11
[30]
논문
Novel bipharmacophoric inhibitors of the cholinesterases with affinity to the muscarinic receptors M1 and M2
2017-06
[31]
서적
Pharmacology
Churchill Livingstone
[32]
논문
Acetylcholinesterase Inhibitors: Pharmacology and Toxicology
[33]
서적
Advanced Lucid Dreaming: The Power of Supplements
Lulu
[34]
서적
Maudsley Prescribing Guidelines in Psychiatry
Wiley-Blackwell
2012
[35]
논문
Acetylcholinesterase inhibitors for schizophrenia
http://onlinelibrary[...]
2012-01
[36]
논문
Adjunctive pharmacotherapy for cognitive deficits in schizophrenia: meta-analytical investigation of efficacy
2013-09
[37]
논문
Cholinesterase Inhibitors as Adjunctive Therapy in Patients with Schizophrenia and Schizoaffective Disorder A Review and Meta-Analysis of the Literature
2010-04
[38]
논문
An Open Label Trial of Donepezil for Enhancement of Rapid Eye Movement Sleep in Young Children with Autism Spectrum Disorders
[39]
논문
Safety and Efficacy of Donepezil in Children and Adolescents with Autism: Neuropsychological Measures
[40]
웹인용
Medications for treating people with dementia
https://www.england.[...]
2021-01-01
[41]
서적
Primer on the Autonomic Nervous System
Elsevier
[42]
서적
Textbook Of Pharmacology
https://books.google[...]
Elsevier India
2009-11-18
[43]
저널
Acetylcholinesterase inhibitors: pharmacology and toxicology
Bentham Science Publishers Ltd.
2013-05
[44]
저널
Acetylcholinesterase inhibitors in Alzheimer's disease
1999-10
[45]
저널
Acetylcholinesterase inhibitors: pharmacology and toxicology
2013-05
[46]
서적
Toxic Phosphorus Esters: Chemistry, Metabolism, and Biological Effects
https://books.google[...]
Elsevier
2013-10-22
[47]
서적
Principles of Toxicology: Environmental and Industrial Applications
https://books.google[...]
John Wiley & Sons
2014-12-08
[48]
저널
Organophosphate-induced delayed polyneuropathy
2005-01-01
[49]
서적
Advanced Lucid Dreaming: The Power of Supplements
Lulu
[50]
서적
Maudsley Prescribing Guidelines in Psychiatry
https://archive.org/[...]
Wiley-Blackwell
2012
[51]
저널
Acetylcholinesterase inhibitors for schizophrenia
2012-01
[51]
웹인용
Acetylcholinesterase inhibitors versus antipsychotics for schizophrenia either alone or in combination with antipsychotics
http://www.cochrane.[...]
[52]
저널
Adjunctive pharmacotherapy for cognitive deficits in schizophrenia: meta-analytical investigation of efficacy
2013-09
[53]
저널
Cholinesterase inhibitors as adjunctive therapy in patients with schizophrenia and schizoaffective disorder: a review and meta-analysis of the literature
2010-04
[54]
저널
An open label trial of donepezil for enhancement of rapid eye movement sleep in young children with autism spectrum disorders
2011-08
[55]
저널
Safety and efficacy of donepezil in children and adolescents with autism: neuropsychological measures
2011-02
[56]
저널
Evaluating Prescription Drugs Used to Treat: Alzheimer's Disease Comparing Effectiveness, Safety, and Price
http://www.consumerr[...]
2012-05
[57]
저널
The tolerability and safety of cholinesterase inhibitors in the treatment of dementia
2002-06
[58]
인용
Cholinesterase Inhibitors
http://www.ncbi.nlm.[...]
StatPearls Publishing
2020
[59]
서적
Clinical Anesthesia
2013-04-15
[60]
저널
Inhibition of acetylcholinesterase by caffeine, anabasine, methyl pyrrolidine and their derivatives
https://archive.org/[...]
1991-03
[61]
저널
Acetylcholinesterase inhibitory, antioxidant and phytochemical properties of selected medicinal plants of the Lamiaceae family
2014-01
[62]
저널
Inhibition of acetylcholinesterase activity by bicyclic monoterpenoids
2005-03
[63]
저널
In-vitro inhibition of human erythrocyte acetylcholinesterase by salvia lavandulaefolia essential oil and constituent terpenes
2000-07
[64]
웹인용
Huperzine A: Can it treat Alzheimer's?
http://www.mayoclini[...]
[65]
저널
Efficacy and safety of natural acetylcholinesterase inhibitor huperzine A in the treatment of Alzheimer's disease: an updated meta-analysis
2009-04
[66]
저널
Isolation of the acetylcholinesterase inhibitor ungeremine from Nerine bowdenii by preparative HPLC coupled on-line to a flow assay system
2004-11
[67]
서적
Pharmacology
https://archive.org/[...]
Churchill Livingstone
본 사이트는 AI가 위키백과와 뉴스 기사,정부 간행물,학술 논문등을 바탕으로 정보를 가공하여 제공하는 백과사전형 서비스입니다.
모든 문서는 AI에 의해 자동 생성되며, CC BY-SA 4.0 라이선스에 따라 이용할 수 있습니다.
하지만, 위키백과나 뉴스 기사 자체에 오류, 부정확한 정보, 또는 가짜 뉴스가 포함될 수 있으며, AI는 이러한 내용을 완벽하게 걸러내지 못할 수 있습니다.
따라서 제공되는 정보에 일부 오류나 편향이 있을 수 있으므로, 중요한 정보는 반드시 다른 출처를 통해 교차 검증하시기 바랍니다.
문의하기 : help@durumis.com